БЗ 1-97
ГОСТ 27570.01—92 (МЭК 967-88)
МЕЖГОСУДАРСТВЕННЫЙ СТАНДАРТ
БЕЗОПАСНОСТЬ ЭЛЕКТРИЧЕСКИ НАГРЕВАЕМЫХ ОДЕЯЛ, ПОДУШЕК И АНАЛОГИЧНЫХ ГИБКИХ НАГРЕВАТЕЛЬНЫХ ПРИБОРОВ ДЛЯ БЫТОВОГО ИСПОЛЬЗОВАНИЯ
ТРЕБОВАНИЯ И МЕТОДЫ ИСПЫТАНИЙ
Издание официальное
ИПК ИЗДАТЕЛЬСТВО СТАНДАРТОВ Москва
Содержание
1. Область применения..................................................... 1
2. Определения.......................................................... 1
3. Общие требования...................................................... 5
4. Общие условия испытаний................................................ 5
5. Номинальные величины.................................................. 7
6. Классификация........................................................ 7
7. Маркировка........................................................... 7
8. Защита от поражения электрическим током................................... 10
10. Мощность........................................................... 12
11. Нагрев.............................................................. 13
12. Работа в условиях перегрузки............................................. 17
13. Электрическая изоляция и ток утечки при рабочей температуре................... 17
14. Подавление радио- и телепомех........................................... 19
15. Влагостойкость........................................................ 19
16. Сопротивление изоляции и электрическая прочность........................... 20
17. Защита от перегрузки................................................... 22
18. Износоустойчивость.................................................... 23
19. Ненормальная работа................................................... 23
20. Устойчивость......................................................... 26
21. Механическая прочность................................................ 27
22. Конструкция.......................................................... 35
23. Внутренняя проводка................................................... 39
24. Комплектующие изделия................................................ 39
25. Присоединение к источнику питания и внешние гибкие кабели и шнуры........... 41
26. Зажимы для внешних проводов............................................ 47
27. Защитное заземление................................................... 50
28. Винты и соединения.................................................... 50
29. Пути утечки тока, воздушные зазоры и расстояния по изоляции................... 52
30. Теплостойкость, огнестойкость и стойкость к образованию токоведущих мостиков..... 54
31. Стойкость к коррозии................................................... 59
32. Радиация, токсичность и подобные опасности................................. 59
Приложение В. Электронные цепи........................................... 60
Приложение С. Спецификация накрывающего материала.......................... 64
Приложение D. Аппарат для испытания механической прочности одеял............... 65
Приложение Е. Измерение путей утечки тока и воздушных зазоров................... 67
Приложение G. Схема измерения тока утечки................................... 69
Приложение Н. Теплостойкость и огнестойкость................................. 70
Приложение J. Испытание горением.......................................... 71
Приложение К. Испытание раскаленной проволокой.............................. 71
Приложение L. Испытание на плохое соединение с помощью нагревателей............ 71
Приложение М. Испытание игольчатым пламенем............................... 72
Приложением. Испытание на образование токоведущих мостиков................... 73
Приложение Р. Жесткость условий эксплуатации изоляционных материалов относительно
опасности трекинга.......................................... 73
Предисловие
1. Официальные решения или соглашения МЭК по техническим вопросам, подготовленные техническими комитетами, в которых представлены все заинтересованные национальные комитеты, выражают с возможной точностью международную согласованную точку зрения по рассматриваемым вопросам.
2. Эти решения представляют собой рекомендации для международного пользования и в этом виде принимаются национальными комитетами.
3. В целях содействия международной унификации МЭК выражает пожелание, чтобы все национальные комитеты приняли настоящий стандарт МЭК в качестве своих национальных стандартов, насколько это позволяют условия каждой страны. Любое расхождение со стандартами МЭК должно быть четко указано в соответствующих национальных стандартах.
Введение
Настоящий стандарт подготовлен Техническим комитетом МЭК 61 «Безопасность бытовых и аналогичных электрических приборов». Он является первым изданием этого стандарта и заменяет Публикацию МЭК 335-17 (1974).
Настоящий стандарт разработан на основе следующих документов.
Направленных на голосование по Правилу шести месяцев | Результат голосования |
61 (Центральное Бюро) 480 | 61 (Центральное бюро) 529 |
Дополнительную информацию можно получить из документов, указанных в таблице.
МЕЖГОСУДАРСТВЕННЫЙ СТАНДАРТ
БЕЗОПАСНОСТЬ ЭЛЕКТРИЧЕСКИ НАГРЕВАЕМЫХ ОДЕЯЛ, ПОДУШЕК И АНАЛОГИЧНЫХ ГИБКИХ НАГРЕВАТЕЛЬНЫХ ПРИБОРОВ ДЛЯ БЫТОВОГО ИСПОЛЬЗОВАНИЯ
Требования и методы испытаний
ГОСТ
27570.01-92 (МЭК 967-88)
Safety of electrically heated blankets, pads and similar flexible heating appliances for household use. Requirements and test methods
ОКП 34 6800
Дата введения 01.01.93
1. ОБЛАСТЬ ПРИМЕНЕНИЯ
1.1. Настоящий стандарт распространяется на электрически нагреваемые гибкие приборы, предназначенные для обогрева кровати или человека, такие как одеяла, подушки и матрацы для бытового использования, а также на относящиеся к ним органы управления.
1.2. Настоящий стандарт не распространяется на:
подогреватели кровати с жестким корпусом из металла или керамики;
приборы, предназначенные для лиц, находящихся под медицинским наблюдением;
приборы для домашних животных;
нагреватели для водяных матрацев.
1.3. Настоящий стандарт устанавливает требования безопасности и учитывает влияние на безопасность деталей, предназначенных для обеспечения требуемой степени подавления радио- и телепомех.
Методы испытаний выделены курсивом.
Требования настоящего стандарта являются обязательными.
1.2, 1.3. (Измененная редакция, Изм. № 1).
2. ОПРЕДЕЛЕНИЯ
Если нет других указаний, там, где применяют термины «напряжение» и «ток», они означают их средние квадратические значения.
2.1. Гибкая часть — все слои материала, образующие постоянную оболочку прибора вместе с нагревательным элементом, терморегуляторами и всеми другими содержащимися в них токопроводящими частями.
Примечание. Гибкая часть может находиться внутри съемного чехла.
2.2. Одеяло — электрически нагреваемое приспособление, обычно гладкое и гибкое, предназначенное для обогрева постели или лежащего(их) на ней, и которое образует часть постельных принадлежностей.
2.3. Одеяло нижнее — одеяло, которое помещают под лежащего(их) в постели.
2.4. Одеяло, стойкое к образованию складок — нижнее одеяло, имеющее конструкцию такой жесткости, что образование складок на гибкой его части маловероятно.
2.5. Одеяло верхнее — одеяло, которое помещают сверху лежащего(их) в постели.
2.6. Подушка — прибор, состоящий из гибкой части, имеющей нагревательную поверхность,
Издание официальное Перепечатка воспрещена
© Издательство стандартов, 1993 © ИПК Издательство стандартов, 2001
которая измеряется только с одной стороны, не превышающей 0,2 м2, и которая предназначена для локального приложения тепла к человеку.
2.7. Матрац — прибор, состоящий из гибкой части с мягкой набивкой, который не может быть сложен и на котором находятся постельные принадлежности.
2.8. Регулируемый прибор — прибор, потребляемая мощность которого автоматически значительно снижается при увеличении температуры гибкой части, когда прибор работает в условиях нормальной теплоотдачи.
2.9. Регулировочный блок — приспособление, расположенное снаружи гибкой части прибора, но включенное в его цепь, с помощью которого среднюю потребляемую мощность можно изменять или регулировать.
П римечание. Выключатели в шнуре не рассматривают как средства управления, если в них не входят детали, регулирующие другие функции.
2.10. Блок управления на шнуре — устройство для ручного переключения режимов работы прибора.
Примечание. Устройства управления могут быть встроены в шнур питания либо расположены на конце соединительного шнура.
2.11. Нагревательный элемент — нагреваемый проводник, намотанный на любой сердечник или любой другой проводник с изоляцией.
2.12. Нагреваемая поверхность — поверхность, покрытая нагревательными элементами с одним дополнительным краем, ширина которого равна среднему расстоянию между смежными нагревательными элементами.
Примечания:
1. Нагревательная поверхность включает поворотный провод нагревательного элемента, если среднее расстояние между этим проводом и соседним нагревательным элементом не превышает среднего расстояния между двумя параллельными рядами нагревательного элемента.
2. Если одеяло или матрац имеют две отдельные нагревательные поверхности, то поверхность между ними считают частью нагревательной поверхности, если в любом месте расстояние между двумя поверхностями не превышает среднее расстояние между соседними параллельными рядами нагревательного элемента в 1,5 раза.
2.13. Номинальное напряжение — напряжение, установленное для прибора изготовителем.
2.14. Диапазон номинальных напряжений — диапазон напряжений, установленный для данного прибора изготовителем и выраженный нижним и верхним пределами.
2.15. Рабочее напряжение — максимальное напряжение, которое может быть приложено к рассматриваемой части, когда прибор работает при номинальном напряжении и нормальных условиях эксплуатации.
П римечание. При расчете рабочего напряжения влияние возможных переходных напряжений на источник питания не учитывают.
2.16. Номинальная потребляемая мощность — мощность в условиях нормальной теплоотдачи, обозначенная на приборе изготовителем.
2.17. Номинальный ток — ток, указанный на приборе изготовителем.
П римечание. Если ток не указан на приборе, то номинальный ток определяют, исходя из номинальной мощности и номинального напряжения.
(Измененная редакция, Изм. № 1).
2.18. Номинальная частота — частота, обозначенная на приборе изготовителем.
2.19. Съемная часть — часть, которая может быть снята без помощи инструмента.
2.20. Несъемная часть — часть, которая может быть снята только с помощью инструмента.
2.21. Шнур питания — гибкий кабель или шнур, предназначенный для подключения прибора к сети, который крепят или монтируют на приборе одним из следующих способов:
X — способ крепления, при котором гибкий кабель или шнур может быть легко заменен без помощи специальных инструментов другим гибким кабелем или шнуром, не требующим специальной подготовки;
М — способ крепления, при котором гибкий кабель или шнур может быть легко заменен без
применения специального инструмента специальным кабелем или шнуром, например с формованными защитным устройством или с обжатыми окончаниями, или путем замены части прибора, содержащей гибкий кабель;
Y — способ крепления, при котором гибкий кабель или шнур может быть заменен только с помощью специального инструмента, позволяющего обеспечить доступ к соединению либо осуществить это соединение.
П римечание. Крепление типа Y можно использовать с обычным гибким шнуром или со специальным шнуром;
Z — способ крепления, при котором гибкий шнур не может быть заменен без поломки или разрушения прибора.
(Измененная редакция, Изм. № 1).
2.22. Соединительный шнур — гибкий шнур, который соединяет гибкую часть прибора с блоком управления или выключателем в шнуре, либо является внешним соединением между двумя гибкими частями или двумя регулировочными блоками.
2.23. Съемный гибкий шнур — шнур питания или соединительный шнур, предназначенный для соединения посредством соответствующей соединительной муфты.
2.24. Основная изоляция — изоляция токоведущих частей, обеспечивающая основную защиту от поражения электрическим током.
П римечание. Основная изоляция не обязательно включает изоляцию, применяемую исключительно для функциональных целей.
2.25. Дополнительная изоляция — независимая изоляция, применяемая в дополнение к основной изоляции, чтобы обеспечить защиту от поражения электрическим током в случае нарушения основной изоляции.
2.26. Двойная изоляция — изоляция, состоящая из основной и дополнительной изоляции.
2.27. Усиленная изоляция — единая система изоляции токоведущих частей, которая обеспечивает такую же степень защиты от поражения электрическим током, как и двойная изоляция.
Примечание. Термин «система изоляции» не означает, что она должна образовывать один однородный слой. Она может состоять из нескольких слоев, которые нельзя испытать отдельно как дополнительную или основную изоляцию.
2.28. Прибор класса 0 — прибор, в котором защита от поражения электротоком обеспечивается основной изоляцией; это значит, что отсутствуют средства для присоединения доступных токопроводящих частей, если таковые имеются, к защитному проводу стационарной проводки. В случае повреждения основной изоляции защита от поражения электрическим током может быть обеспечена только окружающей средой.
Примечание. Приборы класса 0 могут иметь части с двойной изоляцией или усиленной изоляцией.
2.29. Прибор класса II — прибор, в котором защита от поражения электрическим током обеспечивается не только основной изоляцией, но в котором предусмотрены дополнительные меры безопасности, такие как двойная или усиленная изоляция. Эти меры не включают защитных заземлений и не зависят от условий установки.
Такой прибор может иметь одну из следующих конструкций:
a) износоустойчивая и практически непрерывная оболочка из изоляционного материала, включающая все металлические части, за исключением мелких деталей, таких как заводские шильдики, винты и заклепки, которые изолированы от токопроводящих частей изоляцией, эквивалентной усиленной изоляции; прибор этой конструкции называют прибором II класса с изоляционной оболочкой;
b) практически непрерывное металлическое ограждение, в котором по всей площади используют двойную изоляцию, кроме тех частей, где используется усиленная изоляция и применение двойной изоляции явно нецелесообразно; прибор этой конструкции называют прибором II класса с металлическим кожухом;
c) комбинация конструкций а и Ь.
Примечания:
1. Кожух прибора класса II с изоляционной оболочкой может быть частично или целиком из дополнительной или усиленной изоляции.
2. Конструкции типа b и с не применяют для гибкой части.
3. Приборы класса II могут иметь части, работающие при безопасном сверхнизком напряжении.
2.30. Прибор класса III — прибор, в котором защита от поражения электрическим током обеспечивается питанием безопасным сверхнизким напряжением и в котором не возникает напряжение большее, чем безопасное сверхнизкое напряжение.
П римечание. Приборы, предназначенные для работы при безопасном сверхнизком напряжении и имеющие внутренние электрические цепи, которые работают при другом напряжении, не включены в настоящую классификацию.
2.31. Сверхнизкое напряжение — напряжение, получаемое от источника, встроенного в прибор, и которое при работе прибора на номинальном напряжении не превышает 42 В между проводниками и между проводниками и землей, при этом цепь сверхнизкого напряжения отделена от других цепей только основной изоляцией.
2.32. Безопасное сверхнизкое напряжение — номинальное напряжение, не превышающее 42 В между проводниками и между проводниками и землей, при напряжении без нагрузки, не превышающем 50 В.
Примечания:
1. Если безопасное сверхнизкое напряжение получают от сети, то оно должно поступать через защитный трансформатор или преобразователь с раздельными обмотками.
2. Установленные предельные значения напряжений основаны на предположении, что защитный трансформатор работает при своем номинальном питающем напряжении.
2.33. Защитный трансформатор — трансформатор, входная обмотка которого электрически отделена от вторичных обмоток изоляцией, эквивалентной по крайней мере двойной или усиленной изоляции, и который предназначен для питания прибора при безопасном сверхнизком напряжении.
2.34. Условия нормальной теплоотдачи — условия, при которых гибкая часть работает следующим образом.
Гибкую часть укладывают на лист фанеры толщиной 20 мм на высоте не ниже 300 мм от уровня
пола.
Матрацы укладывают на фанере и покрывают листом теплоизоляционного материала.
Другие приборы, кроме пледов, помещают между двумя слоями накрывающего материала на основание из фанеры.
Пледы работают так же, как верхние одеяла, только без верхнего слоя накрывающего материала.
Размер фанеры должен быть таким, чтобы теплоизоляционный материал мог полностью покрывать всю площадь. Если нет других указаний, размер листов теплоизоляционного материала должен быть таким, чтобы их края выходили за пределы нагреваемой зоны не менее чем на 100 мм.
Примечания:
1. Толщина листа теплоизоляционного материала должна соответствовать указанной в приложении С.
2. (Исключено, Изм. № 1).
(Измененная редакция, Изм. № 1).
2.35. Терморегулятор — устройство, чувствительное к температуре, с регулировкой по температуре или без нее, которое при нормальной эксплуатации поддерживает температуру прибора или его частей в определенных пределах путем автоматического отключения или включения цепи.
2.36. Термоограничитель — устройство, чувствительное к температуре, с регулировкой по температуре или без нее, которое при нормальной работе размыкает и замыкает цепь, когда температура прибора или его частей достигает заданного значения.
Примечание. Термоограничитель не срабатывает в обратном направлении во время нормального цикла работы прибора; он может требовать или не требовать возврата в исходное состояние вручную.
2.37. Термовыключатель — устройство, ограничивающее температуру прибора или его частей при ненормальной работе путем автоматического размыкания цепи или уменьшения величины тока, которое сконструировано так, что его уставка не может быть изменена потребителем.
2.38. Отключение всех полюсов — отключение обоих проводов питания одним отдельным действием.
2.39. Доступная часть или доступная поверхность — часть или поверхность прибора, к которым можно прикоснуться с помощью стандартного испытательного пальца, приведенного на черт. 1.
2.40. Путь утечки — кратчайшее расстояние между двумя токопроводящими частями или между токопроводящей частью и граничной поверхностью прибора, измеренное по поверхности изоляционного материала.
Примечание. Граничной поверхностью прибора считают внешнюю поверхность ограждения, рассматриваемую так, как если бы металлическая фольга была запрессована на доступные поверхности изоляционного материала.
2.41. Воздушный зазор — кратчайшее расстояние между двумя токопроводящими частями или между токопроводящей частью и граничной поверхностью прибора, измеренное по воздуху.
2.42. Инструмент — отвертка, монета или любой другой предмет, который может быть использован для завинчивания или отвинчивания винтов или подобных крепежных средств.
2.43. Корпус — все доступные металлические части, оси ручек, кнопки, зажимы и т. и., а также металлическая фольга, соприкасающаяся с доступными поверхностями изоляционного материала; понятие «корпус» не относится к недоступным металлическим частям.
П римечание. Термин «корпус» не используют в связи с гибкой частью.
2.44. Гибкий, неусиленный пластиковый лист — листовой материал, типичной составной частью которого является полихлорвинил или сополимер поливинилацетата.
Примечание. Термин «гибкий» означает, что материал полностью пластифицирован, а термин «неусиленный» указывает на полное отсутствие упрочняющих волокон, нитей и ткани.
2.45. Скрепленные оболочки — оболочки гибкой части прибора, противоположные поверхности которых соединены путем склеивания или сварки.
(Измененная редакция, Изм. № 1).
2.46. Плед — стеганое верхнее одеяло, предназначенное для использования без дополнительных чехлов.
2.47. РТС — нагревательный элемент — нагревательный элемент с положительным температурным коэффициентом, состоящий из двух проводников, разделенных проводящим материалом, имеющим крутую возрастающую нелинейную характеристику зависимости сопротивления от температуры в пределах определенного температурного диапазона.
2.46, 2.47. (Введены дополнительно, Изм. № 1).
3. ОБЩИЕ ТРЕБОВАНИЯ
3.1. Приборы должны быть сконструированы и изготовлены так, чтобы обеспечивать безопасное функционирование при нормальной эксплуатации и не создавать опасности даже в случае небрежного пользования.
Соответствие общим требованиям проверяют проведением всех соответствующих испытаний по настоящему стандарту.
4. ОБЩИЕ УСЛОВИЯ ИСПЫТАНИИ
4.1. Испытания, проводимые в соответствии с настоящим стандартом, являются общими для всех приборов, входящих в область распространения стандарта.
4.2. Испытания проводят на двух образцах (А и В), которые должны выдерживать все предусмотренные для них испытания.
Проведение испытаний и их последовательность следующие.
Образец А испытывают по разделам и пунктам 5, 7, 8, 22.28, 10, 11.7, 21.2, 21.3, 21.4, 21.5, 21.6,
21.7, 22.17, 13, 15, 17, 20, 25.10, 25.11, 25.12, 19, 22.10, 21.8, 21.9, 22.23, 30 и 31.
Образец В испытывают по разделам и пунктам 10, 11 (кроме п. 11.7), 21.17, 21.18, 21.23, 22 (кроме п. 22.17), 23, 24, 25 (кроме пп. 25.11, 25.12), 26, 27, 28 и 29.
Если другое не указано, то пледы испытывают как верхние одеяла.
Примечания:
1. Дополнительный образец может потребоваться для испытания по и. 19.9.
2. Для приборов со скрепленными оболочками дополнительный образец требуется для испытаний по пи. 21.9 и 21.19-21.22.
3. В случае приборов, не имеющих скрепленных оболочек, для испытаний по пи. 21.19—21.22 требуется 15 м нагревательного элемента.
4. В случае влагонепроницаемых подушек, испытываемых по пп. 21.10—21.16, требуется пять дополнительных образцов и 1 м2 материала, являющегося покровом этих подушек.
5. Если очевидно по конструкции прибора, что конкретное испытание неприменимо, его не проводят.
6. При отсутствии особых указаний пледы испытывают как верхние одеяла.
(Измененная редакция, Изм. № 1).
4.3. Прежде чем начать испытание, оба образца следует подключить на номинальное напряжение с целью проверки их работоспособности.
В случае приборов, которые могут подлежать мойке, гибкую часть необходимо два раза подвергнуть стирке согласно инструкции изготовителя.
4.4. Если нет других указаний, прибор или любую подвижную часть его испытывают в наименее выгодном положении, которое может встретиться при нормальной эксплуатации.
4.5. Если гибкая часть прибора имеет съемный чехол, то испытания проводят без чехла или с ним в зависимости от того, что более неблагоприятно.
Пледы испытывают без съемного чехла.
4.6. Если нет других указаний, испытания проводят при температуре окружающей среды (20±5) °С.
Если нет других указаний относительно гибкой части, включающей РТС — нагревательные элементы, испытания проводят при наиболее неблагоприятной температуре окружающей среды от 0 до 25 °С.
Для остальных автоматически регулируемых одеял и матрацев испытания по разделам 10, 11 и 19 проводят при наиболее неблагоприятной температуре окружающей среды от 0 до 15 °С.
4.5, 4.6. (Измененная редакция, Изм. № 1).
4.7. Приборы с питанием только от переменного тока испытывают при переменном токе на номинальной частоте, если есть маркировка; приборы с питанием только от постоянного тока испытывают при постоянном токе, а приборы с питанием от переменного и постоянного тока испытывают от менее выгодного источника.
Приборы, предназначенные для более одного номинального напряжения, испытывают с наименее выгодным напряжением.
Если нет других указаний, приборы, предназначенные для одного или более одного диапазона номинальных напряжений, испытывают с наименее выгодным напряжением соответствующего диапазона.
В случае автоматически управляемых приборов, имеющих маркировку диапазона номинальных напряжений, когда указано, что питающее напряжение равно номинальному напряжению, помноженному на коэффициент, питающее напряжение равно:
верхней границе диапазона номинальных напряжений, помноженной на этот коэффициент, если он больше 1;
нижней границе диапазона номинальных напряжений, помноженной на этот коэффициент, если он меньше 1.
При испытании приборов, предназначенных только для постоянного тока, учитывают возможное влияние полярности на работу прибора.
Примечания:
1. При упоминании максимальной или минимальной номинальной мощности имеют в виду номинальную мощность, относящуюся соответственно к верхней или нижней границе диапазона номинальных напряжений.
2. Если прибор рассчитан на диапазон номинальных напряжений, верхняя граница диапазона напряжений обычно является наименее выгодным напряжением диапазона.
4.8. Когда указано, что прибор должен получать питание при таком напряжении, при котором потребляемая мощность больше номинальной, это напряжение подают только на нагревательные элементы без заметного положительного температурного коэффициента сопротивления. Для других нагревательных элементов это напряжение определяют следующим образом.
Сначала номинальное напряжение подают до тех пор, пока нагревательный элемент не достигнет рабочей температуры. Затем питающее напряжение быстро повышают до величины, необходимой для
получения мощности, требуемой для соответствующего испытания, и испытание проводят, как предусмотрено выше, а величину питающего напряжения поддерживают в течение всего испытания.
Примечание. В общем считают, что температурный коэффициент можно определить, если при номинальном напряжении потребляемая прибором мощность отличается более чем на 15 % от потребляемой мощности при рабочей температуре.
4.9. Если нет других указаний, приборы, снабженные терморегулятором или другими подобными регулировочными устройствами, испытывают с этим приспособлением, настроенным на наименее выгодное положение.
Примечания:
1. Если регулировочные устройства управления доступны без помощи инструмента, этот пункт применяют там, где уставка может быть измерена рукой или с помощью инструмента. Если регулировочные устройства недоступны без помощи инструмента и не предусмотрено изменение уставки пользователем, данный пункт не применяют.
2. Соответствующее пломбирование рассматривают как не допускающее изменения уставки потребителем.
(Измененная редакция, Изм. № 1).
4.10. Приборы класса III испытывают вместе с их трансформаторами питания, если трансформатор поставляется с прибором.
Регулировочные устройства, поставляемые с прибором, испытывают вместе с прибором.
4.11. Если приборы класса 0 или II имеют части, работающие при безопасном сверхнизком напряжении, такие части проверяют на соответствие требованиям, предусмотренным для приборов класса III.
4.12. Приборы, имеющие встроенные электронные цепи, рассматривают в приложении В.
5. НОМИНАЛЬНЫЕ ВЕЛИЧИНЫ
5.1. Максимальная величина номинального напряжения: 250 В — для приборов классов 0 и II;
24 В » » класса III.
Соответствие проверяют осмотром маркировки.
6. КЛАССИФИКАЦИЯ
6.1. Приборы классифицируют:
1) по типу защиты от поражения электрическим током на классы 0, II, III;
2) по степени защиты от влаги на влагостойкие и влагонепроницаемые.
Примечания:
1. Классификация прибора определяется классификацией гибкой части.
2. Номера класса не указывают уровень безопасности прибора или регулировочного органа, а только средства, которыми безопасность достигается.
3. Регулировочные устройства и приборы класса III не классифицируют по степени защиты от влаги.
4. В пи. 22.1 и 22.2 приводят требования, касающиеся классификации приборов.
7. МАРКИРОВКА
7.1. а) На гибкую часть и съемные регулировочные устройства должны быть нанесены следующие данные:
номинальное(ые) напряжение(я) или диапазон(ы) номинальных напряжений в вольтах; символ обозначения рода тока, если применяется; номинальная мощность в ваттах;
символ обозначения конструкции класса II, только для приборов класса II; наименование модели или типа.
Ь) На гибкую часть прибора, съемную оболочку и съемные регулировочные устройства должны быть нанесены наименование завода-изготовителя или ответственного поставщика, товарный знак.
c) Съемные оболочки должны иметь маркировку модели прибора, для использования с которыми они предназначены.
d) Гибкая часть приборов, используемых со съемным регулировочным органом, должна иметь маркировку применяемого регулировочного органа.
e) Гибкая часть приборов, используемых со съемным трансформатором, должна иметь маркировку применяемого трансформатора.
Соответствие проверяют осмотром.
7.2. а) На гибкую часть прибора и съемные оболочки должны быть нанесены следующие надписи:
«Прочитать внимательно инструкцию»;
«Не употреблять в сложенном виде» (только для подушек и одеял; маркировка не требуется для пледов и приборов с РТС-нагревательными элементами);
«Не употреблять в сморщенном виде» (только для нижних одеял; маркировка не требуется для приборов с РТС-нагревательными элементами);
«Не подгибать» (только для одеял; маркировка не требуется для пледов и приборов с РТС-нагревательными элементами). Однако, если границы участка, содержащего проводящие элементы, видимы, маркировка может иметь следующую формулировку: «Не подгибать участки, содержащие токопроводящие элементы»;
«Не втыкать булавок»;
«Не использовать в мокром состоянии» (только для влагостойких приборов);
«Применять только как нижнее одеяло» (только для нижних одеял);
«Применять только как верхнее одеяло» (только для верхних одеял);
«Не применять для беспомощных лиц, детей или лиц, не чувствительных к теплу»;
«Продолжительное применение на верхней уставке может привести к ожогу кожи» (только для подушек, кроме тех, что оснащены таймером, который отключает питание через период времени, не превышающий 1 ч).
Примечание. Слова «на верхней уставке» не указывают на подушках без регулирования температуры.
b) На гибкую часть моющихся одеял должна быть нанесена надпись:
«Стирать согласно инструкции. Не подвергать сухой чистке».
Примечание. Дополнительные инструкции по стирке могут быть даны, например, в форме символов.
На гибкую часть других одеял должна быть нанесена надпись:
«Не стирать» или «Не подвергать сухой чистке».
c) На съемные ограждения должна быть нанесена надпись:
«Эту оболочку можно стирать (или подвергать сухой чистке) согласно инструкции изготовителя в снятом состоянии».
Съемные чехлы должны иметь размеры не менее: (только для пледов).
П римечание. Длина и ширина чехла должны быть указаны.
Соответствие проверяют осмотром.
7.1, 7.2. (Измененная редакция, Изм. № 1).
7.3. Для приборов с маркировкой диапазона номинальных напряжений верхняя и нижняя границы номинальной потребляемой мощности должны быть нанесены на прибор, чтобы связь между мощностью и напряжением была отчетливой, если разность между границами диапазона номинальных напряжений не превышает 10 % средней величины диапазона; в этом случае маркировка номинальной мощности может быть соотнесена со средней величиной диапазона.
Соответствие проверяют осмотром.
7.4. В маркировке используют следующие условные обозначения:
В — вольты;
А — амперы;
Гц — герцы;
Вт — ватты;
~ — переменный ток;
---— постоянный ток;
Ml — конструкция класса II.
Символ вида питания должен быть помещен рядом с маркировкой номинального напряжения.
Размеры символа конструкции класса II должны быть такими, чтобы длина сторон внешнего квадрата была примерно в два раза больше длины сторон внутреннего квадрата. Длина сторон внешнего квадрата не должна быть меньше 5 мм, если самый крупный размер регулировочного органа не превышает 150 мм; в этом случае размеры символа можно уменьшить, но длина сторон внешнего квадрата не должна быть меньше 3 мм.
Символ конструкции класса II должен быть помещен так, чтобы было очевидно, что он является частью технической информации и его нельзя было спутать с любой другой маркировкой.
Соответствие проверяют осмотром.
П римечание. Допускается использовать дополнительные условные обозначения, если они исключают двусмысленное толкование.
(Измененная редакция, Изм. № 1).
7.5. Кроме случаев, очевидно излишних, выключатели, работа которых могла бы создать опасность, должны быть маркированы или расположены так, чтобы было вполне понятно, какую часть прибора они регулируют.
Указания, применяемые для этой цели, должны быть там, где это целесообразно, понятны без знания языков, национальных стандартов и т.д.
Соответствие проверяют осмотром.
7.6. Различные положения выключателей и регулирующих устройств должны быть указаны цифрами, буквами или другими визуальными средствами.
Должно быть предусмотрено обозначение направления регулирования, повышающего или понижающего регулируемую величину характеристики.
Если для указания различных положений применяют цифры, положение «отключено» должно быть обозначено цифрой 0, а положение большей теплоотдачи — более высокой цифрой.
Цифру 0 не применяют для любого другого обозначения, кроме случаев, когда она расположена и соотнесена с другими цифрами так, что ее нельзя спутать с обозначением положения «отключено».
Примечания:
1) Цифру 0 можно, например, использовать на цифровой программирующей клавиатуре.
2) Обозначения «+» и «—» считают достаточными.
Соответствие проверяют осмотром.
7.7. К прибору должна быть приложена инструкция. Если применение прибора требует особых мер предосторожности, они должны быть указаны.
a) Инструкция должна содержать слова:
«Важные указания. Сохранять с целью дальнейшего использования».
Эти слова должны быть написаны буквами высотой не менее 6 мм.
b) Инструкция должна содержать требования п. 7.2, относящиеся к маркировке.
c) В инструкции к нижним одеялам, кроме тех, которые устойчивы к сминанию и имеют коэффициент g более 1,2, измеренный по п. 22.16, следует указывать способ крепления одеяла к матрацу.
d) Инструкция должна содержать исчерпывающие указания, относящиеся к стирке одеял и съемных оболочек, которые можно подвергать стирке.
e) Инструкция для подушек должна содержать предостережение о том, что потребитель не должен засыпать при включенном приборе.
Примечание. Это требование не относится к подушкам, снабженным таймером, который отключает источник питания раньше чем через 1 ч.
f) Инструкция для приборов, применяемых со съемными регулировочными органами или трансформаторами, должна содержать указание о том, что прибор употребляется только с теми из них, которые маркированы на приборе.
g) Инструкция должна содержать следующие требования:
Когда приборы не применяют, они должны храниться следующим образом... (далее согласно инструкции).
Избегать посредством нажима образования в приборе отчетливых складок (только для одеял и подушек).
Необходимо регулярно осматривать прибор с целью обнаружения признаков износа или повреждения, включая гибкий шнур. При обнаружении таких признаков или, если прибор был неправильно применен, необходимо прекратить пользование прибором и передать его поставщику.
Этот прибор не предназначен для употребления в больницах.
Соответствие проверяют осмотром и измерением.
Для приборов с креплением шнура типа М: если шнур питания прибора поврежден, он должен быть заменен на специальный шнур (указать соответствующий тип).
Для приборов с креплением шнура типа Y: если шнур питания прибора поврежден, его можно заменить только в ремонтной мастерской, указанной изготовителем, поскольку это требует наличия специального инструмента.
Для приборов с креплением шнура типа Z: шнур питания прибора не может быть заменен. В случае его повреждения прибор не подлежит дальнейшему использованию.
7.8. Маркировка и надписи, кроме символов, должны быть на официальном языке (языках) страны, в которой прибор должен применяться.
Маркировка и надписи, требуемые этим стандартом, должны быть долговечными и легко читаемыми. Для гибкой части прибора буквы должны иметь высоту не менее 2,5 мм.
Маркировка и надписи для выключателей, терморегуляторов, термовыключателей и других регулировочных устройств должны быть помещены вблизи этих комплектующих изделий; их не следует размещать на подвижных частях, если эти части располагаются таким образом, что маркировка может привести к неправильному пониманию.
Соответствие проверяют осмотром, измерением и протиранием маркировки вручную в течение 15 с куском ткани, смоченным в воде, и еще 15 с куском ткани, смоченным в:
моющем средстве — для маркировок и надписей на гибкой части прибора и съемных оболочках;
бензине — для других маркировок и надписей.
После всех испытаний по этому стандарту маркировка должна быть легко читаемой; этикетки не должны легко сниматься, а маркировочные пластины не должны иметь искривлений.
Если соответствие настоящему стандарту зависит от работы сменного термопредохранителя или плавкой вставки, то тип и другие идентифицирующие данные этого сменного устройства необходимо указывать в маркировке этого устройства или наносить на самом приборе в таком месте, чтобы надпись была отчетливо видна, когда прибор демонтирован до уровня, необходимого для замены сменного устройства.
Примечание. Бензин, который следует использовать в данном испытании, является гексаном с алифатическим растворителем, имеющим максимальное объемное содержание ароматических веществ 0,1 %, значение каури-бутанола 29, начальную точку кипения 65 °С, удельную массу 0,68 кг/л.
7.7, 7.8. (Измененная редакция, Изм. № 1).
8. ЗАЩИТА ОТ ПОРАЖЕНИЯ ЭЛЕКТРИЧЕСКИМ ТОКОМ
8.1. Приборы должны быть сконструированы и закрыты так, чтобы была обеспечена защита от случайного прикасания к токоведущим частям, а у приборов класса II — к основной изоляции или к металлическим частям, отделенным от токоведущих только основной изоляцией. Это требование распространяется на все положения прибора, когда он работает как при нормальной эксплуатации, даже после снятия съемных частей, за исключением ламп, расположенных за ограждением, если прибор может быть отключен от источника питания с помощью штепсельной вилки или выключателя всех полюсов, положение «Выключено» которого ясно обозначено. Должна быть обеспечена также защита от случайного прикосновения к токоведущим частям цоколей ламп при установке или удалении ламп.
Изолирующие свойства лака, эмали, обычной бумаги, хлопчатобумажной ткани, окисной пленки на металлических частях, изоляционных бус и заливочной массы не считают обеспечивающими достаточную защиту от случайного прикосновения к токоведущим частям.
Оболочка прибора не должна иметь отверстий, дающих доступ к токоведущим частям, кроме тех, которые необходимы для работы и эксплуатации прибора, а для приборов класса II — дающих доступ к основной изоляции или металлическим частям, отделенным от токоведущих только основной изоляцией.
Примечания:
1. Части, работающие при безопасном сверхнизком напряжении, не превышающем 24 В, не рассматривают как части, находящиеся под напряжением.
2. Если изготовитель рекомендует потребителю снять какую-либо часть при нормальной эксплуатации или обслуживании, эту часть рассматривают как съемную часть, даже когда для ее снятия необходимо использовать инструмент.
Это требование исключает применение плавких предохранителей винтового типа и ввинчивающихся миниатюрных прерывателей цепи, если к ним есть доступ без помощи инструмента.
3. Самозатвердевающие смолы не рассматривают как заливочную массу.
Соответствие требованиям проверяют осмотром и с помощью стандартного испытательного пальца, приведенного на черт. 1.
Кроме того, отверстия в приборах класса II, кроме дающих доступ к цоколям ламп или токоведущим частям выходов штепсельных розеток, испытывают испытательным стержнем, приведенным на черт. 2. Испытательный палец и испытательный стержень прикладывают без заметного усилия в каждом возможном положении.
Отверстия, в которые испытательный палец не входит, испытывают прямым несочлененным испытательным пальцем тех же размеров, который прикладывают с усилием 20 Н; если этот палец входит в отверстие, то испытание пальцем, приведенным на черт. 1, повторяют и палец вводят в отверстие. Если несоставной испытательный палец не проходит, прилагаемое усилие увеличивают до 30 Н. Далее, если ограждение смещено или отверстие деформировано так, что испытательный палец, приведенный на черт. 1, можно вставить без усилия, испытание данным пальцем повторяют. Для обнаружения контакта применяют электрический контактный индикатор.
Не допускается возможность прикосновения испытательным пальцем к неизолированным токоведущим частям или частям, защищенным лишь лаком, эмалью, обычной бумагой, хлопчатобумажной тканью, окисной пленкой, изоляционными бусами или заливочной массой. Кроме того, при указанном выше испытании отверстий не допускается возможность прикосновения испытательным стержнем к неизолированным токоведущим частям. Для приборов класса II не допускается возможность прикосновения испытательным пальцем, приведенным на черт. 1, к основной изоляции или металлическим частям, отделенным от токоведущих частей только основной изоляцией.
Стандартный испытательный палец для испытания по п. 8.1

1 — стопорная пластина; 2 — цилиндрическая часть; 3 — изоляционный материал. Допуски на угловые размеры ±5', на
линейные размеры: менее 25 мм... — 0,05; более 25 мм:... ±0,2
Черт. 1
Примечания:
1. Стандартный испытательный палец должен быть сконструирован так, чтобы каждую из сочлененных секций можно было повернуть на 90 ° по отношению к оси пальца только в одном и том же направлении.
2. Для обнаружения прикосновения рекомендуется использовать лампу напряжением не менее 40 В.
Испытательный штырь 8.2. Рабочие кнопки, ручки, рычаги и т. и. не
должны быть под напряжением.
Соответствие проверяют осмотром.
8.3. Для приборов, кроме приборов класса III, ручки, рычаги и кнопки, которыми пользуются при нормальной эксплуатации, не должны оказываться под напряжением в случае повреждения изоляции. Если эти ручки, рычаги или кнопки металлические и если их валы или крепления могут оказаться под напряжением в случае пробоя изоляции, то они должны быть соответственно покрыты изоляционным материалом или их доступные части должны быть отделены от их валов или креплений дополнительной изоляцией.
Примечание. В рамках этого пункта считается, что части, отделенные от частей, находящихся под напряжением, двойной или усиленной изоляцией, не должны оказываться под напряжением в случае ее пробоя.
Соответствие проверяют осмотром и, если необходимо, испытаниями, оговоренными для дополнительной изоляции.
8.4. Для блоков управления класса II конденсаторы не должны подключаться к доступным металлическим частям, а их корпуса, если они металлические, должны быть отделены от доступных металлических частей дополнительной изоляцией.
Соответствие проверяют осмотром и испытаниями, указанными для дополнительной изоляции.
8.5. Приборы, предназначенные для подключения к источнику питания с помощью гибкого шнура и вилки, должны быть сконструированы так, чтобы при нормальной эксплуатации не было опасности поражения электрическим током от заряженных конденсаторов при прикосновении к штырям вилки.
Соответствие проверяют следующим испытанием, которое проводят 10 раз.
Прибор работает при номинальном напряжении.
Выключатель, если он имеется, ставят затем в положение «Выключено» и прибор отключают от источника питания при помощи вилки.
Через 1 с после отключения измеряют напряжение между штырями вилки и прибором, не оказывающим заметного влияния на измеряемую величину.
Напряжение не должно превышать 34 В.
Примечание. Конденсаторы номинальной емкостью, не превышающей 0,1 мкФ, не создают опасности поражения электрическим током.
для испытания по и. 8.1

10. МОЩНОСТЬ
10.1. Мощность, потребляемая прибором при номинальном напряжении и нормальной рабочей температуре, не должна отклоняться от номинальной мощности больше чем на +10 и —20 %.
Однако для приборов с РТС-нагревательными элементами отрицательное отклонение не ограничено.
Соответствие проверяют измерением мощности, потребляемой прибором, работающим при номинальном напряжении и в условиях нормальной теплоотдачи, когда потребляемая мощность стабилизировалась.
Примечания:
1. Если потребляемая мощность постоянно меняется, как в случае использования нагревательного элемента с терморегулятором, то измеряемая потребляемая мощность — это максимальная потребляемая мощность, когда прибор работает в условиях установившегося циклического режима.
2. Потребляемая мощность является мощностью, потребляемой гибкой частью прибора, и не включает потерь трансформатора и мощность, потребляемую регулировочным устройством.
3. У приборов, в которых предельные значения диапазона номинального напряжения отличаются от средней величины диапазона более чем на 10 %, допускаемое отклонение относится к двум предельным значениям.
10.2. Мощность, потребляемая приборами с РТС-нагревательными элементами, должна существенно снижаться с ростом температуры.
Соответствие проверяют следующим испытанием.
Прибор испытывают при номинальном напряжении в условиях нормальной теплоотдачи. При установившемся состоянии потребляемая мощность должна быть снижена не менее чем на 50 % по сравнению с исходным значением. При этом любые регулировочные блоки, которые могли бы сработать в течение этого периода, должны быть заблокированы.
(Введен дополнительно, Изм. № 1).
11. НАГРЕВ
11.1. Приборы и окружающая их среда не должны нагреваться сверх допустимых температур при нормальной эксплуатации.
Соответствие требованию проверяют определением повышения температуры различных частей в условиях, приведенных в пп. 11.2—11.5.
11.2. Прибор работает в условиях нормальной теплоотдачи.
Регулировочные устройства и выключатели, находящиеся в шнуре, подвешивают в помещении без сквозняков на удалении от испытательной кровати.
Другие регулировочные устройства помещают на опорной поверхности листа фанеры, окрашенной в тусклый черный цвет, толщиной 20 мм.
Пледы, за исключением работающих на РТС-нагревательных элементах, испытывают также в сложенном состоянии. Для этого делают простую складку по всей ширине пледа на расстоянии от края, равном одной четверти длины этого одеяла. Регулирующие устройства устанавливают на максимальной уставке, предусмотренной для работы в течение всей ночи.
(Измененная редакция, Изм. № 1).
11.3. Превышение температуры нагревателя определяют методом изменения сопротивления, если он не является неровным или осуществление необходимых соединений не связано с большими сложностями, в этом случае превышение температуры определяют с помощью термопар.
Превышение других температур, кроме температуры нагревателя, определяют с помощью термопар из тонкой проволоки, подобранных и расположенных таким способом, чтобы они оказывали минимальное влияние на температуру испытуемой части.
П римечание. Термопары, имеющие проволоку диаметром не более 0,3 мм, считают термопарами из тонкой проволоки.
Термопары, применяемые для определения температуры нагревательного элемента, должны быть привязаны к этому элементу на длине не менее 10 мм текстильной нитью.
Превышение температуры электрической изоляции, за исключением изоляции нагревателя, определяют на поверхности изоляции в местах, где повреждение может вызвать короткое замыкание, соприкосновение частей, находящихся под напряжением, и доступными металлическими частями, перекрытие изоляции или уменьшение воздушных зазоров ниже величин, указанных в п. 29.1.
Термопары, применяемые для определения температуры поверхности нагреваемых подушек, припаивают к пластинам из меди или латуни площадью 65x65 мм и толщиной 0,5 мм. Пластины размещают так, чтобы они могли покрыть максимальное количество участков нагревательных элементов, причем край пластины должен располагаться параллельно этим участкам нагревательного элемента. Температуру определяют минимум в шести местах: по три измерения на каждой внешней поверхности гибкой части прибора.
Термопары размещают в местах, где ожидают наивысших температур.
Примечания:
1. При определении превышений температуры рукояток, ручек, кнопок и т. и. следует принимать во внимание все части, к которым прикасаются рукой при нормальной эксплуатации, и, если они изготовлены из изоляционного материала, части, соприкасающиеся с горячим металлом.
2. Точка разделения жил в многожильном кабеле или шнуре является примером места, где располагается термопара.
3. Для гибкой части точки расположения термопар можно определять испытанием, например с помощью теплочувствительной бумаги.
11.4. Приборы с автоматической регулировкой температуры испытывают при наименее выгодном напряжении, составляющем 0,94—1,06 номинального напряжения.
Для других приборов испытания проводят при напряжении питания, при котором потребляемая мощность равна 1,15 номинальной мощности.
11.5. Температуры регистрируют непрерывно до получения установившегося теплового режима; температуры или превышения температур не должны быть более значений, указанных в п. 11.6.
За исключением электронных регуляторов без движущихся частей, термовыключатели не должны срабатывать во время испытания. Заливочная масса, если имеется, не должна вытекать.
11.6. а) Для приборов с регулятором, имеющим температурный датчик в гибкой части, который работает во время испытания, температуры у указанных частей не должны быть более приведенных в табл. 1.
Таблица 1
Часть | Температура, °С |
1. Нагревательный элемент одеял и матрацев: | |
до второго срабатывания терморегулятора | 115 |
при установившемся режиме | 95 |
2. Нагревательный элемент подушек: | |
до второго срабатывания терморегулятора | 120* |
при установившемся режиме | 100 |
3. Поверхность | 60** |
* Максимальная температура 140 °С допускается на период 10 мин.
** Максимальная температура 85 °С допускается, если температура поверхности не превышает 60 °С на нижней уставке регулятора.
Ь) Для других приборов превышения температуры указанных частей не должны быть более
приведенных в табл. 2. | Таблица 2 |
Часть | Превышение температуры, К* |
1. Нагревательный элемент | 80 |
2. Поверхность подушек | 45 |
* Эти величины основаны на нормальной температуре окружающей среды прибора и учитывают максимально допустимые испытательные температуры окружающей среды.
с) Превышения температуры других материалов не должны быть более приведенных в табл. 3.
Таблица 3
Часть | Превышение температуры, К |
1. Обмотки*, если ее изоляция из материала классов: | |
75(65) | |
£** | 90(80) |
g** | 95(85) |
р** | 115 |
р[** | 140 |
2. Штыри соединительных розеток прибора | 40 |
3. Окружающая среда выключателей и терморегуляторов внутри регулировочных органов***: | |
без Т- маркировки | 30 |
с Т- маркировкой | Т-25 |
4. Резиновая или поливинилхлоридная изоляция внутренней или наружной проводки, включающей шнуры питания: | |
без Т- маркировки | 50*4 |
с Т- маркировкой | Т-25*5 |
Продолжение таблицы 3
Часть | Превышение температуры, К |
5. Кожух шнура, применяемый в качестве дополнительной | |
ИЗОЛЯЦИИ | 35* ** ***6 |
6. Материал, применяемый в качестве электрической изоляции, кроме указанного для проводов и обмоток: | |
пропитанные или покрытые лаком ткань, бумага или прессованный картон | 70 |
материалы, соединенные смолами: | |
меламин-формальдегидными, фенол-формальдегидными или фенол-фурфуроловыми | 85 |
карбамид-формальдегидными смолами | 65 |
детали, отлитые из: фенол-формальдегида с целлюлозными наполнителями | 85 |
фенол-формальдегида с минеральными наполнителями | 100 |
меламин-формальдегида | 75 |
карбамид-формальдегида | 65 |
полиэфир, усиленный стекловолокном | 110 |
силиконовый каучук | 145 |
политетрафлюроэтилен | 265 |
чистая слюда и плотно спеченный керамический материал, когда такие материалы применяются как дополнительная или усиленная изоляция | 400 |
термопластик*7 дерево*8 | — |
65 | |
7. Внешняя поверхность конденсаторов: | |
с маркировкой максимальной рабочей температуры (7) без маркировки максимальной рабочей температуры: | Т- 35 |
мелкие керамические конденсаторы для подавления радиопомех | 50 |
др. конденсаторы | 20 |
8. Внешняя оболочка регулировочных органов и трансформаторов, кроме ручек, кнопок, рукояток и т. п. | 60 |
9. Регулировочные органы в шнуре, выключатели в шнуре, ручки, кнопки, рукоятки и т. и.: | |
из металла | 35 |
фарфора или стекла | 45 |
из формованного материала, каучука, или дерева | 60 |
* С учетом того, что температура обмоток реле, соленоидов и т. д. обычно выше среднего значения в точках, где помещены термопары, значения без скобок применяют при использовании метода сопротивления, а значения в скобках — при использовании термопар.
** Классификация соответствует ГОСТ 8865. Примером материала класса А может служить: пропитанная хлопчатобумажная ткань, шелк и бумага; эмали на основе олео- или полиамидных смол. Примером материала класса В может служить: стекловолокно, меламин-формальдегидные и фенол-формальдегидные смолы. Примером материала класса Е могут служить: формовочные материалы с целлюлозными наполнителями, слои хлопчатобумажной ткани и слои бумаги, соединенные меламин-формальдегидными, фенол-формальдегидными или фенол-фурфуроловыми смолами; полиэфирные смолы с поперечной связью, пленки триацетата целлюлозы, пленки терефталата полиэтилена; ткани, лакированные на основе терефталата полиэтилена, соединенные лаком на основе алкидной смолы масляной модификации; эмали на основе поливинил-формальдегида, полиуретана или эпоксидной смолы.
*** Буква Т означает максимальную рабочую температуру. Окружающая среда выключателей и терморегуляторов — это температура воздуха в самой горячей точке на расстоянии 5 мм от поверхности данного выключателя или терморегулятора. В рамках этого испытания выключатели и терморегуляторы с маркировкой индивидуальных номинальных значений могут рассматриваться как не имеющие маркировку для максимальной рабочей температуры, если это требование оговорено изготовителем прибора.
*4 Относится к кабелям, шнурам и проводам, отвечающим требованиям соответствующих стандартов; для других она может быть иной.
*5 Действительно до издания стандартов на высокотемпературные кабели, шнуры и провода.
*6 Не применяют, когда нагревательные элементы вынуты из одеяла в пределах гибкого кожуха. В таких случаях превышение температуры кожуха не должно быть более 70 К.
*7 Для частей из термопластика ни одну конкретную предельную величину не указывают, так как она должна выдерживать испытания по и. 30.3, для чего определяют превышение температуры.
*8 Касается порчи дерева и не учитывает порчи поверхностной отделки. Если применяют эти или другие материалы, они не должны подвергаться воздействию температур, превышающих их термические возможности, как определено испытаниями на старение, проведенных на этих материалах.
Примечания:
1) Величины в таблице основаны на температуре окружающей среды, обычно не превышающей 25 °С, но иногда достигающей 35 °С. Однако указанные величины превышения температуры основаны на температуре окружающей среды 25 °С.
2) Величину превышения температуры медной обмотки рассчитывают по формуле
R — R
At= 2 1 (234,5 + *,)- (t2;,),
где A t— превышение температуры, °С (К);
/?1 — сопротивление в начале испытания, Ом;
R2 — сопротивление в конце испытания, Ом;
/| — комнатная температура в начале испытания, °С (К);
t2 — комнатная температура в конце испытания, °С (К).
В начале испытания обмотки должны быть при комнатной температуре.
Рекомендуется определять сопротивление обмоток в конце испытания, измеряя сопротивление тотчас же после отключения, а затем в коротких интервалах так, чтобы кривую зависимости сопротивления от времени можно было провести для установления сопротивления в момент отключения.
3) Ручки, кнопки, рукоятки и т. и. и части упоминаемые в и. 11.6, которые доступны при нормальной эксплуатации, классифицируют по материалам, выводимым из постоянной
b = V X су,
где X — теплопроводность материала, Вт/(м К); с — удельная теплота материала, Дж/(кг К); у — удельная масса материала, кг/м3.
Материалы классифицируют следующим образом:
при b > 3500 — металл;
при 1000 < b < 3500 — фарфор или стекло;
при b < 1000 — формованный материал, резина или дерево.
Альтернативный метод определения постоянной:
образцы материалов с известными величинами постоянной b и образец классифицируемого материала, причем все образцы имеют те же размеры, прикрепляют к нагреваемой металлической плите;
измеряют температуры верхних поверхностей различных образцов и вычерчивают кривую температур контрольных образцов как функцию постоянной Ь;
из этой кривой выводят постоянную b классифицируемого материала путем считывания величин Ь, соответствующих температуре, достигаемой исследуемым образцом.
(Измененная редакция, Изм. № 1).
11.7. Эксплуатация одеял и матрацев не должна создавать опасность теплового удара для потребителя.
Соответствие проверяют следующим испытанием.
Прибор работает в условиях, указанных в п. 11.2, и получает питание, как оговорено в п. 11.4. Температуру окружающей среды поддерживают на наименее выгодной величине от 0 до 15 °С. Любое регулировочное устройство или выключатель в шнуре настраивают на самую низкую уставку, которая обеспечивает включение нагревательного элемента.
После установления стационарного режима, но через 1 ч после включения прибора, измеряют температуру поверхности нагретой части прибора. Измерения проводят с помощью решетки сопротивления, как изображено на черт. 3, шириной 300 мм и длиной, достаточной для перекрытия четырех участков нагревательного элемента, но не менее 300мм. Решетка расположена на корпусе прибора так, что составляющие ее проволоки перпендикулярны к участкам нагревательного элемента. При верхних одеялах решетку располагают под прибором, при нижних одеялах и матрацах — над прибором.
При приборах, снабженных устройством для автоматического переключения на низкую производительность тепла после истечения некоторого времени, регулировочное устройство должно быть настроено на положение максимальной производительности тепла в ходе всего испытания.
Измеряемая температура не должна превышать 37 °С.
12. РАБОТА В УСЛОВИЯХ ПЕРЕГРУЗКИ
12.1. Приборы должны быть сконструированы и изготовлены таким образом, чтобы они выдерживали перегрузки, которые могут возникнуть при нормальной эксплуатации.
Соответствие проверяют испытаниями по настоящему стандарту.
13. ЭЛЕКТРИЧЕСКАЯ ИЗОЛЯЦИЯ И ТОК УТЕЧКИ ПРИ РАБОЧЕЙ ТЕМПЕРАТУРЕ
13.1. Электрическая изоляция приборов при рабочей температуре должна быть достаточной, и ток утечки при нормальной эксплуатации не должен превышать допустимого значения.
Соответствие проверяют испытаниями по следующим пунктам:
13.2 и 13.4 — для гибкой части;
13.3 и 13.4 — для регулировочных органов.
Прибор работает в условиях нормальной теплоотдачи до появления установившегося режима и с напряжением питания:
- равным 1,06 номинального напряжения для приборов с автоматической регулировкой,
- таким, чтобы потребляемая мощность была равна 1,15 номинальной потребляемой мощности для других приборов.
Испытания проводят при переменном токе. Если прибор предназначен только для работы на постоянном токе, испытание проводят при постоянном токе.
Лист металлической фольги толщиной около 0,1 мм и размерами, достаточными для того, чтобы перекрыть поверхность части прибора, содержащей токопроводящие части, вставляют для матрацев между прибором и листом теплоизоляционного материала, а для других приборов два таких листа вставляют: один сверху, другой — снизу гибкой части, причем оба листа фольги электрически соединены друг с другом.
Эти листы прижимают к нагреваемой поверхности прибора путем приложения равномерно распределяемого усилия 350 Па.
Примечание. Самый высокий ток утечки обычно достигается непосредственно перед срабатыванием терморегулятора.
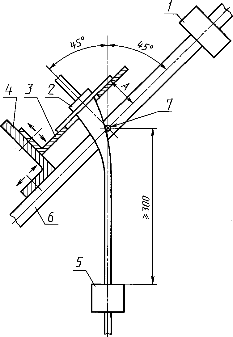
13.2. Для гибкой части ток утечки измеряют между любым полюсом источника питания и листами металлической фольги. Измерительная цепь показана на черт. 4. Она имеет общее сопротивление (1750А.250) Ом и шунтирована конденсатором, так что временная постоянная цепи составляет (225±15) мкс.
Ток утечки измеряют при положениях 1 и 2 переключателя. Если регулировочный орган переключается только в одном полюсе, эти измерения проводят также после того, как регулировочный орган разомкнул цепь.
Ток утечки не должен превышать:
0,5 мА — для подушек;
1мА — для одеял и матрацев (на 1м2 нагревательной поверхности при максимальной величине 2,5мА).
Примечание. Схема цепи для измерения токов утечки приведена в приложении G.
Решетка для испытания тепловым ударом по п. 11.7.

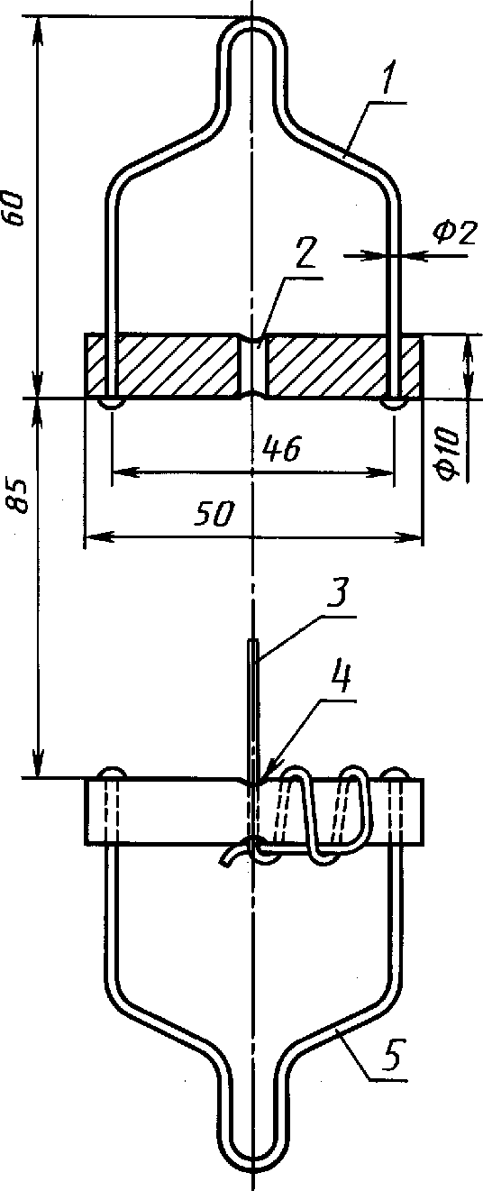
1 — клеммная колодка; 2 — изолированный возвратный конец; 3 — проволоки с высоким температурным коэффициентом диаметром 0,3 мм с расстоянием между ними 10 мм; 4 — изолированные распорки для обеспечения равного расстояния между проволоками; 5 — изолированная металлическая рама размерами 2 х 12 мм
Черт. 3
Схема для измерения тока утечки гибкой части прибора для испытания по и. 13.2

1 — листы изоляционного материала; 2 — равномерно распределенная масса; 3 — листы алюминиевой фольги; 4 — испытуемое одеяло или подушка; 5 — фанерная опора; 6 — фазовый провод
Черт. 4
13.3. Для регулировочных органов проводят измерения тока утечки, проходящего между любым из двух полюсов источника питания и:
доступными металлическими частями и металлической фольгой с поверхностью размером не более 200 х 200 мм, находящейся в контакте с доступными поверхностями изоляционного материала, соединенными вместе;
металлическими частями регулировочных устройств класса II, отделенными от токопроводящих частей только основной изоляцией.
Схема цепи показана на черт. 5. Измерительная цепь имеет общее сопротивление (1750±.250) Ом и шунтирована конденсатором так, что временная постоянная цепи составляет (225±15) мкс.
Для регулировочных устройств класса II ток утечки измеряют при положениях переключателя Al, А2, В1 и В2, и он не должен превышать следующих значений:
0. 25.мА — для доступных металлических частей и металлической фольги;
5,0 мА — для металлических частей, отделенных от токопроводящих частей только основной изоляцией.
Если регулировочное устройство содержит один или несколько конденсаторов и имеет однополюсный выключатель, измерения повторяют с выключателем в положении «Выключено».
Примечания:
1. Металлическая фольга должна иметь наибольшую возможную площадь на испытываемой поверхности, не превышая указанных размеров. Если ее площадь меньше испытываемой поверхности, ее перемещают так, чтобы испытать все части поверхности; однако фольга не должна влиять на рассеивание тепла регулировочного устройства.
2. Рекомендуется регулировочное устройство снабжать питанием через изоляционный трансформатор; в противном случае оно должно быть изолировано от земли.
3. Испытание с выключателем в положении «Выключено» проводят, чтобы убедиться, что конденсаторы, соединенные позади однополюсного выключателя, не создают чрезмерного тока утечки.
13.4. Изоляцию приборов подвергают в течение 1 мин воздействию практически синусоидального напряжения частотой 50 или 60 Тц, при этом испытательная цепь должна быть такой, какая изображена на черт. 6.
Значения испытательного напряжения должны составлять: 1000 В — для гибких частей класса 0, между частями, находящимися под напряжением, и металлической фольгой; 3750 В — для гибких частей класса II, между частями, находящимися под напряжением, и металлической фольгой.
Для регулировочных устройств класса II: 1000 В — между частями, находящимися под напряжением, и металлическими частями, отделенными от частей, находящихся под напряжением, только основной изоляцией; 2750 В — между металлическими частями, отделенными от частей, находящихся под напряжением, только основной изоляцией, и корпусом; 3750 В — между частями, находящимися под напряжением, и корпусом.
Сначала прилагают не более половины указанного напряжения, затем его быстро повышают до полной величины.
Схема для измерения тока утечки регулировочного органа для испытания по и. 13.3
Схема для испытания электрической прочности по и. 13.4


1 — доступная часть; 2 — недоступная металлическая часть; 3 — основная изоляция; 4 — дополнительная изоляция; 5 — усиленная изоляция
Черт. 5
1 — трансформатор высокого напряжения; 2 — разделительный трансформатор; 3 — трехфазный источник питания
Черт. 6
Во время испытания кратковременные разряды и пробои изоляции не допускаются.
Примечания:
1. Тлеющие разряды без падения напряжения не принимают в расчет.
2. Трансформатор высокого напряжения, применяемый для испытания, должен иметь номинальную мощность не менее 500 В А.
3. Если вторичная обмотка разделительного трансформатора не снабжена отводом в средней точке, выходная обмотка трансформатора высокого напряжения может быть соединена со средней точкой потенциометра, имеющего общее сопротивление не более 2000 Ом, и соединена через выходную обмотку разделительного трансформатора.
14. ПОДАВЛЕНИЕ РАДИО- И ТЕЛЕПОМЕХ
14.1. Встроенные элементы, необходимые для достаточного подавления радио- и телепомех, не должны снижать безопасность прибора.
Соответствие требованию проверяют испытаниями, предусмотренными настоящим стандартом.
Примечание. Принять к сведению, что проверка на соответствие требованию по предельному уровню помех, создаваемых прибором, проведенная в соответствии с ГОСТ 23511, покажет, что прибор имеет требуемый уровень подавления помех.
15. ВЛАГОСТОЙКОСТЬ
15.1. Оболочка приборов, кроме приборов класса III, должна обеспечивать степень защиты от влаги соответственно классификации прибора.
Соответствие проверяют:
для гибкой части одеял и влагостойких подушек — испытанием по п. 15.2;
для гибкой части влагостойких подушек — испытанием по п. 15.2 и дополнительно испытанием по п. 15.3, если подушки не подвергают испытаниям по пп. 21.10—21.16;
для гибкой части матрацев — испытаниями по п. 15.4;
для регулировочных устройств и выключателей в шнуре — испытанием по п. 15.5.
После указанной обработки прибор должен выдерживать соответствующие испытания по разд. 16 и осмотр должен показать, что:
для влагостойких приборов нет следов воды на изоляции, которые могут привести к уменьшению путей утечки и воздушных зазоров ниже предельных величин, указанных в п. 29.1;
для влагонепроницаемых подушек, после испытаний по п. 15.3, влага не проникла в наволочку в таком количестве, что она соприкасается с нагревательными элементами и другими токопроводящими частями.
Примечание. Если для испытаний предусмотрен соляной раствор, он должен иметь состав: 2 г хлористого натрия (NaCl) на 1 л дистиллированной воды.
(Измененная редакция, Изм. № 1).
15.2. Моющиеся приборы моют согласно инструкции изготовителя.
Гибкую часть одеял и подушек погружают на 1 ч в соляный раствор при температуре (20±5) °С. Погружают всю гибкую часть, кроме штепселя прибора. Для влагостойких подушек место входа гибкого шнура не погружают.
При гибкой части, все еще погруженной в соляный раствор, прибор подвергают соответствующим испытаниям по п. 16. Для этого испытания соединители прибора включают в розетку и штепсельный соединитель обертывают в металлическую фольгу.
15.3. После обработки по п. 15.2, за которой следуют испытания по разд. 16, в наружном слое постоянной оболочки влагонепроницаемых подушек делают надрез. Подушку вновь помещают в соляный раствор и дают ему свободно проникнуть во внутреннюю часть подушки.
Через 1 ч испытание по п. 16.3 повторяют при испытательном напряжении 1250 В.
15.4. Матрацы укладывают на лист фанеры. Количество соляного раствора составляет 1 л на каждый 1 м2 верхней поверхности; его равномерно разливают по матрацу со скоростью 1 л/мин.
Соляному раствору дают просочиться в матрац в течение 30 мин.
15.5. Регулировочные устройства и выключатели в шнуре помещают в камеру с относительной влажностью воздуха (93±2) %. Температуру воздуха во всех местах, где могут быть расположены образцы, поддерживают в пределах 1 К для любого значения температуры t, находящегося в диапазоне от 20 до 30 °С.
Перед тем как поместить образец в камеру влажности, удаляют части, которые могут быть сняты без помощи инструмента. Затем образец доводят до температуры между 20 и 30 °С.
Если необходимо, части, которые сняты, подвергают влажной обработке вместе с основной частью.
Образец выдерживают в камере влажности в течение 48 ч.
Примечания:
1. В большинстве случаев образец можно довести до заданной температуры, удерживая эту температуру в течение 4 ч перед влажной обработкой.
2. Относительную влажность (93+2) % можно получить, поместив в камеру влажности насыщенный раствор сульфата натрия (Na2S04) или нитрата калия (KN03) в воде, имеющий достаточно большую поверхность соприкосновения с воздухом.
3. Для обеспечения указанных условий в камере, необходимо создать в ней постоянную циркуляцию воздуха и, в общем, использовать термически изолированную камеру.
16. СОПРОТИВЛЕНИЕ ИЗОЛЯЦИИ И ЭЛЕКТРИЧЕСКАЯ ПРОЧНОСТЬ
16.1. Приборы должны иметь достаточные электрическую прочность и сопротивление изоляции.
Соответствие проверяют:
при гибкой части, не относящейся к классу III, — испытаниями по пп. 16.2 и 16.3.
После этих испытаний гибкую часть обрабатывают согласно п. 16.4;
при наличии регулировочных устройств и выключателей в шнуре — испытаниями по пп. 16.5 и 16.6.
Испытания этого раздела проводят на холодном приборе, не подключенном к источнику питания.
Испытания проводят непосредственно после обработки по разд. 15, когда прибор еще погружен, находится в соприкосновении с соляным раствором или в камере влажности, в зависимости от того, что требуется.
При наличии регулировочных органов и переключателей испытания проводят после повторной сборки частей, которые могут быть сняты.
Металлическую фольгу прикладывают, как указано в разд. 13.
16.2. Испытательное напряжение, равное 1,06 номинального значения, прикладывают между частями, находящимися под напряжением, и металлической фольгой или между частями, находящимися под напряжением, и электродом, погруженным в соляный раствор.
Ток утечки измеряют с момента приложения испытательного напряжения; он не должен превышать:
1 мА — для подушек;
5 мА — для одеял и матрацев.
16.3. Изоляцию между частями, находящимися под напряжением, и металлической фольгой или между частями, находящимися под напряжением, и электродом, погруженным в соляный раствор, подвергают в течение 1 мин воздействию практически синусоидального напряжения частотой 50 или 60 Гц.
Значение испытательного напряжения составляет:
1250 В — для приборов класса 0;
3750 В » » » II.
Вначале применяют напряжение, не превышающее половины значения предписанного напряжения, а затем его быстро увеличивают до полного значения.
Во время испытаний кратковременные разряды и пробои изоляции не допускаются.
16.4. После испытаний по пп. 16.2 и 16.3 гибкую часть тщательно промывают в чистой воде и оставляют для сушки по крайней мере на 24 ч при температуре от 20 до 40 °С.
Во время сушки устройства растягивают так, чтобы они восстановили возможно наиболее точно свои исходные размеры.
Промывание матрацев проводят следующим образом.
Воду из расчета 0,5 л на каждый 1 м2 верхней поверхности равномерно выливают на верхнюю поверхность матраца и протирают губкой, поглощающей возможно большее количество воды. Эту операцию проводят три раза, после чего матрац вытирают сухой тряпкой.
16.5. Испытательное напряжение постоянного тока для регулировочных устройств и выключателей в шнуре, работающих только на постоянном токе, и переменного тока для других регулировочных устройств и выключателей в шнуре прикладывают, как указано вп. 1 табл. 4, при этом металлическую фольгу размером не более 200 х 100 мм перемещают, если необходимо, так, чтобы испытать все части поверхности. Кроме того, для регулировочных устройств класса II испытательное напряжение прикладывают между частями, находящимися под напряжением, и металлическими частями, отделенными от частей, находящихся под напряжением, только основной изоляцией.
Испытательное напряжение равно 1,06 номинального напряжения.
Ток утечки, измеряемый через 5 с после приложения испытательного напряжения, не должен превышать следующих значений:
0,25 мА — между частями, указанными в п. 1 табл. 4 для регулировочных устройств класса II;
5,0 мА — между частями, находящимися под напряжением, и металлическими частями регулировочных устройств класса II, отделенными от частей, находящихся под напряжением, только основной изоляцией.
16.6. Непосредственно после испытания по п. 16.5 изоляцию подвергают в течение 1 мин воздействию практически синусоидального напряжения частотой 50 или 60 Гц. Величина испытательного напряжения для регулировочных устройств класса II и точки его приложения приведены в табл. 4.
Таблица 4
Точка приложения испытательного напряжения | Испытательное напряжение, В |
1. Между частями, находящимися под напряжением, и частями корпуса, которые отделены от частей, находящихся под напряжением, усиленной изоляцией | 3750 |
2. Между частями, находящимися под напряжением разной полярности | 1250 |
3. Для частей с двойной изоляцией, между металлическими частями, отделенными от частей, находящихся под напряжением, только основной изоляцией, к: частям, находящимся под напряжением | 1250 |
корпусу | 2500 |
4. Между металлической фольгой, соприкасающейся с кнопками, ручками и т. и. и их осями, если эти оси могут быть под напряжением в случае пробоя изоляции | 2500 |
5. Между корпусом и питающим шнуром, обернутым металлической фольгой, или металлическим стержнем того же диаметра, что и питающий шнур, расположенным на своем месте, оснащенным входными втулками из изоляционного материала, защитными устройствами, анкерными креплениями и т. и. | 2500 |
Испытание между токоведущими частями разной полярности проводят только там, где необходимые рассоединения могут быть сделаны без повреждения регулировочного устройства или переключателя в шнуре.
Испытание не проводят между контактами переключателей с микрозазором, реле, терморегуляторов, термовыключателей и т. п. или на изоляции конденсаторов, соединенных между токовыми частями разной полярности.
Вначале применяют напряжение, не превышающее половины значения предписанного напряжения, а затем его быстро увеличивают до полного значения.
Во время испытания кратковременные разряды или пробои изоляции не допускаются.
Примечания:
1. Металлическая фольга должна быть расположена так, чтобы на краях изоляции не происходило кратковременных разрядов.
2. При регуляторах класса II, имеющих усиленную и двойную изоляцию, необходимо, чтобы напряжение, прилагаемое к усиленной изоляции, не перегрузило основную или дополнительную изоляцию.
3. При испытании изоляционных покрытий металлическая фольга может быть прижата к изоляции с помощью мешка с песком такого размера, чтобы давление составляло около 5 кПа. Испытание можно ограничить местами, где изоляция может быть ослаблена, например, там, где под изоляцией имеются острые металлические края.
4. Если целесообразно, изоляционные покрытия испытывают отдельно.
17. ЗАЩИТА ОТ ПЕРЕГРУЗКИ
17.1. Приборы, которые содержат цепи, питающиеся от трансформатора, должны быть сконструированы так, чтобы в случае короткого замыкания цепей, которое может возникнуть при нормальной эксплуатации, не происходил чрезмерный нагрев трансформатора или связанных с ним цепей.
Соответствие требованию проверяют путем создания самого неблагоприятного короткого замыкания или перегрузки, которые возможны при нормальной эксплуатации; при этом прибор должен работать при напряжении, равном 0,94 или 1,06 номинального напряжения, в зависимости от того, какое из них является более неблагоприятным.
Определяют превышение температуры изоляции проводов цепей безопасного сверхнизкого напряжения, которое не должно быть более чем на 15 К выше значений, указанных в табл. 1. Температура обмоток трансформаторов не должна превышать значений, приведенных в табл. 5.
Таблица 5
Тип прибора | Предельная температура, °С, для материала изоляции обмоток класса | ||||
А | Е | В | F | Н | |
Защищен полным сопротивлением | 150 | 165 | 175 | 190 | 210 |
Защищен защитными устройствами, которые срабатывают: | |||||
в течение первого часа, максимальное значение | 200 | 215 | 225 | 240 | 260 |
после первого часа, максимальное значение | 175 | 190 | 200 | 215 | 235 |
среднее арифметическое значение | 150 | 165 | 175 | 190 | 210 |
Примечания:
1. Примерами коротких замыканий, которые могут произойти при нормальной эксплуатации, являются короткие замыкания оголенных или недостаточно изолированных проводов доступных цепей с безопасным сверхнизким напряжением и внутренние короткие замыкания нитей накала ламп.
2. При проведении этого испытания маловероятно, что произойдет повреждение изоляции, соответствующей требованиям, предъявляемым к основной изоляции, кроме приборов класса III.
3. Защита обмоток трансформатора может быть обеспечена полным собственным сопротивлением обмоток или с помощью плавких предохранителей, автоматических выключателей, термовыключателей или подобных устройств, встроенных в трансформатор или расположенных внутри прибора, при условии, что эти устройства доступны только при помощи инструмента.
18. ИЗНОСОУСТОЙЧИВОСТЬ
18.1. Приборы должны конструироваться так, чтобы не было электрического или механического повреждения, которое могло бы нарушить соответствие настоящему стандарту. Изоляция не должна повреждаться, а контакты и соединения не должны ослабляться в результате нагрева, вибрации и т. д.
Соответствие проверяют испытаниями по настоящему стандарту.
19. НЕНОРМАЛЬНАЯ РАБОТА
19.1. Приборы должны конструироваться так, чтобы опасность возникновения пожара, механической травмы или поражения электрическим током в результате ненормальной или небрежной эксплуатации были бы минимальными.
Соответствие проверяют следующим образом:
одеяла, кроме одеял, устойчивых к сморщиванию, — испытаниями по пп. 19.2—19.4, 19.7 и 19.8;
подушки и одеяла, устойчивые к сморщиванию, — испытаниями по пп. 19.5—19.8;
матрацы — испытаниями по пп. 19.5, 19.7и 19.8.
Требования п. 19.9распространяются на все приборы.
Одеяла и матрацы дополнительно испытывают по п. 19.10.
Гибкие части, имеющие многожильные проводники, дополнительно испытывают по пп. 19.11— 19.14.
Если нет других указаний, прибор работает при таком напряжении, которое создает наиболее невыгодные условия:
для приборов с автоматическим регулированием температуры — от 0,9 до 1,1 номинального напряжения;
для других приборов — от 0,85 до 1,24 номинальной мощности.
Испытания продолжают до появления установившегося теплового режима.
Если в любом из испытаний срабатывает термовыключатель без самовозврата, нагревательный элемент отказывает или, если ток прерывается до наступления установившегося теплового режима, нагревательный период считают законченным, но если прекращение тока происходит в результате отказа нагревательного элемента или намеренно ослабленной части, соответствующее испытание повторяют на отдельном образце, который затем также должен удовлетворять условиям, приведенным в п. 19.9.
Примечания:
1. Отказ нагревательного элемента или намеренно ослабленной части во втором образце не может служить основанием для отбраковки.
2. Для обеспечения необходимой защиты могут быть использованы плавкие предохранители, термовыключатели, размыкающие механизмы максимального тока или аналогичные устройства, имеющиеся в приборе.
3. Намеренно ослабленная часть — часть, выходящая из строя при ненормальной работе и предотвращающая возникновение условия, являющегося опасным в рамках настоящего стандарта. Такой частью может быть заменяемая деталь, например, резистор, конденсатор или термический плавкий предохранитель или часть заменяемой детали.
4. Если для одного прибора применяют несколько испытаний, то их проводят последовательно.
5. Для испытаний по пп. 19.2—19.4 складки в одеялах могут быть закреплены шитьем.
19.2. Одеяла, кроме одеял, устойчивых к сморщиванию, снабженные терморегуляторами или термовыключателями, работают в условиях нормальной теплоотдачи, за исключением того, что одеяло складывают в три слоя шириной 40 мм и длиной 400 мм, как показано на черт. 7, в наиболее невыгодном месте. Верхнюю часть материала теплоизоляции размером 300 х 450 мм и толщиной d, как указано в приложении С, располагают на сложенном одеяле в наиболее невыгодном положении.
Нижние одеяла, кроме имеющих некоторую жесткость, также испытывают, полностью перекрывая прибор, как указано для условий нормальной теплоотдачи.
19.3. Нижние одеяла, кроме имеющих некоторую жесткость, включают в условиях нормальной теплоотдачи, но складывают на пять толщин в закладку шириной 100мм и длиной 400мм в наиболее невыгодном положении. Закладка должна быть перпендикулярна к направлению прохождения нагревательного элемента и раскладывается на концах. Верхний слой материала теплоизоляции размером 300 х 450 мм и толщиной 2,5 d, как указано в приложении С, помещают на сложенное одеяло.
На прибор подают напряжение, соответствующее верхней границе диапазона, указанного в п. 19.1.
19.4. Верхние одеяла включают в условиях нормальной теплоотдачи, но складывают в пять толщин в закладку любой равной ширины от 75мм и длиной 400мм. Закладка должна быть перпендикулярна направлению прохождения нагревательного элемента и раскладываться на концах. Положение и ширину закладок выбирают так, чтобы получить наиболее невыгодный результат.
Испытание проводят, перекрывая или не перекрывая одеяло, в зависимости от того, что наименее выгодно.
Накрывающий материал имеет толщину, приблизительно равную значению, указанному в приложении С, и размеры 300 х 400 мм. Им накрывают сложенное в наиболее неблагоприятном положении одеяло.
(Измененная редакция, Изм. № 1).
19.5. Одеяла, имеющие некоторую жесткость, подушки и матрацы, которые содержат более одного терморегулятора в каждой цепи, включают в условиях нормальной теплоотдачи, но верхний лист теплоизоляции должен покрывать только одну треть гибкой части. Это испытание проводят восемь раз, причем граница перекрываемой поверхности в свою очередь параллельна каждой из сторон и диагоналям гибкой части, как указано на черт. 8.
19.6. Одеяла, имеющие некоторую жесткость, и подушка включают в условиях нормальной теплоотдачи, но при снятом верхнем листе теплоизоляции и гибкой частью, сложенной так, чтобы получить наиболее невыгодную закладку двойной толщины. Закладки должны быть параллельны одному из краев гибкой части, при этом положение закладок и их ширину выбирают так, чтобы получить наиболее невыгодный результат.
Верхнюю поверхность гибкой части не перекрывают или частично перекрывают листом теплоизоляции, в зависимости от того, что более невыгодно. Дайна этого перекрытия равна длине того края, который параллелен закладке, а ширина равна одной трети длины примыкающего края. Толщина материала теплоизоляции равна приблизительно d, как указано в приложении С.
Его помещают в наиболее невыгодное положение, которое полностью перекрывает гибкую часть в направлении, параллельном закладкам, и частично перекрывает ее в направлении поперек закладок.
Примечание. Примеры способа, которым складывают гибкую часть и применяют перекрытие, приведены на черт. 9.
19.7. Приборы с регуляторами, имеющими контакты переключения, которые срабатывают при испытании по п. 11, включают в условиях нормальной теплоотдачи, закорачивая эти контакты по очереди.
19.8. Если соответствие испытаниям по пп. 19.2 и 19.4—19.7 зависит от работы регулировочного устройства, испытания повторяют, вызывая тот тип отказа поочередно каждой детали регулировочного устройства, который может произойти при нормальной эксплуатации, но контакты переключения не закорачивают.
Примечание. Для цепей, имеющих электронные детали, типы отказа, которые могут произойти, указаны вп. В 19.101 приложения В.
19.9. При испытаниях по пп. 19.2—19.8 прибор не должен испускать пламя или расплавленный металл, ядовитый или горючий газ в опасных количествах и, если прибор уже не в рабочем состоянии
Положения верхнего слоя теплоизоляции для испытания по и. 19.5
1111 ~ изоляционный материал
12 3 9
5 6 18
1—8 — виды расположения теплоизоляционного материала на испытуемых образцах
Черт. 8
Метод складывания одеял для испытания по и. 19.2
А-А

1 — верхний слой теплоизоляции; 2 — образец; 3 — нижний слой теплоизоляции
Черт. 7
Примеры складывания испытуемого прибора для испытания по и. 19.6

Ь/3
ь/з
1 ь/3 1 | |
ь/з | |
Jy-CXXVY'ccd |
ь/з
ь/з
1 — теплоизоляционный материал; 2 — прибор Черт. 9
после испытаний, максимальная температура нагревательных элементов не должна превышать 160 °С для приборов с автоматической регулировкой температуры или, для других приборов, максимальный прирост температуры не должен превышать 145 °С.
Температура РТС-нагревательных элементов должна быть не более 105 °С.
После испытаний прибор не должен иметь повреждений, способных снизить его безопасность, и после его охлаждения приблизительно до комнатной температуры он должен выдерживать испытание на электрическую прочность по п. 13.4 в условиях, предусмотренных в п. 13.1, но без подключения к источнику питания.
Если при испытаниях плавкий предохранитель в приборе выходит из строя из-за короткого замыкания, прибор дополнительно испытывают следующим образом.
Короткое замыкание, которое может произойти при эксплуатации, вызывают в проводниках в точке максимального полного сопротивления и на прибор подают напряжение, соответствующее нижнему предельному значению, как указано в п. 19.1.
Испытание проводят три раза, и предохранитель должен перегорать каждый раз.
П римечание. Обесцвечивание оболочки без какого-либо другого дефекта не считают повреждением, способным снизить безопасность прибора.
19.10. Одеяла и матрацы должны быть сконструированы так, чтобы отказ детали не вызывал повышения температуры, которое могло бы быть опасным для человека.
Соответствие проверяют, повторяя испытание по п. 11.7 и вызывая отказ каждой детали по очереди так, как это может происходить при нормальной эксплуатации. Однако переключающие контакты не закорачивают и только одно условие отказа применяют одновременно. Напряжение подают то, которое указано в п. 11.4.
При испытании температура нагреваемой поверхности не должна превышать 60 °С.
П римечание. Испытание не проводят, если из осмотра цепи очевидно, что требование будет удовлетворено.
Температуру не измеряют в течение первого часа работы прибора.
П римечание. Нагревательные элементы и внутреннюю проводку не рассматривают как компоненты прибора.
19.9, 19.10. (Измененная редакция, Изм. № 1).
19.11. Приборы, имеющие нагревательные элементы или внутреннюю проводку, состоящую из многожильных проводников, не должны чрезмерно нагреваться при нормальной эксплуатации, если нагревательный элемент или внутренний проводник имеет одну или более разорванных жил.
Соответствие проверяют испытаниями по пп. 19.12—19.14.
Примечание. Любую незащищенную жилу гибкого шнура внутри гибкой части прибора, выходящую более чем на 100 мм из анкерного крепления шнура, считают проводом внутреннего соединения.
19.12. Если провод внутреннего соединения и нагревательные элементы не имеют неразъемной изолированной оболочки, а имеют отдельные жилы, которые электрически не изолированы друг от друга, оболочку гибкой части открывают и обнажают короткий отрезок внутренней проводки или нагревательного элемента в наиболее невыгодном месте. Все жилы, кроме одной, обрезают и складывают обратно, оставляя зазор, равный приблизительно 15 мм. Затем оболочку закрывают и прибор включают в соответствии с условиями нормальной теплоотдачи на 4 ч.
Если ток, проходящий через отдельную жилу, вызывает ее перегорание до появления какого-либо повреждения, испытание повторяют, увеличивая количество жил в цепи до минимума, необходимого для предотвращения перегорания.
После испытания не должно быть сморщивания оболочки или материала, соприкасающегося с необрезанной жилой.
19.13. Если провода внутренних соединений или нагревательные элементы имеют неразъемную изолированную оболочку и отдельные жилы, которые электрически не изолированы друг от друга, оболочку гибкой части прибора открывают и обнажают короткий отрезок внутреннего провода или нагревательного элемента в наиболее невыгодном месте. 100 мм одной проволоки из жилы провода обертывают на один полный виток вокруг обнаженного провода. Концы витка располагают друг от друга на расстоянии 1 мм. Концы жилы соединяют последовательно с испытываемым проводником и оболочку закрывают. Затем прибор включают в соответствии с условиями нормальной теплоотдачи на 4 ч.
Если ток, проходящий через отдельную жилу, вызывает ее перегорание до появления какого-либо повреждения, испытание повторяют, увеличивая количество жил, обернутых вокруг изоляции внутренней проводки или нагревательного элемента, до минимума, необходимого для предотвращения перегорания.
После испытания не должно быть повреждения изоляции внутренней проводки, нагревательного элемента или другого материала гибкой части.
Примечание. Не принимают во внимание незначительные повреждения изоляции на проводнике, например, зубец или вмятина.
19.14. Если внутренние провода или нагревательные элементы имеют отдельные жилы, которые электрически изолированы друг от друга, провода или нагревательный элемент отсоединяют от зажимов и концы проводов разделяют. Постоянное напряжение, равное приблизительно 500 В, прикладывают на 1 мин и измеряют сопротивление изоляции между любыми двумя жилами.
Сопротивление изоляции должно быть не менее:
0,1 МОм — для приборов класса III;
1 МОм — для других приборов.
20. УСТОЙЧИВОСТЬ
20.1. Регулировочные устройства, предназначенные для размещения на поверхности, например, столе, должны иметь соответствующую устойчивость.
Соответствие проверяют следующим испытанием.
Регулировочное устройство, имеющее приборную розетку, снабжают соответствующим соединителем и гибким шнуром.
Регулировочное устройство помещают в любое нормальное положение эксплуатации на плоскости, наклоненной под углом 10 ° к горизонтали, при этом шнур располагают на наклонной плоскости в наиболее невыгодном положении.
Регулировочное устройство не должно опрокидываться.
21. МЕХАНИЧЕСКАЯ ПРОЧНОСТЬ
21.1. Приборы должны обладать соответствующей механической прочностью и сконструированы так, чтобы выдерживать такие условия, какие могут появиться во время нормальной эксплуатации.
Соответствие этого требования для гибкой части проверяют: одеяла — посредством испытаний по пп. 21.2, 21.5 и 21.6, а одеяла со скрепленными оболочками — дополнительно испытанием по п. 21.9; матрацы — посредством испытаний по пп. 21.4, 21.5, 21.6 и, если применяется, по п. 21.9; подушки — посредством испытаний по пп. 21.3, 21.5, 21.6, 21.7 и, если применяется, по п. 21.9.
Для регулировочных устройств и выключателей в шнуре соответствие проверяют испытанием по п. 21.17 и дополнительно для регулировочных устройств испытанием по п. 21.18.
После этих испытаний гибкая часть должна соответствовать требованиям п. 21.8.
Примечания:
1. Влагонепроницаемые подушки, не подвергаемые испытанию по и. 15.3, дополнительно должны соответствовать требованиям пп. 21.10—21.16.
2. Нагревательные элементы и провода внутренних соединений в гибкой части должны соответствовать требованиям пп. 21.19—21.22.
21.2. Одеяла надежно прикрепляют к аппарату, описанному в приложении D.
Одеяло натягивают ведущим брусом, при этом ведущая звездочка работает со скоростью 33 об/мин.
Проводят 1000 циклов прокатывания одеяла, конец которого прикреплен к ведущему брусу. Затем поворачивают на 90° и прокатывают еще 1000 циклов.
Примечания:
1. При испытании одеяло должно быть обращено к цилиндру одной и той же стороной.
2. Когда очевидно, какой конец одеяла должен быть расположен у изголовья кровати, его прикрепляют к ведущему брусу.
Когда это не очевидно, к брусу прикрепляют край одеяла, противоположный тому, куда входит шнур питания.
3. Когда одеяло поворачивают на 90 °, к ведущему брусу его прикрепляют со стороны, противоположной входу шнура.
21.1, 21.2. (Измененная редакция, Изм. № 1).
21.3. Подушки со снятой оболочкой прокатывают вперед и назад на гладком горизонтальном валике диаметром 25 мм. Подушку располагают так, чтобы один конец ее свисал вертикально из валика, а полная длина другого конца была прижата к приводному устройству, которое перемещается в горизонтальной плоскости.
Зажим прикрепляют к концу вертикальной части подушки по всей длине. Усилие 0,03 Н на 1 мм прикрепленного конца или 4,45 Н, в зависимости от того, что больше, прикладывают с помощью груза, подвешенного к зажиму.
Шаг подвижного узла такой, что подвергается изгибу наибольшая возможная площадь.
Приводное устройство работает со скоростью приблизительно 125 мм/с на 2000 циклов. Затем подушку поворачивают на 90° и проводят еще 2000 циклов.
Примечания:
1. Испытание подушки проводят со стороны подушки, обращенной к валику.
2. Цикл — это два движения, по одному в каждом направлении.
3. Аппарат настраивают так, чтобы можно было испытывать подушки разных размеров.
21.4. Матрацы укладывают плоско на горизонтальную подкладку из фанеры. Валик конструкции, подобной конструкции цилиндра, указанной в приложении D, массой 61,5 кг и длиной 1 м медленно прокатывают вперед и назад по верхней поверхности гибкой части. Проводят 1000 циклов прокатывания в направлении большей оси по тому же пути, по наиболее невыгодному месту.
Примечание. Цикл — это два движения, по одному в каждом направлении.
21.5. Приборы работают 500 ч непрерывно в условиях, указанных в разд. 11. Температуру поверхности гибкой части приборов с автоматической регулировкой температуры измеряют в устано
Вращающийся барабан для испытаний подушек по и. 21.7

1 — стальная плита; 2 — деревянная опора; 3 — гладкие металлические стороны
Черт. 10
вившемся режиме в начале и в конце этого периода. Температура не должна увеличиваться более чем на 5 К.
Для приборов, в которых на работу защитного устройства может вредно повлиять старение системы, чувствительной к температуре, продолжительность испытания увеличивают до 1000 ч.
Для приборов с РТС-нагревательными элементами испытание проводят в течение 1000 ч, но с гибкой частью, полностью закрытой накрывающим материалом толщиной 2,5 d, как указано в приложении С.
Через 100 ч и после окончания испытания температуру РТС-нагревательного элемента измеряют при условиях, указанных в разделе 11. Она не должна возрасти более чем на 5 °С.
(Измененная редакция, Изм. № 1).
21.6. После испытания по п. 21.5 гибкую часть подвергают следующему испытанию:
для одеял испытание по п. 21.2 повторяют, но с другой стороны гибкой части, примыкающей к барабану;
для подушек испытание по п. 21.3 повторяют, но с другой стороны гибкой части, примыкающей к валику;
для матрацев испытание по п. 21.4 повторяют, но с валиком, перемещаемым в направлении меньшей оси. В этом случае проводят 2000 циклов — по 1000 на каждом из двух путей, но перекрещивающихся между собой.
21.7. Подушки со шнурами питания, отрезанными на расстоянии 100 мм от гибкой части, подвергают испытанию в поворотном барабане, как указано на черт. 10. Барабан вращают со скоростью 6—7 об/мин так, что образец падает на стальную плиту дважды при каждом вращении, при этом количество оборотов равно 500.
21.8. После испытаний образцы не должны иметь: никаких повреждений наволочки или перемещения нагревательных элементов, которые могли бы повлиять на безопасность эксплуатации прибора;
прерываний проводов нагревательного элемента и не более 10 % жил проводов внутренних соединений;
нарушения конструкционного шва или ослабления клеевых или сварных соединений, которые могли бы повлиять на безопасность эксплуатации прибора;
ослаблений оттяжки несъемного гибкого шнура от гибкой части; ослаблений или разрушений электрических соединений; нарушения регулировочных цепей в гибкой части.
Примечания:
1. Повреждением наволочки, которое могло бы отрицательно повлиять на безопасность эксплуатации прибора, является, например, растрескивание или разрывы покрытия. Не учитывают малые отверстия в текстильном материале, предназначенном для изоляции или защиты от влаги.
2. Считают, что требования безопасности снижены, если, например, нагревательные элементы сдвинулись в своих «карманах» так, что части элемента соприкоснулись между собой.
21.9. Для приборов со скрепленными оболочками 6 образцов склеенного материала, каждый размером 100 х 130 мм, отрезают от гибкой части. Три образца отрезают в направлении длины нагревательного элемента, а другие — перпендикулярно этому направлению.
От сторон размером 100 мм с одной поверхности на одном крае каждого образца снимают полоску материала наволочки шириной 25 мм. Другую такую же полоску снимают с противоположной поверхности и на противоположном конце образца. Часть нагревательного элемента, расположенную под снятыми полосками, также отрезают.
Всю длину каждого отдельного слоя скрепляют зажимом.
Затем образец подвешивают с помощью одного зажима и нагружают до 1,25 кг с помощью другого зажима.
Испытание повторяют на 6 образцах, взятых из гибкой части нового прибора.
В ходе этого испытания слои не должны разделяться.
(Измененная редакция, Изм. № 1).
21.10. Оболочка влагонепроницаемых подушек, состоящая из неусиленной гибкой пластмассовой обшивки, должна иметь достаточную гибкость в холодных условиях.
Соответствие проверяют следующим испытанием.
Обшивку при температуре окружающей среды разрезают на 10 образцов, размерами 145 х 50 мм. Наибольший размер должен быть перпендикулярен возможным полоскам, оставленным на местах первичным процессом формования.
Каждый образец укладывают вокруг меньшей оси так, чтобы образовалась петля без складок, которую прикрепляют к листу двумя сшивками рядом друг с другом на расстоянии от 30 до 50 мм от кромок и параллельно им, как указано на черт. 11.
Устройство для испытаний на удар оболочек водонепроницаемых подушек по п. 21.10

1 — свободно посаженная ось; 2 — смазочное отверстие; 3 — уплотнение; 4 — плечо; 5 — основание; 6 — отверстие для установочного винта; 7 — суппорт плеча; 8 — резиновый стопор; У—картон; 10— пятка; 11 — две сшивки; 12— образец, свободно свернутый (без морщин); 13 — канавка
Черт. 11
Испытательная аппаратура, указанная на черт. 9, имеет плечо квадратного сечения из катаной стали, которое вращается свободно на одном конце так, что второй конец может опускаться на стальную наковальню, на которой располагается образец. Масса плеча составляет (3,1±0,03) кг, а плечо и наковальня имеют канавку для впуска сшивок, которые прижимают образцы к листу.
При плече в открытом положении испытательную аппаратуру располагают в объеме, открывающемся сверху и имеющем температуру (—20±1) °С.
После достижения установленных условий все образцы располагают на полу холодильной камеры
петлями вверх. Образцы оставляют для охлаждения на 1ч, а затем, не удаляя их из холодильной камеры, один образец устанавливают петлей кверху на наковальне ударной аппаратуры, причем сшивки находятся в канавке, как указано на черт. 11. Необходимо обратить внимание, чтобы пластический материал не соприкасался ни с чем во время испытания.
Плечо испытательной аппаратуры, установленное под углом 85 ° к горизонтали, освобождают, оно падает на образец. Затем образец удаляют и осматривают.
Образец считают поврежденным, если он сломался на отдельные куски.
Испытание проводят на других образцах как можно быстрее.
Максимум два образца могут не удовлетворять требованиям.
21.11. Оболочка влагонепроницаемых подушек должна иметь соответствующую устойчивость от разрушения при нормальных условиях.
Для оболочек из гибких пластмасс без заполнителя соответствие проверяют испытанием по п. 21.12.
Для оболочек из прорезиненных и аналогично обработанных тканей соответствие проверяют испытаниями по пп. 21.13—21.16.
21.12. Пять образцов фольги из гибкой пластмассы без заполнителя, как указано на черт. 12, подготавливают при температуре окружающего воздуха (23±2) °С. Больший размер должен быть перпендикулярен к возможным полоскам, оставленным на листах первичным процессом формования.
Матрица для испытания прочности на разрушение по и. 21.12

1 — место приложения усилия; 2 — направление прохождения полосок; 3 — допуски размеров ±0,05, если не указаны другие
Черт. 12
Каждый образец закрепляют за короткие кромки на всей длине в держателях с аппаратуры для испытания растяжимости, причем образец и сжимающий элемент должны находиться в этой же плоскости. Аппаратуру включают, и сжимающие держатели расходятся со скоростью 50 мм/мин, пока образец не будет разрушен. Затем измеряют максимальное срывающее усилие.
Среднее арифметическое результатов испытания 5 образцов не должно быть менее 12,5 Н.
21.13. Образец из обработанной ткани диаметром приблизительно 76 мм закрепляют между двумя держателями, каждый из которых имеет диаметр не менее 76 мм и концентрическое отверстие диаметром приблизительно (26±0,7) мм. Узел держателей и образец установлены так, что давление воды можно прикладывать к тканевой стороне материала.
Применяемое давление воды, измеряемое с помощью манометра, увеличивают до появления утечки через обработанную ткань.
Это испытание проводят на 3 образцах.
Среднее арифметическое результатов трех измерений давления, при котором появляется утечка, должно быть не меньше 490 кПа, и ни один образец не должен иметь утечку при давлении меньше 410 кПа.
21.14. Три комплекта из 3 образцов, как указано в п. 21.13, подготавливают следующим образом.
Три образца первого комплекта погружают в кипящую воду на 1 ч и выдерживают в жарочном
шкафу 1000 ч при температуре (100±1) °С. После такой обработки образцы снова погружают на 1 ч в кипящую воду.
Три образца второго комплекта выдерживают в баллоне с кислородом 168 ч при давлении приблизительно 2,0 МПа и температуре (80+1) °С.
Три образца третьего комплекта выдерживают в баллоне со сжатым воздухом 20 ч при давлении приблизительно 0,55 МПа и температуре (127±1) °С.
После кондиционирования испытания по п. 21.13 проводят на каждом образце. Среднее арифметическое результатов трех измерений давления, при котором появляется утечка, должно быть для каждого комплекта из 3 образцов не менее 70 % величины, полученной при испытании по п. 21.13.
П римечание. Использование кислородного баллона представляет опасность в случае недостаточной осторожности. Специальные меры должны быть приняты для исключения риска взрыва, вызванного внезапным окислением.
(Измененная редакция, Изм. № 1).
21.15. Комплект из 3 образцов, как указано в п. 21.13, подготавливают, как предусмотрено в п. 21.14 для первого комплекта, и затем каждый образец складывают вперед и назад 10 раз.
Это испытание также проводят на трех дополнительных образцах, как указано в п. 21.13.
После испытания образцы не должны иметь трещин, жестких точек или других признаков порчи.
21.16. В случае прошитой ткани 20 образцов размером 75 х 25 мм разрезают так, чтобы шов лежал вдоль меньшей оси. Затем их делят на четыре комплекта из 5 образцов и три комплекта подготавливают, как указано в п. 21.14.
Затем все четыре комплекта образцов подвергают постепенно возрастающему усилию на разрыв, пока шов не начнет разделяться.
Средняя величина усилий, необходимых для разделения шва каждого из четырех комплектов, должна быть не менее 873 Н на 1 м длины шва.
21.17. Регулировочные устройства и переключатели подвергают ударам с помощью пружинного устройства, изображенного на черт. 13.
Устройство состоит из трех основных частей: корпуса, ударного элемента и пружинного расцепляющего конуса.
Пружинное устройство для испытаний на удар по п. 21.17
/ г з is

1 — расцепляющий конус; 2 — пружина конуса; 3 — расцепляющий стержень; 4 — пружина расцепляющего механизма;
5 — расцепляющий зажим; 6 — головка молотка; 7—пружина молотка; 8 — рукоятка молотка; i? — курок-шишка
Черт. 13
Корпус состоит из оболочки, ударного элемента, расцепляющего механизма и всех частей, жестко к нему прикрепленных. Масса этого устройства — 1250 г.
Ударный элемент состоит из головки молотка, рукоятки молотка и курка-шишки. Масса этого узла — 250 г.
Головка молотка имеет полусферическую форму радиусом 10 мм и сделана из полиамида, твердостью 100 HRC. Ее прикрепляют к рукоятке молотка таким образом, что расстояние от ее края до плоскости передней стороны конуса, когда ударный элемент находится в точке расцепления, составляет 20 мм.
Конус имеет массу 60 г, а пружина конуса такая, что она создает усилие 20 Н, когда расцепляющие зажимы находятся в точке расцепления ударного элемента.
Пружина молотка отрегулирована так, что усилие сжатия равно 1000 Нмм, причем сжатие составляет приблизительно 20 мм. При такой регулировке энергия удара равна (0,5+0,05) Нм.
Пружины расцепляющего механизма отрегулированы так, что они создают давление, достаточное только для того, чтобы удерживать расцепляющие зажимы в сцепленном положении.
Устройство взводят натяжением курка до сцепления расцепляющего зажима с канавкой в рукоятке молотка.
Удары наносят, толкая расцепляющий конус против образца в направлении, перпендикулярном поверхности в испытываемой точке.
Давление постепенно увеличивают так, чтобы конус перемещался назад, пока не соприкоснется с расцепляющими стержнями, которые затем вызывают срабатывание расцепляющего механизма и дают молотку возможность нанести удар.
Образец, как целое, жестко укрепляют против плоской поверхности и производят три удара в каждую точку оболочки, которая предполагается ослабленной.
Если необходимо, удары наносят также по ручкам, рукояткам, рычагам и т. п., а также по сигнальным лампам и их крышкам, но только если лампы или крышки выступают из оболочки более чем на 10 мм или если их площадь поверхности превышает 4 см2. Лампы внутри регулировочного органа или переключателя и их крышки испытывают только, если они могут быть повреждены при нормальной эксплуатации.
После испытания образец не должен иметь повреждений в рамках настоящего стандарта. В частности, токопроводящие части не должны быть оголены так, что это может нарушить соответствие п. 8.1, и не должно быть деформации, могущей нарушить соответствие п. 29.1.
В случае сомнения дополнительную или усиленную изоляцию подвергают испытанию на электрическую прочность, как указано в п. 16.6.
Примечания:
1. Для обеспечения жесткости образец можно поместить против массивной стены из кирпича, бетона и т. и., покрытой листом полиамида, плотно прикрепленном к стене, при этом между листом и стеной не должно быть заметного воздушного зазора. Лист должен иметь твердость 100 HRC, толщину не менее 8 мм и площадь, при которой ни одна часть образца механически не перенапряжена из-за недостаточной площади опоры.
2. Повреждение отделки, мелкие вдавливания, которые не уменьшают пути утечки и воздушные зазоры ниже значений, указанных в и. 29.1, и мелкие изъяны, которые не оказывают вредного влияния на защиту от электрического поражения или влаги, не принимают в расчет.
3. Трещины, не видимые невооруженным глазом, и поверхностные трещины в усиленных волокном формованных частях и т. и. не учитывают.
4. При наличии декоративной оболочки и расположенной под ней внутренней оболочки растрескивание декоративной оболочки не принимают в расчет, если внутренняя оболочка выдерживает испытание после удаления декоративной оболочки.
5. В случае сомнения относительно того, вызван ли дефект применением предшествующих ударов, этот дефект не принимают во внимание и серию из трех ударов, которая привела к дефекту, наносят в аналогичные места нового образца, который затем должен выдержать испытание.
6. Пружинное устройство калибруют по ГОСТ 27570.0.
21.18. Регулировочное устройство сбрасывают 100раз с высоты 40 мм на жестко установленную стальную плиту толщиной не менее 15 мм и массой не менее 15 кг.
Затем регулировочное устройство поднимают за соединительный кабель или шнур на высоту 500 мм и сбрасывают его три раза в свободном падении на пол из твердой древесины.
После испытания регулировочное устройство не должно иметь повреждений в рамках настоящего стандарта. Если регулировочное устройство еще работает, прибор должен выдержать испытания по разд. 11.
Примечание. Это испытание не проводят на регулировочных устройствах в шнуре.
21.19. Если нагревательные элементы и внутренняя проводка в гибкой части изолированы пластическим материалом, эта изоляция должна сохранять достаточную гибкость и изоляционные характеристики в течение всего срока службы прибора.
Соответствие проверяют испытаниями по п. 21.20, если пластическая изоляция превышает температуру 75 °С для приборов с автоматической регулировкой (или температуру 50 К для других приборов) в ходе испытаний по разд. 11; или температуру 135 °С для приборов с автоматической регулировкой (или температуру 110 К для других приборов) в ходе испытаний по п. 19, а также испытаниями по пп. 21.21 и 21.22.
Испытания проводят на новых образцах нагревательного элемента или внутренней проводки. Для приборов клееной конструкции образцы берут из нового прибора.
Для испытания по п. 21.20 требуется один образец длиной 3 м, для испытаний по п. 21.21 — по крайней мере 12 образцов, каждый длиной 300 мм, для испытания по п. 21.22 — 12 образцов, каждый длиной 300 мм.
21.20. Образец нагревательного элемента или внутренней проводки прикрепляют к устройству, изображенному на черт. 14. Это устройство имеет салазки С с двумя шкивами А и В, каждый из которых имеет желоб радиусом 4 мм; диаметр в основании желоба — 25 мм. Шкивы устроены так, что образец располагается горизонтально там, где он проходит между ними.
Образец растягивают на шкивах, при этом каждый конец нагружают массой 0,25 кг. Если необходимо, массу на каждом конце увеличивают ступенями по 0,1 кг, с тем чтобы обеспечить параллельность отрезков образца, выходящих из шкивов, относительно друг друга.
Сдерживающие зажимы D расположены так, что натяжение всегда обеспечивается массой в направлении, противоположном тому, в котором движутся салазки.
Салазки подвергают 25000 циклам перемещения на расстоянии 1 м с постоянной скоростью приблизительно 0,33 м/с.
К образцу подключают ток величиной не более 50 мА.
В течение испытания ток не должен прерываться.
Для РТС-нагревательных элементов мощность измеряют до и после испытания.
Измерение осуществляют с помощью нагревательного элемента, подвешенного вертикально в воздухе, к которому подведено номинальное напряжение прибора. Оба измерения проводят при температуре окружающей среды и стабилизированной мощности.
Мощность не должна возрасти.
После испытания образец погружают в соляный раствор, как указано в п. 15.1, который имеет комнатную температуру. Сопротивление изоляции измеряют, прикладывая постоянное напряжение приблизительно 500 В между проводником и соляным раствором, причем измерение проводят через 1 мин после погружения.
Сопротивление изоляции должно быть не менее 1 МОм.
Примечания:
1. Для образцов некруглого сечения форму желоба в шкиве соответственно изменяют.
2. Цикл — это два перемещения, по одному в каждом направлении.
(Измененная редакция, Изм. № 1).
Устройство для испытания на изгиб нагревательных элементов и внутренних проводов по п. 21.20
Размеры шкивов А и В 30°

А, В — шкивы; С—салазки; D — сдерживающие зажимы; 1 — звездочка ( Dср = 88,9 мм, z = 20, шаг 12,7 мм);
2 — груз массой 0,25 кг
Черт. 14
21.21. Из 12 образцов нагревательного элемента или внутренней проводки удаляют проводники, вытягивая их, или, если это невозможно, осторожно разрезая изоляцию вдоль, вынимая проводник и позволяя изоляции естественно сомкнуться.
Хомуты для испытания на разрыв по и. 21.21

Измеряют длину каждого образца изоляции.
Шесть образцов размещают свободно подвешенными в нагревательном шкафу при температуре (125+1) °С в течение 336 ч, после чего их вынимают из шкафа и дают им охладиться приблизительно до комнатной температуры.
Не менее чем через 16 ч и не более чем через 96 ч после изъятия из шкафа измеряют длину этих 6 образцов; их длина не должна быть меньше 90 % исходной длины.
Затем 50 мм длины каждого образца отмечают двумя метками (желательно в центре образца), не повреждая материал, и образцы помещают в машину для испытания на разрыв следующим образом.
Каждый конец образца прикрепляют к латунному брусу хомута, как указано на черт. 15. Образцы и хомуты помещают в машину, при этом отмеченную часть образца располагают в центре.
Хомуты разделяют с равномерной скоростью (500+50) мм/мин. В момент разрыва измеряют усилие, прикладываемое к образцу, и расстояние между метками.
Определяют удлинение и прочность на разрыв 12 образцов.
Данные, полученные от любого образца, поврежденного при усилии, отличающемся от среднего значения более чем на 10 %, и от образцов, поврежденных в пределах расстояния 15 мм от зажима, не учитывают.
Удлинение каждого из неподготовленных образцов должно быть не менее 100 %, а прочность на разрыв должна быть не менее 8,75 МПа.
Средняя величина удлинения и прочности на разрыв подготовленных образцов должна быть не менее 75 % средней величины, определенной для неподготовленных образцов.
Примечания:
1. Испытывают достаточное количество образцов, чтобы получить 12 результатов.
2. Удлинение при разрыве ( Е) в процентах рассчитывают по формуле
Е = 2( s—50), (1)
1 — неподвижный хомут; 2 — отверстие диаметром 4 мм с закругленными краями; 3 — образец;
4 — отверстие; 5 — подвижный хомут
где s — расстояние между центрами отмеченных линий при разрыве, мм.
3. Прочность на разрыв ( 7), МПа, рассчитывают по формуле
Т =
F
0,7854(D2-d2)’
(2)
Черт. 15
где F— среднее усилие при разрыве, Н;
D — исходный внешний диаметр изоляции, мм; d — исходный внутренний диаметр изоляции, мм.
21.22. Изоляцию снимают на длине 10мм на каждом конце 12 образцов нагревательного элемента или провода внутреннего соединения.
Шесть образцов наматывают в виде замкнутой спирали из 6 витков на металлический шпиндель диаметром, приблизительно равным внешнему диаметру образцов.
Затем 6 образцов на шпинделе помещают в нагревательный шкаф вместе с остальными образцами, которые подвешивают свободно. Образцы выдерживают в шкафу при температуре (125+1) °С в течение 336 ч, после чего их вынимают и дают им охладиться приблизительно до комнатной температуры.
Не менее чем через 16 ч и не более чем через 96 ч после удаления образцов из шкафа 6 образцов также наматывают на шпиндель тем же способом.
Затем 12 образцов на шпинделе погружают на 1 чв соляный раствор при комнатной температуре, как указано в п. 15.1.
После этого образцы должны выдерживать испытание на электрическую прочность, во время которого между проводниками и раствором в течение 1 мин прикладывают напряжение 1000 В и частотой 50 Гц.
Затем образцы снимают со шпинделя; они не должны иметь трещин, видимых невооруженным глазом.
21.23. РТС-нагревательные элементы должны быть стойкими к излому.
Соответствие требованию проверяют следующим испытанием.
Гибкую часть полностью опирают на кусок фанеры толщиной 20 мм. Питание к ней подводят согласно п. 11.4. Температуру нагревательного элемента измеряют по достижении установившегося режима. Блок размерами 100 х 300 мм и массой 80 кг укладывают на 5 мин на поверхность в наиболее неблагоприятном месте. После снятия блока прибор снова работает до установившегося режима, и затем измеряют температуру нагревательного элемента.
Температура нагревательного элемента в месте, где был приложен блок, не должна увеличиться более чем на 10 °С.
Примечания:
1. Края блока, примыкающие к гибкой части, следует закруглить.
2. Наиболее неблагоприятное место установки блока — место, где нагревательный элемент делает петлю и где проводники образуют между собой угол 90 °.
(Введен дополнительно, Изм. № 1).
22. КОНСТРУКЦИЯ
22.1. В отношении защиты от поражения электрическим током приборы должны быть классов 0, II или III.
Регулировочные органы должны быть класса II или III.
Соответствие проверяют осмотром и испытаниями.
22.2. Гибкая часть приборов, не принадлежащих к приборам класса III, должна иметь определенную степень защиты от влаги:
одеяла и матрацы должны быть влагостойкими,
подушки — влагостойкими или влагонепроницаемыми.
Соответствие проверяют осмотром и испытаниями.
(Измененная редакция, Изм. № 1).
22.3. Потребитель не должен иметь возможности изменять рабочую температуру гибкой части иначе, чем путем настройки регулировочного органа или переключателя в шнуре.
Соответствие проверяют осмотром.
22.4. Приборы, не относящиеся к классу III, имеющие части, в которых безопасное сверхнизкое напряжение обеспечивает необходимую степень защиты от электрического поражения, должны быть сконструированы так, чтобы изоляция между частями, работающими при безопасном сверхнизком напряжении, и другими токопроводящими частями соответствовала требованиям для двойной или усиленной изоляции.
Соответствие проверяют испытаниями, предусмотренными для двойной и усиленной изоляции.
22.5. Усиленная изоляция между токопроводящими частями и доступными металлическими частями должна использоваться только, когда явно нецелесообразно иметь отдельную основную и дополнительную изоляцию.
Соответствие проверяют осмотром.
22.6. Приборы класса II должны быть сконструированы так, чтобы пути утечки и воздушные зазоры через дополнительную или усиленную изоляцию в результате износа не могли быть ниже значений, перечисленных в и. 29.1. Они должны быть сконструированы так, чтобы в случае ослабления крепления или выпадения из нормального положения провода, винта, гайки, прокладки, шайбы, пружины или других подобных деталей они не смогли бы при нормальной эксплуатации занять такое положение, при котором пути утечки и воздушные зазоры через дополнительную или усиленную изоляцию уменьшились бы до значений менее 50 % от указанных в и. 29.1.
Соответствие проверяют осмотром, измерением и испытанием вручную.
Примечание. В рамках настоящего требования:
не допускается одновременное ослабление двух независимых креплений;
считают, что части, прикрепляемые с помощью гаек или винтов, имеющих стопорные шайбы, не могут быть ослаблены, при условии, что эти винты или гайки не нужно снимать при замене питающего шнура или другом обслуживании;
провода, соединенные пайкой, не считают достаточно прикрепленными, если не обеспечено дополнительное крепление рядом с зажимом;
провода, соединенные с зажимами, не считают надежно закрепленными, если отсутствует дополнительное
крепление рядом с зажимом, причем в случае многожильных проводов крепление должно зажимать как изоляцию, так и проводник;
считают, что короткие жесткие провода не могут выпадать из зажима, если они остаются на месте при ослаблении зажима или гайки.
22.7. Дерево, хлопок, шелк, обычная бумага и подобные волокнистые или гигроскопичные материалы не должны использоваться в качестве изоляции, если они не пропитаны.
Соответствие проверяют осмотром.
П римечание. Изоляционный материал считают пропитанным, если промежутки между волокнами материала практически заполнены соответствующим изолятором.
22.8. Неплотно спеченный керамический материал, аналогичные материалы и отдельные изоляционные кромки не должны использоваться в качестве дополнительной или усиленной изоляции.
Натуральный каучук не должен использоваться в качестве электрической изоляции в гибкой части прибора.
Части из натурального или синтетического каучука, используемого как дополнительная изоляция в регулировочных органах класса II, должны быть устойчивы против старения или должны так располагаться и иметь такие размеры, чтобы расстояния утечки не были ниже значений, указанных в п. 29.1, даже если произойдет растрескивание.
Соответствие проверяют осмотром, если необходимо идентификационным испытанием, например, испытанием на огнестойкость, измерением и, для каучука, используемого в регулировочных органах, следующим испытанием.
Части из каучука подвергают старению в атмосфере кислорода под давлением. Образцы подвешивают свободно в баллоне, полезная емкость которого должна не менее чем в 10 раз превышать объем образцов. Баллон наполняют промышленным кислородом не менее чем 97 %-ной чистоты до давления (2,1±0,07) МПа.
Образцы выдерживают в баллоне при температуре (70±1) °С в течение 96 ч. Непосредственно после этого их вынимают из баллона и оставляют при комнатной температуре, избегая воздействия прямого дневного света, по крайней мере на 16 ч.
После испытания образцы осматривают, и они не должны иметь трещин, видимых невооруженным глазом.
Примечания:
1. В случае сомнения относительно материалов, не являющихся каучуком, могут быть проведены специальные испытания.
2. Применение баллона представляет некоторую опасность при неосторожном обращении. Должны быть приняты все меры предосторожности, чтобы избежать опасности взрыва из-за внезапного окисления.
22.9. (Исключен, Изм. № 1).
22.10. Токопроводящие части и другие металлические части, коррозия которых может создать опасность, должны быть устойчивы к коррозии в нормальных условиях эксплуатации.
Соответствие проверяют, убеждаясь, что после испытаний по разд. 19 соответствующие части не имеют признаков коррозии.
П римечание. Следует обратить внимание на совместимость материалов зажимов и концов и на влияние нагрева. Нержавеющую сталь и аналогичные коррозиеустойчивые сплавы и плакированную сталь рассматривают как удовлетворяющие настоящему требованию.
22.11. Нагревательные элементы и внутренняя проводка в гибкой части приборов, не принадлежащих к III классу, должны иметь изоляцию, полученную методом экструзии.
Соответствие проверяют осмотром.
22.12. Нагревательные элементы в гибкой части должны быть непрерывными, кроме мест, где они соединены с термостатами, термическими выключателями и аналогичными устройствами.
Соответствие проверяют осмотром.
П римечание. Это требование исключает применение случайных соединений в нагревательных элементах.
22.13. Гибкая часть должна быть сконструирована так, чтобы нагревательные элементы и внутренняя проводка удерживались на своих местах.
Если нагревательный элемент уложен на отдельный слой материала, последний должен быть прочно прикреплен к оболочке так, чтобы предотвратить внутреннее морщение.
Насколько это возможно, необходимо избегать пересечения внутренних проводов друг с другом или с нагревательными элементами. Там, где такого пересечения не избежать, пересекающиеся провода должны быть закреплены так, чтобы исключить всякое перемещение одного из них по отношению к другому. Применяемая изоляция должна быть такой, чтобы она не могла повредиться при нормальной эксплуатации.
Соответствие проверяют осмотром.
П римечание. Это требование не относится к проводам цепи управления, рассеивающим менее 150 кВт на 1 м длины.
(Измененная редакция, Изм. № 1).
22.14. Разрыв шва, удерживающего нагревательные элементы на месте, не должен приводить к значительному изменению положения нагревательных элементов.
Соответствие проверяют осмотром после обрыва нити в наиболее невыгодном месте.
22.15. Регуляторы температуры и термические выключатели, содержащиеся в гибкой части прибора, должны быть полностью скрыты в изоляционном материале.
Соответствие проверяют осмотром.
22.16. Одеяла, устойчивые против морщения, должны быть сконструированы так, чтобы морщение гибкой части было маловероятным.
Соответствие проверяют следующим испытанием.
Все средства жесткости, конструкция которых не характерна для остального одеяла, удаляют.
Одеяло работает при номинальной мощности и в соответствии с условиями нормальной теплоотдачи в течение 3 ч, после чего с него снимают листы изоляционного материала и его, еще подключенное к источнику питания, укладывают на горизонтальную поверхность, располагая так, чтобы диагональ гибкой части была перпендикулярна краю поверхности.
Деревянную доску размером 7 х 1 м и толщиной 20 мм помещают на одеяло и располагают так, чтобы край доски был вровень с краем поверхности одеяла.
Затем гибкую часть и доску плавно сдвигают до тех пор, пока край доски не будет выступать за край поверхности на 300 мм.
Отклонение х в метрах свисающего угла гибкой части измеряют, как указано на черт. 16.
Затем измеряют усилие F в ньютонах, требуемое для поднятия свисающего угла до уровня нижней поверхности доски.
Измерение повторяют на других углах, за исключением угла, содержащего приборную розетку или соединительную муфту.
Устойчивость к морщению g рассчитывают по формуле g = F/x, и она не должна быть меньше 2,5 для каждого измеряемого угла.
22.17. Нижние одеяла, кроме одеял, устойчивых к морщению, с коэффициентом g более 1,2, измеренным в соответствии с п. 22.16, должны быть снабжены средствами, предохраняющими их от морщения. Все примененные для этой цели средства должны быть прочно прикреплены с таким расчетом, чтобы одеяло не морщилось в какую-нибудь сторону и не повреждалось при нормальных условиях эксплуатации. Если для этих целей применены ленты или подобное устройство, они должны располагаться так и находиться на таком расстоянии, чтобы одеяло могло быть легко и эффективно прикреплено к наибольшему матрацу, для которого оно предусмотрено; такое устройство не должно содержать шпилек и других металлических предметов.
Соответствие проверяют осмотром.
(Измененная редакция, Изм. № 1).
Положение одеяла для испытания на устойчивость к сморщиванию по и. 22.16
, 300
'///////////////////////////Л
1 — деревянная доска; 2 — горизонтальная поверхность; 3 — электрическое одеяло (размер х — в метрах; усилие F — в ньютонах)
Черт. 16
22.18. Съемные наволочки должны быть такого размера, чтобы гибкая часть лежала плоско после того, как наволочка надета.
Соответствие проверяют осмотром и ручным контролем после трехразовой стирки наволочки по инструкции изготовителя.
22.19. Регулировочные органы, предназначенные для размещения на поверхности, должны быть сконструированы так, чтобы не допустить попадания в них предметов, расположенных на поверхности, если это может представлять какую-либо опасность.
Соответствие проверяют осмотром.
П римечание. Считают, что регулировочные органы удовлетворяют этому требованию, если все токопроводящие части расположены на расстоянии не менее 6 мм от опорной поверхности, при этом расстояние измеряют через какое-либо отверстие.
22.20. Ручки, рукоятки и аналогичные устройства, которые применяют для указания положения выключателей или подобных деталей, должны быть прикреплены надежным способом, чтобы они не разбалтывались в нормальных условиях эксплуатации. Не должно быть возможным снятие их без помощи инструмента, если их неправильное расположение может представлять опасность.
Соответствие проверяют осмотром и попыткой снять ручку или аналогичное устройство, прилагая осевое усилие в течение 1 мин.
Если форма этих устройств такова, что при нормальной эксплуатации к ним может быть приложена осевая сила, то она должна быть равной 30 Н, в других случаях — 15 Н.
22.21. Составляющие элементы регулировочных органов, которые могут потребовать замены, например, выключатели и конденсаторы, должны быть соответственно прикреплены.
Соответствие проверяют осмотром и, если необходимо, ручным контролем.
Примечание. Прикрепление пайкой допускается только для мелких резисторов, конденсаторов, катушек индуктивности и аналогичных элементов, если эти элементы могут быть соответственно прикреплены собственными соединительными средствами. Допускается крепление посредством заклепок.
22.22. Регулировочные устройства для одеял и матрацев, которые автоматически переключаются с высокой на низкую теплоотдачу через заданное время, не должны автоматически восстанавливаться на высокую теплоотдачу.
Соответствие проверяют при испытании по п. 11.7.
22.23. Приборы должны иметь автоматические средства защиты против воздействия локального перегрева из-за искрения проводников гибкой части, если гибкая часть не устойчива против возгорания.
Соответствие проверяют следующим испытанием или испытанием по п. 30.1.
a) (Исключен, Изм. № 1).
b) Оголяют соответствующий отрезок проводника и снимают изоляцию проводника на длине 25 мм. Эту часть нагревательного провода сгибают радиусом 75 мм и погружают в электрически непроводящую жидкость, поддерживаемую при температуре (230±2) °С. В течение 30 с потребляемая мощность гибкой части прибора не должна превышать 1 Вт.
Проводник удаляют из жидкости непосредственно после отключения питания и, если во время охлаждения потребляемая мощность гибкой части возрастает выше 1 Вт, испытание повторяют 100 раз или до установления потребляемой мощности ниже 1 Вт, в зависимости от того, что раньше.
(Измененная редакция, Изм. № 1).
22.24. Внутри регулировочного устройства оболочка гибкого шнура должна быть использована только как дополнительная изоляция там, где она не подвергается чрезмерным механическим или термическим напряжениям и, если ее изоляционные свойства не меньше указанных в ГОСТ 7399 для оболочек гибких шнуров.
Соответствие проверяют осмотром.
22.25. Части регулировочных устройств класса II, которые служат дополнительной или усиленной изоляцией и которые могут быть пропущены при повторной сборке после обычного обслуживания, должны быть: прикреплены так, чтобы они не могли быть сняты без серьезного повреждения, или сконструированы так, чтобы они не могли быть заменены в неправильном положении и чтобы, если они пропущены, регулировочное устройство не срабатывало или было явно неполным.
Примечание. Однако на внутренней проводке в качестве дополнительной изоляции можно использовать гильзу, если она удерживается на месте надежным способом.
Соответствие проверяют осмотром и испытанием вручную.
Примечания:
1. Обычное обслуживание включает в себя замену питающих проводов, выключателей и аналогичных устройств.
2. Металлические оболочки обшивки с покрытием из лака или с другим материалом в виде покрытия, которые могут быть легко удалены соскабливанием, не рассматривают как удовлетворяющие этому требованию.
3. Считают, что гильза прикреплена надежно, если ее можно снять, только сломав или отрезав, или если она зажата с обоих концов.
22.26. Все предохранители, выходящие из строя при коротком замыкании, не должны заменяться потребителем. Они должны заменяться только с помощью специальных инструментов, обычно имеющихся у изготовителя или его представителей.
Соответствие проверяют осмотром.
22.27. Не следует применять асбест.
Соответствие проверяют осмотром.
22.28. Пледы должны иметь соответствующие тепловые свойства.
Соответствие проверяют следующим испытанием.
Плед помещают на лист изолирующего материала толщиной 2 d в соответствии с приложением С. Источник тепла, в соответствии с приложением С, помещают между изолирующим материалом и пледом. Источник тепла включают в сеть. При достижении установившегося состояния превышение температуры должно быть не более 40 °С.
22.27, 22.28. (Введены дополнительно, Изм. № 1).
23. ВНУТРЕННЯЯ ПРОВОДКА
23.1. Пазы для проводов должны быть гладкими и не иметь острых кромок.
Провода должны быть защищены так, чтобы они не соприкасались с заусенцами или подобными выступами, которые могут вызвать повреждение их изоляции.
Отверстия в металле, через которые проходят изолированные провода, должны иметь гладкие, хорошо закругленные поверхности или должны быть снабжены втулками.
Соответствие проверяют осмотром.
23.2. Внутренняя проводка и электрические соединения между различными частями прибора должны быть в достаточной степени защищены или закрыты.
Соответствие проверяют осмотром.
23.3. Изолирующие бусы и аналогичные керамические изоляторы на токоведущих проводах должны быть укреплены или поддерживаться так, чтобы они не могли изменить свое положение; они не должны опираться на острые кромки или острые углы.
Соответствие проверяют осмотром и испытанием вручную.
23.4. Провода, обозначенные комбинацией зелено-желтого цвета, не должны применяться.
Соответствие проверяют осмотром.
23.5. Алюминиевые провода не должны использоваться для внутренней проводки.
Соответствие проверяют осмотром.
23.6. Многожильные провода не должны быть усилены пайкой оловянным припоем в тех местах, где они подвержены контактному давлению, за исключением случаев, когда крепежные элементы исключают риск плохого контакта, вызванного холодной текучестью припоя.
Соответствие проверяют осмотром.
Примечания:
1. Укрепление многожильных проводов пайкой оловянным припоем допускается в случае использования пружинных зажимов; простое крепление винтами недопустимо.
2. Допускается пайка концов многожильного провода.
(Введен дополнительно, Изм. № 1).
24. КОМПЛЕКТУЮЩИЕ ИЗДЕЛИЯ
24.1. Комплектующие изделия должны соответствовать по безопасности требованиям соответствующих стандартов в такой мере, насколько это целесообразно.
Если маркировка комплектующих изделий содержит данные о рабочих характеристиках, то
условия использования их в приборе должны соответствовать этой маркировке, если нет других указаний.
Патрон серии ЕЮ должен быть сконструирован так, чтобы он мог быть пригоден для лампы с цоколем ЕЮ, соответствующим ГОСТ 28108.
Малые патроны, аналогичные патронам серии ЕЮ, должны соответствовать требованиям к патронам ЕЮ по ГОСТ 2746—90, ГОСТ 9806—90; они не обязательно должны быть пригодны для ламп с цоколем ЕЮ по ГОСТ 28108.
Если на комплектующем изделии указаны номинальные данные и оно используется в соответствии с ними, то изделие испытывают в соответствии с его номинальными данными; при этом количество образцов такое, какое требует соответствующий стандарт.
Если нет стандарта на определенное комплектующее изделие, или на комплектующем изделии не указаны номинальные данные, или условия эксплуатации комплектующего изделия в приборе не соответствуют его номинальным данным, то комплектующее изделие испытывают в соответствии с условиями его эксплуатации в приборе, число образцов выбирают в общем случае как для аналогичного изделия.
Выключатели, на которых не указаны номинальные данные, испытывают в условиях работы их в приборе следующим образом.
Измеряют значения токов и соответствующие им значения коэффициента мощности при включении прибора и работе его в условиях нормальной теплоотдачи.
Затем выключатель можно испытывать отдельно по ГОСТ 25516; ток включения и соответствующий коэффициент мощности, измеренные при включении прибора, применяют для испытания на коммутационную способность по разд. 15 ГОСТ 25516, а ток и коэффициент мощности, измеренные в условиях нормальной теплоотдачи, применяют для испытания на нормальную работу по разд. 16 ГОСТ 25516.
Примечания:
1. К регулировочным устройствам может быть применен настоящий стандарт, насколько целесообразно, вместе с приложением А.
2. Комплектующие изделия, содержащиеся в приборе, подвергают всем испытаниям настоящего стандарта как часть прибора.
3. Соответствие отдельного комплектующего изделия стандарту на это комплектующее изделие не обязательно означает соответствие требованиям настоящего стандарта.
4. Исключение, касающееся максимальной рабочей температуры выключателей и терморегуляторов, приведено в сноске *3 к табл. 3.
Автоматические управляющие устройства испытывают в соответствии с настоящим стандартом и дополнительно по пп. 11.3.5—11.3.8 и разд. 17 ГОСТ МЭК 730-1/ГОСТ Р МЭК 730-1, при этом число циклов испытаний составляет для:
терморегуляторов и регуляторов мощности — 100000;
ограничителей температуры — 1000;
термовыключателей с самовозвратом — 10000;
термовыключателей без самовозврата — 30;
реле, срабатывающих только один раз при каждом использовании прибора, — 1000;
реле, срабатывающих более одного раза при каждом использовании прибора, — 100000.
Испытания по ГОСТ МЭК 730-1/ГОСТ Р МЭК 730-1 проводят при условиях, типичных для работы прибора.
Примечания:
1. Управляющие устройства можно испытывать отдельно от прибора.
2. Автоматические управляющие устройства, удовлетворяющие требованиям ГОСТ МЭК 730-1 /ГОСТ Р МЭК 730-1 и используемые в соответствии с их маркировкой, считают удовлетворяющими требованиям настоящего стандарта (термин «маркировка» включает в себя документацию и декларацию в соответствии с ГОСТ МЭК 730-1/ГОСТ Р МЭК 730-1).
3. Испытания по разд. 17 ГОСТ МЭК 730-1/ГОСТ Р МЭК 730-1 не проводят на автоматических управляющих устройствах, которые работают в условиях разд. 11, если прибор соответствует требованиям настоящего стандарта, когда они закорочены.
4. Число циклов не относится к электронным управляющим устройствам.
(Измененная редакция, Изм. № 1).
24.2. Приборы не должны иметь:
устройств, которые в случае повреждения прибора прекращают подачу питания посредством выхода из строя предохранителя, расположенного вне прибора;
термовыключателей, которые могут быть восстановлены пайкой.
Соответствие проверяют осмотром.
24.3. Штепсельные разъемы для цепей сверхнизкого напряжения не могут заменяться на штепсели и приборные вилки, отвечающие требованиям ГОСТ 7396.0 или на соединители и приборные розетки, отвечающие требованиям ГОСТ 28190.
Соответствие проверяют осмотром и ручным контролем.
24.4. Штепсельные разъемы и другие соединительные устройства на гибких шнурах, применяемые для промежуточного соединения различных частей прибора, не должны быть взаимозаменяемые со штепселями и приборными вилками, соответствующими ГОСТ 7396.0 или с соединителями и приборными розетками, соответствующими ГОСТ 28190, если непосредственная подача питания на эти части прибора от сети может вызвать опасность для потребителя и окружающей обстановки или повредить прибор.
Соответствие проверяют осмотром и испытанием вручную.
24.5. Патроны следует использовать только для включения ламп.
Соответствие проверяют осмотром.
24.6. Сопротивления, включаемые последовательно с лампами тлеющего разряда с патроном типа ЕЮ, используемыми в качестве индикаторных, должны быть встроены в прибор.
Соответствие проверяют осмотром.
24.7. Конденсаторы не следует включать между контактами термовыключателя.
Соответствие проверяют осмотром.
24.8. Приборы, не относящиеся к классу III, должны иметь выключатель в цепи питания.
Выключатели должны иметь средства, предохраняющие их от непрерывного вращения в одном
направлении.
Выключатели и регулировочные устройства должны иметь положение «Выключено» на обоих концах рабочих блоков управления, если они не снабжены контрольной лампочкой, сигнализирующей о том, что выключатель находится в положении «Включено».
Соответствие проверяют осмотром.
24.9. (Исключен, Изм. № 1).
25. ПРИСОВДИНЕНИЕ К ИСТОЧНИКУ ПИТАНИЯ И ВНЕШНИЕ ГИБКИЕ КАБЕЛИ
И ШНУРЫ
25.1. Приборы должны быть снабжены одним из следующих средств присоединения к источнику питания:
штепсельным разъемом;
питающим шнуром.
Штепсели не должны прикрепляться к гибкой части подушек класса 0 или II.
Питающие шнуры не должны прикрепляться к гибкой части одеял, которые можно стирать.
Соответствие проверяют осмотром.
25.2. Приборы не могут быть снабжены больше чем одним кабелем питания или гибким шнуром, за исключением одеял на двухспальную кровать, которые имеют две полностью разделенные нагреваемые части.
Соответствие проверяют осмотром.
25.3. Для регулировочных устройств и выключателей в шнуре кабели питания или гибкие шнуры должны присоединяться одним из следующих типов крепления: X; Y; М; Z.
Для гибкой части несъемные гибкие шнуры должны присоединяться креплениями типа Y или Z.
Соответствие проверяют осмотром и, если необходимо, испытанием вручную.
25.4. Гибкие питающие провода или шнуры должны быть снабжены вилкой.
Вилки не должны иметь более одного гибкого шнура.
Соответствие проверяют осмотром.
25.5. Гибкие шнуры питания должны иметь характеристики не хуже, чем шнуры по ГОСТ 7399 (тип 227:52 или ШВЛ, или ШВВП).
Гибкие шнуры с изоляцией на основе натурального каучука не должны применяться.
Гибкие шнуры питания должны иметь площадь поперечного сечения не менее приведенной в табл. 6.
Таблица 6
Номинальный ток, А | Номинальная площадь поперечного сечения, мм 2 |
До 3 включ. | 0,5 |
Св. 3 до 6 включ. | 0,75 |
» 6 » 10 » | 1 |
» 10 » 16 » | 1,5 |
Концы жил гибких питающих шнуров не должны скрепляться пайкой свинцово-оловянным припоем там, где они подвержены давлению контакта, если сама конструкция зажимного устройства не исключает опасность плохого контакта из-за холодного течения припоя.
Соответствие проверяют осмотром и измерением.
П римечание. Требование, касающееся укрепления гибких шнуров питания, можно удовлетворить, используя пружинные зажимы. Применение только зажимных винтов считают недостаточным.
25.6. Для креплений типа Z литое соединение оболочки прибора и гибкого шнура не должно влиять на изоляцию шнура.
Соответствие проверяют осмотром.
25.1. Входные отверстия приборов должны иметь конструкцию и форму или снабжаться входной втулкой, которые позволяют вводить защитное покрытие питающего шнура, не опасаясь его повреждения.
Изоляция между проводником и оболочкой регулировочного устройства должна состоять из изоляции проводника и, кроме того, по крайней мере, из двух отдельных изоляций; если оболочка не состоит из изоляционного материала, в этом случае достаточна одна отдельная изоляция.
Отдельная изоляция должна состоять из оболочки питающего шнура, эквивалентного оболочке гибкого шнура, соответствующего ГОСТ 7399, или обкладки из изоляционного материала, соответствующего требованиям дополнительной изоляции, или втулки из изоляционного материала, соответствующего требованиям дополнительной изоляции в случае металлических оболочек.
Соответствие проверяют осмотром.
25.8. Входные втулки приборов должны:
иметь форму, предохраняющую от повреждения питающий шнур;
быть надежно прикреплены;
не сниматься без помощи инструмента;
не составлять одно целое (для крепления типа X) с питающим шнуром;
не быть из резины.
Соответствие проверяют осмотром и ручным контролем.
25.9. Приборы должны быть сконструированы так, чтобы шнур питания был защищен от чрезмерного скручивания в месте его входа в прибор.
Примечания:
1. Это требование применимо к выключателям в шнуре и к управляющим устройствам, встроенным в
шнур.
Соответствие проверяют следующим испытанием, проводимым на аппарате, имеющем качающийся элемент, аналогичный указанному на черт. 17.
2. Испытание не проводят, если ввод шнура гибкий.
Часть прибора, включающая входное отверстие для шнура, защитное устройство (при его наличии) и шнур питания, закрепляют на качающемся элементе так, что, когда шнур питания находится в середине своего пути, его ось в месте ввода в защитное устройство или входное отверстие вертикальна и проходит через ось качания. Главная ось сечения плоских шнуров должна быть параллельна оси качания.
Шнур нагружают так, чтобы приложенное усилие составляло:
ЮН— для шнуров с номинальной площадью сечения более 0,75 мм2 ;
5 Н — для других шнуров.
Расстояние между осью качания и местом, где шнур или защитное устройство шнура входит в прибор, как указано на черт. 17, регулируют так, что, когда качающийся элемент совершает полное колебание, шнур и груз делают минимальное боковое перемещение.
Качающийся элемент перемещают вперед и назад под углом 90° (45 ° в каждую сторону по вертикали), причем число изгибов для креплений типа Z составляет 20000, а для других типов креплений — 10000 при скорости 60 изгибов в минуту.
3. Изгиб — это одно движение назад или вперед.
После проведения половины требуемых изгибов образцы, кроме образцов с плоским шнуром, поворачивают
на 90 °.
Во время испытания через провода пропускают номинальный ток прибора при номинальном напряжении. Через сигнальные провода не пропускают ток.
При испытании не должно происходить: короткого замыкания между проводами; обрыва более чем 10 % жил одного провода; отделения провода от зажима;
ослабления защитного устройства шнура при его наличии;
повреждения с точки зрения настоящего стандарта шнура питания или защитного устройства; перфорации изоляции обломками жил провода, приводящей к тому, что последние становятся доступными.
4. Короткое замыкание между проводами шнура питания происходит, если ток достигает величины, равной двум значениям номинального тока прибора.
(Измененная редакция, Изм. № 1).
25.10. Приборы с питающим шнуром должны иметь крепление шнура, выполненное так, чтобы провода были защищены от натяжения и скручивания в местах соединения внутри прибора, а их изоляция была защищена от истирания.
Крепления шнура должны или размещаться так, чтобы они были доступны только с помощью инструмента, или конструироваться так, чтобы питающий шнур мог быть прикреплен только с помощью инструмента.
Для креплений типа X сальники не должны использоваться как крепления шнура, если они не имеют средств для зажима гибких шнуров всех типов и размеров, которые могут применяться как питающие. Технологические приемы, такие как формование, крепление шнура узлом или крепление концов пружиной, не допускаются. Лабиринты или подобные приспособления разрешаются, когда ясно, как питающий шнур должен быть смонтирован.
Для креплений типа X крепление шнура должно конструироваться или располагаться так, чтобы:
замена питающего шнура была легко осуществима; было ясно, как снять натяжение и предохранить шнур от скручивания;
они могли применяться для различных типов шнуров, которые могут быть присоединены, если прибор не сконструирован так, что может быть установлен только один тип шнура;
шнур не мог касаться зажимных винтов анкерного крепления, если эти винты доступны или электрически соединены с доступными металлическими частями;
шнур не зажимался металлическим винтом, который опирается непосредственно на гибкий шнур;
по крайней мере одна часть крепления шнура была надежно прикреплена к прибору;
винты, если они имеются, которые используют при замене шнура, не служили для прикрепления какой-либо другой детали, или если они были забыты при сборке или неправильно установлены, не выводили прибор из строя или не делали его заметно неукомплектованным, или если части, предназначенные для прикрепления ими, не могут быть сняты без помощи инструмента при замене шнура;
в случае сальников, шнур не мог ослабляться при их последующем подтягивании; в случае регулировочных устройств класса II, они были выполнены из изоляционного материала, а если они из металла, то их следует изолировать от доступных металлических частей изоляцией, соответствующей требованиям для дополнительной изоляции.
Для крепления типов М, Yn Z жилы питающего шнура должны быть изолированы от доступных металлических частей изоляцией, соответствующей требованиям к основной изоляции для приборов класса II, удовлетворяющей требованиям к дополнительной изоляции.
Аппарат для испытания на изгиб по п. 25.9

1 — противовес; 2 — образец; 3 — устройство крепления образца; 4 — регулируемый кронштейн; 5—груз; 6 — качающаяся рама; 7— ось качания
Черт. 17
Эта изоляция должна состоять из:
отдельной изолирующей оболочки, прикрепляемой к узлу крепления, или специальной гильзы или прокладочного кольца, прикрепленных к шнуру; оболочки шнура для приборов класса 0.
Для крепления типов М и Y крепления шнура должны конструироваться так, чтобы: замена питающего шнура не нарушала соответствия требованиям настоящего стандарта; шнур не мог касаться зажимных винтов крепления шнура, если эти винты доступны или электрически соединены с доступными металлическими частями;
шнур не зажимался металлическим винтом, который располагается непосредственно на шнуре; узлы в шнуре не образовывались;
в случае лабиринтов и подобных приспособлений было ясно, как питающий шнур должен устанавливаться;
для креплений типа М было ясно, как обеспечить снятие натяжения и защиту от скручивания. Соответствие проверяют:
для регулировочных органов и шнуровых выключателей — осмотром и испытаниями по п. 25.11; для гибкой части — испытанием по п. 25.12.
Примечания:
1. Если для креплений типа X крепление шнура состоит из одного или более зажимных элементов, к которым прикладывают давление посредством одной или более гаек, свинчивающихся с болтами, надежно прикрепленными к прибору, считают, что такое крепление шнура имеет одну часть, надежно прикрепленную к прибору, даже если зажимные элементы могут быть сняты с болтов.
2. Однако, если давление на зажимные элементы прикладывают посредством одного или более винтов, свинчивающихся с отдельными гайками или с резьбой в части, составляющей одно целое с регулировочным устройством, считают, что крепление шнура не имеет одной части, надежно прикрепленной к прибору, если хотя бы один из зажимных элементов не прикреплен к прибору или поверхность прибора не из изоляционного материала и не сконструирована таким образом, когда ясно, что эта поверхность является одним из зажимных элементов (см. черт. 18).
25.11. Для креплений типа X прибор оснащают соответствующим питающим шнуром. Провода вставляют в зажимы, при этом зажимные винты, если имеются, затягивают лишь настолько, чтобы предохранить провода от легкого изменения положения. Шнур крепят обычным способом, причем зажимные винты затягивают с крутящим моментом, равным двум третям величины, указанной в п. 28.1.
Винты из изоляционного материала, опирающиеся прямо на шнур, закрепляют двумя третями крутящего момента, приведенного в графе 1 табл. 12, причем длину шлица в головке винта принимают за номинальный диаметр винта.
Сначала испытания проводят с возможно наиболее легким типом шнура наименьшей площади сечения, указанной в п. 26.2, и затем со следующим наиболее тяжелым типом шнура наибольшей указанной площади сечения, если прибор не сконструирован так, что может иметь только один тип шнура.
Для других креплений испытание проводят с поставляемым вместе с прибором шнуром.
Не допускается возможность проталкивания шнура внутрь прибора до такой степени, что это может вызвать повреждение шнура, внутренних частей регулировочного органа или шнурового выключателя.
Примеры крепления шнура (допустимые конструкции)


Шпильки, жестко закрепленные на приборе


Часть прибора выполнена из Один из крепежных элементов изоляционного материала и закреплен на приборе имеет такую форму, что она является частью зажимного устройства шнура
Недопустимые конструкции


Винты, проходящие через отверстия с резьбой в приборе (или винты, проходящие через пустые отверстия в приборе и прикрепляемые гайками), равно неприемлемы.
Черт. 18
Затем шнур подвергают 25 раз натяжению, величина которого приведена в табл. 7. Шнур натягивают в наименее выгодном направлении без рывков, каждое натяжение должно длиться 1 с.
Непосредственно после этого шнур подвергают в течение 1 мин воздействию крутящего момента, величина которого приведена в табл. 7.
Таблица 7
Тип регулировочного органа | Натяжение, Н | Крутящий момент, Нм |
Регулировочные устройства и выключатели в шнуре | 100 | 0,1 |
Другие регулировочные устройства массой, кг: до 1 | 30 | 0,1 |
св. 1 до 4 включ. | 60 | 0,25 |
» 4 | 100 | 0,35 |
При испытаниях шнур не должен повреждаться.
После испытаний шнур не должен иметь продольного смещения более чем на 2 мм, а провода не должны быть смещены на расстояние более 1 мм в зажимах, и не должно быть заметного напряжения в соединениях.
Пути утечки и воздушные зазоры не должны быть меньше величин, указанных в п. 29.1.
Для измерения продольного смещения, перед началом испытаний, делают отметку на шнуре, находящемся в натянутом состоянии, на расстоянии приблизительно 20 мм от места крепления шнура или в другой подходящей точке.
После испытаний измеряют смещение отметки на шнуре относительно крепления шнура, находящегося в натянутом состоянии.
(Измененная редакция, Изм. № 1).
25.12. Оболочку гибкой части прочно удерживают зажимами, которые захватывают всю длину края прибора, противоположного тому, через который входит питающий шнур. Если шнур входит на углу, зажимы захватывают всю длину обоих краев, примыкающих к противоположному углу.
Затем постепенно прикладывают усилие величиной 100 Н к шнуру или, если нагревательный элемент выходит из гибкой части через втулочное соединение, — к гильзе соединителя в точке на расстоянии около 30 см от входа в прибор или, если на этом расстоянии находится выключатель, настолько близко к нему, насколько позволяет шнур.
Усилие поддерживают в течение 1 мин, а затем шнур или гильзу освобождают.
Усилие прикладывают три раза подряд. Затем немедленно шнур подвергают в течение 1 мин воздействию крутящего момента 0,35 Нм.
После испытания оттяжка шнура, соединители и электрические соединения не должны иметь механических повреждений, не предусмотренных настоящим стандартом.
Если гибкая часть снабжена штепсельным разъемом, испытание проводят с ним в заблокированном положении.
Примечание. Если гибкую часть поставляют с приборным вводом, испытание проводят с приборным соединителем, установленным в обычное место.
25.13. В случае креплений типов X, М и Y отсек для соединения питающего шнура внутри регулировочного устройства должен быть таким, чтобы:
возможно было проверить перед установкой крышки, что провода соединены и расположены правильно;
крышки можно было устанавливать без риска повреждения проводов или их изоляции;
неизолированный конец провода, в случае его отхождения от зажима, не мог соприкасаться с доступными металлическими частями, если для крепления типов М и Y шнур не снабжен зажимами, которые не позволяют проводу отойти.
Кроме того, для креплений типа X и М:
провода можно было легко вставлять и соединять;
крышки, обеспечивающие доступ к зажимам, не требовали применения специального инструмента для их снятия.
Соответствие проверяют осмотром и, для креплений типа X, следующим испытанием с гибкими шнурами наибольшего поперечного сечения, указанного в п. 26.2.
Для колонковых зажимов, где провода не соединяются отдельно на расстоянии 30 мм или меньше от зажима, и для других зажимов с винтовыми соединениями зажимные винты или гайки ослабляют по очереди. Не вынимая провода с места его расположения, к нему прикладывают усилие 2 Н в любом направлении и впритык к зажиму — винту или штифту. После этого неизолированный конец провода не должен соприкасаться с доступными металлическими частями.
Примечания:
1. Для колонковых зажимов, где провода соединяются отдельно на расстоянии 30 мм или меньше от зажима, считают, что прибор отвечает требованию, по которому неизолированный конец провода не должен соприкасаться с доступными металлическими частями.
2. Провода могут быть зажаты отдельно, например, креплением шнура.
25.14. Соединительные шнуры и их средства соединения должны отвечать требованиям этого пункта, за исключением того, что поперечное сечение проводов определяют на основе максимального тока, проходящего по проводу при испытании по разд. 11, а не номинального тока прибора. Соединительные шнуры для одеял и матрацев не обязательно снабжать защитными оболочками.
Если соединительный шнур имеет более двух жил, плотность тока для любой отдельной жилы не должна превышать 12 А/мм2, а сумма площадей поперечного сечения должна быть не менее 1 мм2.
Если используют гибкие шнуры, не установленные в ГОСТ 7399, их электрические и механические свойства должны, по крайней мере, соответствовать ГОСТ 7399.
Соответствие проверяют осмотром, измерением и, если необходимо, например, испытанием на электрическую прочность по п. 16.6 настоящего стандарта и испытаниями по ГОСТ 7399.
Примечания:
1. Жилы сигнальных проводов могут иметь уменьшенную толщину изоляции, в зависимости от напряжения цепи, в которой применяется конкретный провод.
2. Это требование не применяют там, где соединительный шнур состоит из нагревательного элемента, встроенного в гильзу.
25.13, 25.14. (Измененная редакция, Изм. № 1).
26. ЗАЖИМЫ ДЛЯ ВНЕШНИХ ПРОВОДОВ
26.1. Приборы, кроме приборов с креплением типа X или М, должны иметь зажимы, в которых соединение осуществляется при помощи винтов, гаек и т. и. средств.
Винты и гайки для зажима внешних проводов должны иметь метрическую резьбу ИСО или резьбу с подобными резьбе ИСО шагом и механической прочностью. Они не должны служить для крепления других элементов, за исключением внутренних проводов, если эти провода расположены так, что они не могут смещаться при подсоединении питающих проводов.
В приборах с креплением типов X и М, номинальная потребляемая мощность которых не превышает 250 Вт, для присоединения внешних проводов могут быть использованы соединения пайкой при условии, что провод расположен или закреплен так, что фиксация его в определенном положении зависит не только от одной пайки, и если перегородки не выполнены так, чтобы при отсоединении провода в месте пайки пути утечки и воздушные зазоры между токоведущими частями и другими металлическими частями не могли стать меньше 50 % значений, указанных в и. 29.1.
Для крепления типов Y и Z для присоединения внешних проводов могут быть использованы соединения сваркой, пайкой, обжимные и т. и. соединения, у приборов класса II провод должен быть расположен или закреплен так, чтобы фиксация его в определенном положении зависела не только от пайки, обжима или сварки если перегородки выполнены не так, чтобы при отсоединении провода в месте пайки или сварки или выскальзывания его из обжимного соединения пути утечки и воздушные зазоры между токоведущими частями и другими металлическими частями не могли стать меньше 50 % значений, указанных в и. 29.1.
Примечания:
1. Для шнуров питания:
два независимых крепления не должны ослабляться одновременно;
провода, присоединенные пайкой, не считают достаточно закрепленными, если они не поддерживаются вблизи окончания независимо от пайки. Однако закрепление «скобой» перед местом пайки рассматривают как подходящий способ поддержания проводов шнура питания (кроме многожильного кабеля повышенной гибкости) в необходимом положении при условии, что отверстие, через которое проходит провод, не является чрезмерно большим;
провода, присоединенные к зажиму или окончанию другими средствами, не считают достаточно закрепленными, если рядом с зажимом или окончанием нет дополнительного крепления; в случае многожильных проводов это дополнительное крепление должно прижимать как изоляцию, так и провод.
2. Зажимы комплектующих (например, выключателя), встроенных в прибор, при условии, что они полностью соответствуют требованиям настоящего раздела, могут быть использованы в качестве зажимов для внешних проводов.
3. Требования к безвинтовым зажимам — по ГОСТ 25030.
26.2. Зажимы для креплений типа X должны допускать присоединение проводов с номинальным поперечным сечением в соответствии с табл. 8, за исключением случаев, когда прибор сконструирован таким образом, что допускает использование только одного типа шнура. При этом его зажимы должны подходить для этого типа шнура.
Таблица 8
Номинальный ток, А | Номинальное поперечное сечение, мм 2 |
До 3 включ. | 0,5-0,75 |
Св. 3 до 6 включ. | 0,75-1,0 |
» 6 » 10 » | 1,0-1,5 |
» 10 » 16 » | 1,5-2,5 |
Соответствие требованиям пп. 26.1 и 26.2 проверяют осмотром, измерением и подсоединением шнуров с наименьшей и наибольшей из указанных площадей поперечного сечения.
(Измененная редакция, Изм. № 1).
26.3. Зажимы для креплений типов М, Y и Z должны соответствовать своему назначению.
Соответствие проверяют осмотром и натяжением соединения с усилием 5 Н.
После испытания соединения не должны иметь повреждений, не предусмотренных настоящим стандартом.
26.4. Зажимы приборов с креплением типа X или М должны крепиться так, чтобы при затягивании или ослаблении зажимных устройств зажим не ослаблялся, внутренняя проводка не подвергалась напряжению, а пути утечки и воздушные зазоры не уменьшались до значений меньших, чем указано в и. 29.1.
Соответствие проверяют осмотром и измерением после 10-кратного затягивания и ослабления провода с наибольшей площадью поперечного сечения, указанной в п. 26.2; при этом прикладывают крутящий момент, равный 2/3 момента, указанного в п. 28.1.
Примечания:
1. Зажимы можно предохранить от ослабления, если они закреплены двумя винтами или одним винтом в углублении без заметного зазора либо другими подходящими способами.
2. Покрытие заливочной массой без других фиксирующих средств считают недостаточным. Однако самотвердеющие смолы можно использовать для фиксации зажимов, которые при нормальной эксплуатации не подвергают кручению.
26.5. Зажимы блоков управления с креплением типа X или М должны быть сконструированы так, чтобы провод был зажат между металлическими поверхностями и достаточным контактным давлением, но без повреждения провода.
Соответствие требованию проверяют осмотром.
26.6. Зажимы блоков управления с креплением типа X или М требуют специальной подготовки провода для выполнения правильного присоединения его и должны быть сконструированы или расположены так, чтобы провод не мог выскользнуть при затягивании зажимных винтов или гаек.
Соответствие требованию проверяют осмотром.
Примечания:
1. Под термином «специальная подготовка провода» подразумевают пропайку жил, использование кабельных наконечников, образование петель и т. д., но не скручивание многожильного провода для уплотнения конца.
2. Провода считают поврежденными, если на них имеются глубокие или острые вмятины.
26.7. Зажимы колонкового типа должны иметь размеры, указанные в табл. 9, за исключением того, что длина резьбы в колонке может быть уменьшена при условии, что механическая прочность является достаточной и, по крайней мере, два полных витка резьбы находятся в зацеплении, когда провод с наименьшей площадью поперечного сечения, указанной в и. 26.2, плотно зажат.
Таблица 9
Максимальная | ||||
Номинальный ток | Минимальный | Минимальный | Минимальная длина | разница между |
прибора, А | номинальный диаметр резьбы, мм | диаметр отверстия для провода, мм | резьбы в колонке, мм | диаметром отверстия и номинальным диаметром резьбы, мм |
До 10 включ. | 3,0 | 3,0 | 2,0 | 0,6 |
Св. 10 до 16 включ. | 3,5 | 3,5 | 2,5 | 0,6 |
Длина резьбы винта зажима должна быть не менее суммы диаметра отверстия для провода и длины резьбы в колонке.
Поверхность, к которой прижимают провод, не должна иметь острых вмятин или выступов.
Зажимы должны быть сконструированы и расположены так, чтобы конец провода, введенного в отверстие, был виден или мог проходить за пределы отверстия с резьбой на расстояние, равное, по крайней мере, половине номинального диаметра винта или на расстояние 2,5 мм в зависимости от того, что больше.
Примечания:
1. Длину резьбы в колонке измеряют до точки, где резьба впервые прерывается отверстием для провода.
2. Если резьба в колонке утоплена, то длина винтов с головкой должна быть соответственно увеличена.
3. Часть, к которой прижимают провод, необязательно должна составлять единое целое с частью, несущей зажимной винт.
26.8. Винтовые зажимы должны иметь размеры не менее указанных в табл. 10, за исключением того, что длина резьбы в отверстии под винт или в гайке и длина резьбы на винте могут быть уменьшены при условии, что механическая прочность является достаточной и, по крайней мере, два полных витка резьбы находятся в зацеплении, когда провод с наибольшей площадью поперечного сечения, указанной в п. 26.2, слабо зажат.
Таблица 10
Номинальная | |||||
Длина резьбы в | разница между | ||||
Номинальный ток прибора, А | диаметр резьбы, мм | Длина резьбы на винте, мм | отверстии под винт или гайке, мм | диаметром головки и хвостовика винта, мм | Высота головки винта, мм |
До 10 включ. | 3,0 | 3,5 | 1,5 | 3,0 | 1,8 |
Св. 10 до 16 включ. | 4,0 | 5,5 | 2,5 | 4,0 | 2,4 |
Если требуемую длину резьбы в отверстии под винт зажима получают выдавливанием, то край резьбы должен быть достаточно гладким и длина резьбы должна превышать указанное минимальное значение, по крайней мере, на 0,5 мм. Длина выдавливания не должна быть более 80 % первоначальной толщины металла, если механическая прочность недостаточна при большей длине.
Если между головкой винта и проводом находится какая-либо промежуточная деталь, например, прижимная пластина, то длина резьбы на винте должна быть соответственно увеличена, но диаметр головки винта может быть уменьшен на 1 мм.
Если промежуточная деталь имеет более одного винта, то могут быть использованы винты с номинальным диаметром резьбы 3,5 мм для приборов с номинальным током, превышающим 10 А.
Примечание. Если резьба в отверстии под винт или в гайке утоплена, то длина винтов с головкой должна быть соответственно увеличена.
26.9. Зажимы под болт должны быть снабжены шайбами и иметь размеры, указанные в табл. 11.
Таблица 11
Разница между диаметром резьбы и | |||
Номинальный ток прибора, А | Минимальный номинальный | ||
диаметр резьбы, мм | внутренним диаметром шайб | внешним диаметром шайб | |
(максимальным), мм | (минимальным), мм | ||
До 10 включ. | 3,0 | 0,4 | 4,0 |
Св. 10 до 16 включ. | 3,5 | 0,4 | 4,5 |
Соответствие требованиям пп. 26.7—26.9 проверяют осмотром, измерением и, при необходимости, испытаниями по п. 26.10. Для номинального диаметра резьбы и для номинальной разницы между диаметром головки и хвостовика винта допускается отклонение (минус) 0,15 мм.
Примечание. Если один или несколько размеров, регламентируемых в пп. 26.7—26.9, превышают установленные, то остальные необязательно соответственно увеличивать, при этом отклонения от установленных размеров не должны нарушать функции зажима.
26.10. Если длина резьбы в колонке, в отверстии под винт или гайке или длина резьбы на винте
меньше, чем указано в табл. 9—11, или если длина выдавливания больше чем 80 % первоначальной толщины металла, то механическую прочность зажима проверяют следующим испытанием.
Винты и гайки подвергают испытанию по п. 28.1, но с крутящим моментом в 1,2 раза больше указанного.
После этого испытания зажим не должен иметь повреждений, препятствующих его дальнейшему использованию.
Затем провод вновь зажимают, как указано в п. 26.4, и подвергают его в течение 1 мин натяжению в аксиальном направлении без рывков. Прилагаемое усилие составляет 40 Н, если номинальный ток зажима не более 6 А, и 50 Н, если номинальный ток превышает 6 А.
При испытании провод не должен заметно смещаться в зажиме.
26.11. Для приборов с креплением типов X и М зажимы должны быть расположены рядом друг с другом.
Соответствие требованию проверяют осмотром.
26.12. Зажимные устройства не должны быть доступны без помощи инструмента, даже если токоведущие части недоступны.
Соответствие требованию проверяют осмотром и испытанием вручную.
26.13. Зажимы приборов с креплением типа X должны быть расположены или защищены так, что если при присоединении многожильного провода к зажиму одна из проволок его остается свободной, не возникла опасность случайного контакта между токоведущими частями и доступными металлическими частями и, для приборов класса II, между токоведущими частями и металлическими частями, отделенными от доступных металлических частей только дополнительной изоляцией.
Соответствие требованию проверяют следующим испытанием.
С конца гибкого провода, имеющего номинальную площадь поперечного сечения, указанную в п. 25.6, удаляют изоляцию на длине 8 мм. Одну жилу многожильного провода оставляют свободной, а другие жилы полностью вводят в зажим и зажимают.
Свободную проволоку изгибают во всех возможных направлениях, но без резких изгибов вокруг перегородок и не задирая назад изоляции.
27. ЗАЩИТНОЕ ЗАЗЕМЛЕНИЕ
27.1. Приборы не должны иметь защитных заземлений.
Соответствие проверяют осмотром.
28. ВИНТЫ И СОВДИНЕНИЯ
28.1. Винтовые соединения, электрические или другие, должны выдерживать механические напряжения, которые возникают при нормальной эксплуатации прибора.
Винты, которые будут подтягиваться потребителем и имеющие диаметр менее 3 мм, и винты, создающие контактное давление для электрических соединений, должны ввинчиваться в металл.
Винты не должны быть изготовлены из мягкого металла или металла, склонного к текучести, такого как цинк или алюминий.
Винты из изоляционного материала должны иметь номинальный диаметр не менее 3 мм; они не должны использоваться для электрических соединений.
Винты не должны быть изготовлены из изоляционного материала, если их замена металлическим винтом может повредить дополнительную или усиленную изоляцию, как и винты, которые могут быть удалены при замене шнура питания или при проведении текущего ремонта, если их замена металлическим винтом может повредить основную изоляцию.
Соответствие проверяют осмотром, а для винтов и гаек, которые передают контактное давление или которые вероятно будут подтягиваться потребителем, следующим испытанием.
Винты или гайки затягивают или ослабляют:
10 раз — для винтов, завинчиваемых в изоляционный материал;
5 раз — для гаек и других винтов.
Винты, завинчиваемые в изоляционный материал, каждый раз полностью вывинчивают и завинчивают вновь.
При испытании зажимных винтов и гаек гибкий провод с наибольшей площадью поперечного сечения, указанной в п. 26.2, помещают в зажим.
Испытание проводят с помощью соответствующей испытательной отвертки или гаечного ключа с приложением крутящего момента, указанного в табл. 12, в графах:
1 — для металлических винтов без головки, которые после полного завинчивания не выступают из отверстий;
2 — для других металлических винтов и гаек;
для винтов из изоляционного материала:
с шестигранной головкой, расстояние между противоположными гранями которой превышает внешний диаметр резьбы, или
с цилиндрической головкой и гнездом под ключ, расстояние между противоположными вершинами которого превышает внешний диаметр резьбы, или
с головкой, имеющей прямой или крестообразный шлиц, длина которого в 1,5 раза превышает внешний диаметр резьбы;
3 — для других винтов из изоляционного материала.
Таблица 12
Номинальный диаметр винта, мм | Крутящий момент, Н м | ||
1 | 2 | 3 | |
До 2,8 включ, | 0,2 | 0,4 | 0,4 |
Св. 2,8 до 3,0 включ. | 0,25 | 0,5 | 0,5 |
» 3,0 » 3,2 » | 0,3 | 0,6 | 0,6 |
» 3,2 » 3,6 » | 0,4 | 0,8 | 0,6 |
» 3,6 » 4,1 » | 0,7 | 1,2 | 0,6 |
» 4,1 » 4,7 » | 0,8 | 1,8 | 0,9 |
» 4,7 » 5,3 » | 0,8 | 2,0 | 1,0 |
» 5,3 | — | 2,5 | 1,25 |
Провод смещают в зажиме каждый раз, когда винт или гайку ослабляют.
Во время испытаний не должно быть повреждений, препятствующих дальнейшему использованию винтовых соединений.
Примечания:
1. К винтам или гайкам, которые вероятно будут подтягиваться потребителем, относят также винты, используемые при замене шнура питания.
2. Винты из листового материала с резьбой диаметром 2,9 мм считают эквивалентными винтами с метрической резьбой диаметром 3 мм.
3. Форма лезвия испытательной отвертки должна соответствовать головке винта, подвергаемого испытанию. Винты и гайки следует завинчивать без рывков.
4. Для винтов, предназначенных под резьбу из изоляционного материала, которые пользователь, вероятно, будет подтягивать, значение крутящего момента следует увеличить на 20 %.
28.2. Винты, завинчиваемые в резьбу изоляционного материала, которые будут подтягиваться потребителем, должны иметь достаточную длину зацепления для обеспечения надежного соединения.
Должно быть обеспечено правильное введение винта в отверстие под винт или гайку.
Соответствие проверяют осмотром и испытанием по п. 28.1, при этом крутящий момент должен быть в 1,2 раза больше указанной величины.
Примечание. Требование, касающееся правильного введения винта, считают выполненным, если предотвращено введение винта наискось, например, путем направления хода винта подлежащей частью, с помощью углубления во внутренней резьбе или применением винта с удаленными начальными витками резьбы.
28.1, 28.2. (Измененная редакция, Изм. № 1).
28.3. Электрические соединения, кроме соединений, идущих к нагревательному элементу, должны быть сконструированы так, чтобы контактное давление не передавалось через изоляционный материал, который имеет тенденцию к образованию складок или деформации, кроме случаев, когда металлические части обладают достаточной упругостью, чтобы скомпенсировать возможное образование складок или деформацию изоляционного материала.
Соответствие проверяют осмотром.
П римечание. Керамический материал не имеет тенденции к усадке и деформации.
28.4. Винты с крупным шагом (из листового металла) не следует использовать для соединения токоведущих частей, если части не находятся в непосредственном контакте друг с другом и если винты не заблокированы соответствующим образом.
Самонарезающие винты не следует использовать для электрического соединения между токоведущими частями, если они не образуют полную резьбу стандартного крепежного винта. Такие винты (кроме винтов, резьба которых образуется высадкой в штампе) не допускается использовать, если предполагается, что потребитель или сборщик будет ими манипулировать.
Соответствие проверяют осмотром.
28.5. Винты, предназначенные для механического соединения различных частей прибора, должны быть фиксированы против развинчивания, если это соединение является одновременно токопроводящим.
Заклепки, используемые для токопроводящих соединений, должны быть фиксированы против ослабления, если эти соединения подвергаются крутящему моменту при нормальной эксплуатации.
Соответствие требованию проверяют осмотром и испытанием вручную.
Примечания:
1. Пружинные шайбы и аналогичные устройства могут обеспечивать достаточную фиксацию.
2. Для заклепок некруглая форма стержня или соответствующий паз являются достаточными.
Заливочная масса, которая размягчается при нагреве, обеспечивает достаточную фиксацию против
развинчивания только для тех винтовых соединений, которые не подвергаются крутящему моменту при нормальной эксплуатации.
29. ПУТИ УТЕЧКИ ТОКА, ВОЗДУШНЫЕ ЗАЗОРЫ И РАССТОЯНИЯ ПО ИЗОЛЯЦИИ
29.1. Пути утечки и воздушные зазоры не должны быть меньше значений, указанных в табл. 13.
Соответствие требованию проверяют измерением.
Для приборов, снабженных приборным вводом, измерения проводят с вмонтированным в приборный ввод соответствующим соединителем; для приборов с креплением типа X измерения проводят с проводами наибольшей площадью поперечного сечения, указанной в п. 26.2, а также без проводов; для других приборов измерения проводят в состоянии их поставки.
Подвижные части помещают в наиболее неблагоприятное положение; гайки и винты с некруглой головкой затягивают так, чтобы они занимали наиболее неблагоприятное положение.
Воздушные зазоры между зажимами и доступными металлическими частями измеряют также при вывинченных насколько возможно винтах или гайках; при этом воздушные зазоры должны быть не менее 50 % значений, указанных в табл. 13.
Расстояния через пазы или отверстия в наружных частях изоляционного материала измеряют до металлической фольги, соприкасающейся с доступной поверхностью; фольга вталкивается в углы и подобные места стандартным испытательным пальцем (см. черт. 1), но не вдавливается в отверстия.
При необходимости во время измерения прикладывают силу к любой точке оголенных проводов и к внешней стороне металлических кожухов, пытаясь уменьшить пути утечки и воздушные зазоры.
Усилие прикладывают посредством испытательного пальца (см. черт. 1), а значение этого усилия составляет:
2 Н — для оголенных проводов;
30 Н — для кожухов.
Примечания:
1. Способ измерения путей утечки и воздушных зазоров указан в приложении Е.
2. При наличии промежуточной перегородки воздушные зазоры измеряют через перегородку или, если перегородка состоит из двух частей с сопряженными поверхностями, не склеенными между собой, — через соединение этих частей; в последнем случае пути утечки также измеряют через соединение этих частей.
3. При оценке путей утечки и воздушных зазоров учитывают влияние изоляционных обшивок металлических кожухов или чехлов.
4. Внутренние провода блоков управления считают голыми, если их изоляция не выдерживает испытания на электрическую прочность, проводимого между проводом и металлической фольгой, обернутой вокруг изоляции, при этом прикладывают испытательное напряжение 2000 В в течение 15 мин.
Значения путей утечки тока (П) и воздушных зазоров (В) для приборов | ||||||
для других приборов | ||||||
Место измерения путей утечки тока и воздушных зазоров | класса III | Рабочее напряжение, В | ||||
до 130 включ. | св. 130 до 250 включ. | |||||
П | В | П | В | П | В | |
1 | 2 | 3 | 4 | 5 | 6 | 7 |
Между токоведущими частями различной полярности*: для РТС-нагревательных элементов, включая их соединительные провода, если они защищены от загрязнения | 1,0 | 1,0 | 1,0 | 1,0 | ||
защищенными от осаждения грязи** | 1,0 | 1,0 | 1,0 | 1,0 | 2,0 | 2,0 |
не защищенными от осаждения грязи | 2,0 | 1,5 | 2,0 | 1,5 | 3,0 | 2,5 |
если обмотки покрыты лаком или эмалью | 1,0 | 1,0 | 1,5 | 1,5 | 2,0 | 2,0 |
Между токоведущими и другими металлическими частями по основной изоляции: защищенной от осаждения грязи** выполненной из керамики, чистой слюды и т. и. | 1,0 | 1,0 | 1,0 | 1,0 | 2 5*** | 2 5*** |
выполненной из другого материала | 1,5 | 1,0 | 1,5 | 1,0 | 3,0 | 2,5 |
не защищенной от осаждения грязи | 2,0 | 1,5 | 2,0 | 1,5 | 4,0 | 3,0 |
если токоведущими частями являются обмотки, покрытые лаком или эмалью | 1,0 | 1,0 | 1,5 | 1,5 | 2,0 | 2,0 |
Между токоведущими и другими металлическими частями по усиленной изоляции: если токоведущими частями являются обмотки, покрытые лаком или эмалью | 6,0 | 6,0 | 6,0 | 6,0 | ||
для других токоведущих частей | _ | _ | 8,0 | 8,0 | 8,0 | 8,0 |
Между металлическими частями, разделенными дополнительной изоляцией | 4,0 | 4,0 | 4,0 | 4,0 |
* Указанные расстояния не распространяются на воздушные зазоры между контактами терморегуляторов, микропереключателей и аналогичных устройств или на воздушные зазоры между токоведущими элементами таких устройств, воздушные зазоры которых изменяются при перемещении контактов.
** Внутреннюю часть прибора, имеющую достаточно пылезащитный кожух, считают защищенной от осаждения грязи при условии, что при работе прибора в нем самом не образуется пыль. При этом герметичное уплотнение не требуется.
*** Если части являются жесткими или запрессованными, или если конструкция исключает возможность уменьшения расстояния вследствии деформации или перемещения этих частей, указанное значение может быть уменьшено до 2,0 мм.
Для токоведущих частей различной полярности, разделенных только основной изоляцией, допускаются пути утечки и воздушные зазоры меньше значений, указанных в табл. 13, при условии, что прибор не будет иметь никаких повреждений в соответствии с требованиями настоящего стандарта при последовательном замыкании накоротко этих путей и воздушных зазоров и что путь утечки будет проходить по изоляционному материалу, выдерживающему испытание по и. 30.7.
29.2. Для блоков управления и переключателей в шнуре расстояние через изоляцию между металлическими частями для рабочих напряжений до 250 В включ. не должно быть менее:
1.0 мм, если эти части разделены дополнительной изоляцией;
2.0 мм, если эти части разделены усиленной изоляцией.
Это требование не распространяется на изоляцию, за исключением слюды или аналогичного чешуйчатого материала, которые имеют вид тонкого листа и состоят:
в случае дополнительной изоляции — не менее чем из двух слоев при условии, что хотя бы один из них выдерживает испытание на электрическую прочность, установленное для дополнительной изоляции;
в случае усиленной изоляции — не менее чем из трех слоев при условии, что два из них, приложенные друг к другу, выдерживают испытание на электрическую прочность, установленное для усиленной изоляции.
Испытательное напряжение прикладывают при этом между внешними поверхностями испытуемого слоя (или испытуемых слоев).
Кроме того, данное требование не применяют, если дополнительная или усиленная изоляция недоступна и отвечает одному из следующих условий:
максимальное увеличение температуры, определенное при испытаниях по разд. 19, не превышает допустимого значения, указанного в п. 11.6;
изоляция, после выдерживания в течение 168 ч в сушильной печи при температуре, на 50 °С превышающей максимальное увеличение температуры, определенное в ходе испытаний по разделу 19, выдерживает испытание на электрическую прочность по п. 16.6, при проведении последнего на изоляции как при температуре сушильной печи, так и при температуре окружающей среды.
Соответствие требованиям проверяют осмотром и измерением.
Примечания:
1. Для расстояний через изоляцию для гибкой части требования не предусмотрены.
2. Это требование не подразумевает, что заданное расстояние должно проходить только через сплошную изоляцию; оно может состоять из толщины сплошной изоляции плюс один или более воздушных слоев.
29.1, 29.2. (Измененная редакция, Изм. № 1).
30. ТЕПЛОСТОЙКОСТЬ, ОГНЕСТОЙКОСТЬ И СТОЙКОСТЬ К ОБРАЗОВАНИЮ
ТОКОВЕДУЩИХ МОСТИКОВ
Примечание. Выбор и последовательность проведения испытаний по данному разделу указаны в приложении Н.
30.1 Оболочка гибкой части прибора должна быть огнестойкой.
Для приборов, кроме тех, которые отвечают требованиям п. 22.23, проверку осуществляют следующим испытанием, проводимым на шести образцах.
Образцы оболочки с размерами 100 х 200 мм разрезают так, чтобы их короткая сторона была параллельна направлению прокладки нагревательных элементов. Образцы выбирают из участков оболочки так, чтобы не было двух образцов, содержащих те же нити основы или утка. Если это невозможно, образцы выбирают так, чтобы та же нить основы или нить утка не встречалась более, чем в двух образцах. Все куски и обрезки нагревательных элементов удаляют из образца.
Прибор для испытаний, как указано на черт. 20, имеет два латунных электрода диаметром 3 мм, поддерживаемых латунными столбиками, укрепленными на плоском основании из изоляционного материала. Оси электродов находятся на одной линии. Основание удерживает также платформу из изоляционного материала с размерами 100 х 100 мм, закрепленную в центре между латунными столбиками. Следует предусмотреть возможность регулирования высоты платформы.
Один из электродов закреплен, а другой — подвижен, что позволяет разместить образец. Край закрепленного электрода срезан на 45 ° по отношению к главной оси. Электрод устанавливают так, чтобы точка, наиболее удаленная от латунного столбика, находилась наверху, на расстоянии около 3 мм от центра платформы. Подвижный электрод имеет конец, направленный под прямым углом к его главной оси.
Нижнюю часть составленной из двух частей деревянной маски, как показано на черт. 20, деталь В, помещают на регулируемую платформу в указанном положении.
Испытательный прибор вместе с верхней частью маски помещают в нагревательную камеру с дверцей и смотровым окном, имеющую естественную воздушную конвекцию.
Внутри нагревательной камеры электроды соединены последовательно с безындуктивным регулируемым резистором на 10 кВ, характеристика которого обеспечивает падение выходного напряжения не более 100 В при прохождении тока 1 мА.
Температуру в нагревательной камере увеличивают до (65±2) °С. Затем электроды закорачивают и резистор настраивают так, чтобы ток составлял 1 мА. После этого отключают питание и шесть образцов помещают в камеру с заданной температурой на 3 ч.
Не вынимая прибора из нагревательной камеры, вытягивают подвижный электрод и конец одного образца так, чтобы этот электрод располагался по центру участка, обычно занимаемого нагревательным элементом. Образец установлен так, чтобы его конец был примерно на одном уровне с краем регулируемой платформы. Далее подвижный электрод вставляют в другой конец участка, обычно занимаемого нагревательным элементом, и укрепляют так, чтобы расстояние между электродами составляло 6,0 +°3 мм. Затем образец вытягивают, стараясь, чтобы на материале не образовывались петли и он не зажимался между электродами; после этого верхнюю часть маски, как показано на черт. 20, деталь С, устанавливают на место. Затем закрывают дверцу нагревательной камеры на следующий пятиминутный период для стабилизации температуры.
Далее включают питание и между электродами проскакивают искры в течение 2мин. Если образец загорается, время с момента включения питания до момента, когда пламя достигнет внутреннего края маски, записывают. При этом не обращают внимания на возгорание любых поверхностных волокон, длящееся менее 3 с. Если образец не загорелся, записывают время 120 с.
Далее образец вынимают и вновь помещают между электродами другой поверхностью кверху так, чтобы испытать противоположный конец.
Аппарат для испытания на воздействие искрения по п. ЗОЛ
Деталь В Деталь С

/ — зажимы; 2— верхняя маска (см. деталь С); 3 — латунные электроды (см. деталь А); 4 — перестановочная изоляционная плита (для поддержки маски); 5—нижняя маска (см. деталь В); 6 — задний ограничитель; 7—плита основа
ния; 8 — латунные электроды; 9 — угол конца 45 °
Черт. 20
В случае необходимости можно редуцировать высоту или добавить груз, обращая, однако, внимание на то, чтобы между электродами не возникла проводящая дорожка.

Черт. 20 (продолжение)
После этого испытание повторяют на новых пяти образцах.
Если один из записанных показателей времени менее 30 с, испытание повторяют в полном объеме на втором наборе из шести образцов. В этом случае ни один образец не должен показать время менее 30 с.
Далее подсчитывают среднее время для 12 значений. Значения, отличающиеся от среднего более чем на 30 с, отбрасывают и, если понадобится снова подсчитывают среднее время для оставшихся значений. Среднее время должно быть не менее 80 с.
30.2. Изоляция нагревательных элементов и внутренней проводки в гибкой части должна быть достаточно устойчива к действию ненормального нагрева и огня.
Соответствие проверяют следующим испытанием.
Образец нагревательного элемента или внутренней проводки длиной не менее 150 мм поддерживают, как показано на черт. 21, сеткой из проволоки диаметром 1,2 мм, образующей прямоугольную решетку со звеньями примерно 20 х 20мм. Сетка монтируется в центре трехстороннего металлического экрана в месте, где нет сквозняков. Экран имеет приблизительно 900 мм в высоту, 450 мм в ширину и 300 мм в глубину. Установка экрана такова, что сетка наклонена под углом 45 °С к горизонтальной оси, а ее нижний край горизонтален.
Размер сетки должен быть достаточен, чтобы удерживать образец, который находится в контакте с боковыми витками сетки. Образец закрепляют к верху и низу сетки так, чтобы он был параллелен и расположен посередине между двумя витками сетки, как показано на черт. 21.
Спиртовую горелку с фитилем диаметром 6мм закрепляют так, чтобы пламя попадало на образец на расстоянии не менее 50 мм от места нижнего крепления и в центр одного из звеньев сетки; при этом образец проходит примерно по центру пламени. Горелка остается в таком положении до тех пор, пока изоляция не перестанет гореть.
Длина участка нагревательного элемента или внутренней проводки, поврежденная пламенем, измеренная от центра звена сетки, к которому подходит пламя, должна быть не более 65 мм.
РТС-нагревательные элементы, не выдержавшие данное испытание, подвергают следующему испытанию.
Проводник РТС-нагревательного элемента разбивают в то время, когда прибор работает при номинальном напряжении. В течение 1 с мощность гибкой части не должна превышать 1 Вт. Разбитые концы затем соединяют вместе. Ток не должен увеличиться.
П римечание. Испытания по этому пункту не установлены.
Устройство для испытания устойчивости на воспламенение по и. 30.2

1 — сетка из проволоки; 2 — испытуемый образец; 3 — пламя Черт. 21
30.3. Внешние части из неметаллических материалов и части из изоляционных материалов, удерживающие токоведущие части, разрушение которых может привести к тому, что прибор не будет соответствовать настоящему стандарту, должны быть достаточно устойчивы к тепловому воздействию.
Соответствие проверяют на образце соответствующих частей при испытании давлением шарика, проводимого на приборе, представленном на черт. 19.
Перед началом испытания образец выдерживают в течение 24 ч в атмосфере с температурой от 15 до 35 °С и относительной влажности от 45 до 75 %.
Образец помещают на подставку так, чтобы его верхняя сторона была горизонтальна, и стальной шарик диаметром 5 мм прижимают к поверхности усилием 20 Н. Толщина образца должна быть не менее
2,5 мм, причем требуемую толщину, если необходимо, получают, соединяя вместе два или более образцов.
Испытание проводят в нагревательной камере при температуре, значение которой выше 40 °С плюс максимальное превышение температуры, определенное при испытании по разд. 11 с допуском +2 °С, и:
75 +2 °С — для наружных частей;
125 +2 °С — для частей, удерживающих токоведущие части в требуемом положении.
Однако для частей из термопластических материалов, обеспечивающих дополнительную или усиленную изоляцию, испытание проводят при температуре на 25 °С выше максимального превышения температуры, определенного при испытании по разд. 19 с допуском +2 °С, если это будет более высокая температура.
Перед началом испытания шарик и подставку, на которую кладут образец, нагревают до требуемой температуры.
Через 1 ч шарик снимают с образца, образец охлаждают в течение 10 с примерно до температуры окружающей среды путем погружения в холодную воду. Далее измеряют диаметр отпечатка, оставленного шариком. Диаметр отпечатка не должен превышать 2 мм.
Аппарат для испытания давлением шара по и. 30.3

Примечания:
1. Из частей обмоток испытанию подвергают только те части, которые поддерживают в требуемом положении зажимы и соединения.
2. Испытание не проводят на частях, выполненных из керамических материалов.
3. Испытание не проводят на оболочках гибкой части.
30.4. Части из неметаллических материалов должны быть достаточно устойчивы к воспламенению и распространению огня.
Это требование не относится к элементам отделки, ручкам и другим частям, которые не могут воспламениться или распространять пламя, появившееся внутри прибора.
Соответствие проверяют испытаниями по пп. 30.5 и 30.6.
И римечание. Испытание не проводят на оболочке гибкой части.
30.5. Отдельно отлитые образцы соответствующих частей подвергают испытанию на горение по приложению J.
Если отдельно отлитые образцы отсутствуют или если нет доказательств, что материал удовлетворяет требованиям данного испытания, или если отдельно отлитые образцы не удовлетворяют требованиям испытания, то на соответствующих частях прибора при температуре 550 °С проводят испытание раскаленной проволокой по приложению К.
30.6. Для подушек части, изготовленные из изоляционных материалов, удерживающие токоведущие соединения, рассчитанные на ток свыше 0,5 А, и способные, в случае повреждения, привести к возгоранию, подвергают испытанию раскаленной проволокой по приложению К. Испытание проводят при температуре 750 °С.
Для одеял и матрацев соединения, рассчитанные на ток свыше 0,5 А, удерживаемые частями из изоляционных материалов и способные в случае повреждения привести к возгоранию, подвергают испытанию на плохое соединение с помощью нагревателей по приложению L или, если это испытание нельзя провести вследствие особенностей конструкции соединения, части изоляционного материала, удерживающего соединение, подвергают испытанию раскаленной проволокой по приложению К. Это испытание проводят при температуре 850 °С.
Если части не выдерживают испытание раскаленной проволокой или испытание на плохое соединение, следует провести испытание игольчатым пламенем по приложению М на всех других неметаллических частях, установленных на расстоянии не более 50 мм от этих частей, за исключением случаев, когда эти другие части защищены от частей, испытанных вначале, отдельным экраном или оболочкой. В таком случае экран или оболочку подвергают испытанию игольчатым пламенем.
Примечание. Примером соединений, которые в случае повреждения могут привести к возгоранию, являются винтовые соединения, которые можно разбирать или собирать вновь в ходе установки или обслуживания прибора.
30.7. Изоляция, по которой возможно образование токоведущих мостиков между токоведущими частями различной полярности, должна иметь достаточное сопротивление образованию таких мостиков с учетом жестких условий эксплуатации этой изоляции.
Для терморегулирующих устройств гибкой части одеял, которые можно подвергать стирке, применяют жесткие условия эксплуатации.
Для частей из изоляционных материалов, используемых в жестких условиях эксплуатации, соответствие требованию проверяют испытанием на образование токоведущих мостиков по приложению N.
Для частей из изоляционных материалов, используемых в нормальных условиях эксплуатации, и частей из керамических материалов, испытание на образование токоведущих мостиков не проводят.
Для частей из изоляционных материалов, используемых в жестких условиях эксплуатации, испытательное напряжение составляет 175 В. Если образцы не выдерживают это испытание и не возникает никакой другой опасности, кроме огня, прилегающие части подвергают испытанию игольчатым пламенем по приложению М.
Испытание игольчатым пламенем проводят на всех неметаллических частях, расположенных в пределах 50 мм от любого места, где возможно образование токоведущего мостика, за исключением случаев, когда эти части защищены отдельным экраном или оболочкой. В таком случае испытанию игольчатым пламенем подвергают этот экран или оболочку.
Примечание. Для жесткости условий эксплуатации изоляционных материалов см. приложение Р.
Разд. 30. (Измененная редакция, Изм. № 1).
31. СТОЙКОСТЬ К КОРРОЗИИ
31.1. Части из черных металлов, коррозия которых может привести к не соответствию прибора настоящему стандарту, должны иметь достаточную защиту от коррозии.
Соответствие проверяют следующим испытанием.
С испытуемых частей удаляют смазку путем погружения их на 10мм в четыреххлористый углерод или треххлористый этан.
Затем испытуемые части погружают на 10 мин в 10 %-ный водный раствор хлористого аммония при температуре (20±5) °С.
Не просушивая, но стряхнув оставшиеся капли, испытуемые части помещают на 10 мин в камеру, насыщенную влагой, при температуре (20±5) °С.
После просушки этих частей в термокамере при температуре (100±5) °С в течение 10 мин на поверхности испытуемых частей не должно быть следов коррозии.
Примечания:
1. При использовании жидкостей, предусмотренных для проведения испытания, необходимо принять соответствующие меры предосторожности, предотвращающие вдыхание их паров.
2. Допускаются следы коррозии на острых краях и желтоватый налет, исчезающий после протирки.
3. Для небольших спиральных пружин, подобных элементов и частей, подверженных истиранию, слой смазки может представлять собой достаточную защиту от коррозии. Такие части подвергают испытанию только в том случае, когда имеются сомнения относительно эффективности смазки; при этом слой смазки перед испытанием не удаляют.
32. РАДИАЦИЯ, ТОКСИЧНОСТЬ И ПОДОБНЫЕ ОПАСНОСТИ
32.1. Приборы не должны испускать вредные излучения или быть источником токсичности и других подобных видов опасности.
Соответствие проверяют соответствующим испытанием, методику которого, при необходимости, приводят в НТД на конкретный прибор.
ПРИЛОЖЕНИЕ А. (Исключено, Изм. № 1).
ПРИЛОЖЕНИЕ В Обязательное
ЭЛЕКТРОННЫЕ ЦЕПИ
В.1. Область распространения
Настоящее приложение распространяется на цепи, содержащие не менее одного электронного комплектующего.
В.2 Термины и определения
Дополнительные определения
В.2.101. Электронные комплектующие — часть, в которой проводимость обеспечивается, в основном, электронами, движущимися в вакууме, газе или полупроводнике.
В.2.102. Защитный импеданс — электрическое сопротивление, присоединенное между токопроводящими и доступными токопроводящими частями и имеющее характеристику, при которой ток, при нормальной эксплуатации и при возможных условиях отказа в приборе, ограничен до безопасного значения.
В.4. Общие условия испытаний Дополнение
В.4.1. Все разделы настоящего стандарта, измененные в этом приложении, относятся к электронным цепям.
Дополнение
В.4.2. Следует избегать накопления напряжения вследствие последовательного проведения испытаний. Может возникнуть необходимость в замене деталей или в использовании дополнительных образцов.
Примечание. Число дополнительных образцов следует свести до минимума с помощью оценки соответствующих цепей.
Дополнительный пункт
В.4.101. Необходимо проследить за тем, чтобы источник питания не имел таких возмущений от внешних источников, которые могут повлиять на результаты испытаний.
В.8. Защита от поражения электрическим током
В.8.1. Примечание, касающееся безопасного сверхнизкого напряжения, не применяют. Дополнение
Доступную часть не считают токоведущей, если:
она получает питание от изолирующего трансформатора безопасности при условии что: для переменного тока пиковая величина напряжения не превышает 42,4 В; для постоянного тока напряжение не превышает 42,4 В; или
часть отделена от токоведущих частей защитным импедансом.
При наличии защитного импеданса ток между частью и источником питания не превышает 2 мА для постоянного тока, а его пиковая величина не превышает 0,7 мА для переменного тока и, кроме того:
для напряжений с пиковым значением более 42,4 до 450 В включ. емкость не превышает 0,1 мкФ; для напряжений, имеющих пиковое значение более 450 В до 15 кВ включ. разряд не превышает 45 мкКл. Напряжения и токи измеряют между соответствующими частями и каждым полюсом источника питания. Разряды измеряют непосредственно после прекращения питания.
Цепь для измерения тока имеет общее сопротивление (1750+250) Ом и шунтирована конденсатором, так что постоянная времени цепи составляет (225+15) мкКл. Детали соответствующей цепи приведены в приложении G.
Примечания:
1. Измерительная цепь имеет точность около 5 % для всех частот от 20 до 5000 Гц.
2. Для напряжений, имеющих пиковую величину св. 15 кВ, рассматривают другие требования.
В.8.4. Дополнение
Это требование не относится к конденсаторам, соответствующим требованиям к защитному импедансу. В.11. Нагрев
В.11.6. Дополнение к таблице
* Для конденсаторов, которые замыкают накоротко при испытаниях по п. В. 19, превышение температуры не ограничивается.
Наименование частей приборов
Превышение температуры, К
Конденсаторы*, соответствующие требованиям ГОСТ 12.2.006 Печатные платы, склеенные эпоксидной смолой
50
120
В.13. Электрическая изоляция и ток утечки при рабочей температуре
В.13.1. Дополнение
Перед испытаниями защитный импеданс отсоединяют от токопроводящих частей.
В. 16. Сопротивление изоляции и электрическая прочность
В.16.1. Дополнение
Перед испытаниями защитный импеданс отсоединяют от токопроводящих частей.
В.16.4. Дополнение
Испытание на электрическую прочность изоляции между частями различной полярности не проводят, если выполняются требования п. В. 19 при коротком замыкании этих частей.
В. 19. Ненормальная работа
Дополнительные пункты
В. 19.101. Электронные цепи должны быть сконструированы и применены так, чтобы при их неисправности прибор не стал опасным в отношении поражения электрическим током, возникновения пожара или механической травмы.
Соответствие проверяют испытаниями по п. В. 19.103 для всех цепей или их частей, если они не удовлетворяют условиям п. В. 19.102.
Если безопасность прибора при любом условии отказа зависит от работы миниатюрного плавкого предохранителя, удовлетворяющего требованиям НД, проводят испытания по п. В. 19.104.
В ходе каждого испытания и после него температура обмоток не должна превышать значений, приведенных в таблице п. 17.1, и прибор должен удовлетворять условиям, указанным в п. 19.9. В частности, токоведущие части не должны быть доступными для стандартного испытательного пальца или стержня в соответствии с п. 8.1. Любой ток, проходящий через защитный импеданс, не должен превышать предельных значений, указанных в п. В.8.1.
Если провод печатной платы размыкается, прибор считают выдержавшим конкретное испытание, если выполнены три следующие условия:
материал печатной платы выдерживает испытание на горение по ГОСТ 12.2.006;
любое ослабление провода не уменьшает путей утечки и воздушных зазоров между токопроводящими частями и доступными металлическими частями ниже значений, указанных в разд. В. 29;
прибор выдерживает испытания по п. В. 19.103 с шунтированным разомкнутым проводом.
Примечания:
1. Если нет необходимости в замене компонентов после любого из испытаний, испытание на электрическую прочность следует проводить только после окончания всех испытаний электронной цепи.
2. Обычно анализ прибора и его принципиальной схемы дает возможность заранее определить те повреждения, которые следует имитировать, чтобы при испытаниях ограничиться случаями, дающими предположительно наиболее неблагоприятный результат.
3. В отдельных случаях может оказаться предпочтительной имитация всех повреждений по сравнению с анализом принципиальной схемы.
4. В основном, при испытании учитывают любые повреждения, которые могут возникнуть при помехах в сети питания. Однако в тех случаях, когда воздействие может быть оказано одновременно на несколько составляющих элементов, может потребоваться проведение дополнительных испытаний, которые в настоящее время рассматривают.
В. 19.102. Условия отказа 1—6, указанные в п. 19.103, не применяют к схемам или частям схем, где соблюдены оба из следующих условий:
электронная схема — схема низкой мощности, как описано ниже:
защита от поражения электрическим током, пожароопасности, механической опасности или опасной неправильной работы не зависит от правильной работы электронной схемы.
Схему низкой мощности определяют следующим образом (пример приведен на черт. В.1).
Прибор работает при номинальном напряжении или при верхнем пределе номинального диапазона напряжений, а переменный резистор, установленный в положение, соответствующее максимальному сопротивлению, подключают между исследуемой точкой и противоположным полюсом источника питания.
Затем сопротивление резистора уменьшают, пока мощность, потребляемая резистором, не достигнет максимума. Любую точку, ближайшую к источнику питания, в которой максимальная мощность, подаваемая на этот резистор, не превышает 15 Вт через 5 с, называют маломощной точкой. Часть цепи, расположенная дальше от источника питания, чем маломощная точка, рассматривают как маломощную схему.
Примечания:
1. Измерения проводят только от одного полюса источника питания, предпочтительно от того, у которого наименьшее количество маломощных точек.
2. При определении маломощных точек рекомендуется начинать с точек, близких к источнику питания.
3. Мощность, потребляемую переменным резистором, измеряют ваттметром.
В. 19.103. Следующие условия отказа рассматривают и, если необходимо, применяют по одному за раз.
Учитывают последовательные отказы.
1) Закорачивание путей утечки тока и воздушных зазоров между токоведущими частями различной полярности, если они меньше значений, установленных в п. В.29, и если соответствующая часть не имеет достаточную оболочку.
2) Закорачивание между токоведущими частями различной полярности через изоляцию, которая не выдерживает испытаний по разд. 16.
3) Закорачивание на зажимах любого компонента.
4) Закорачивание конденсаторов, если они не соответствуют требованиям ГОСТ 12.2.006.
5) Закорачивание любых двух соединений электронного компонента, кроме интегральных схем.
6) Отказ интегральной схемы. В этом случае оценивают возможные повреждения в приборе, чтобы убедиться, что безопасность не зависит от неправильной работы указанного компонента.
Рассматривают все возможные выходные сигналы в условиях отказа внутри интегральной схемы. Если обнаруживают, что возникновение конкретного выходного сигнала маловероятно, соответствующее повреждение не рассматривают.
7) Отказ симистора в диодном режиме.
П римечание. Микропроцессоры считают интегральной схемой.
Кроме того, каждую маломощную цепь закорачивают, соединяя маломощную точку с полюсом источника питания, от которого было проведено измерение.
Для моделирования повреждения прибор эксплуатируют в условиях, указанных в разд. 11, но при номинальном напряжении или наиболее невыгодном напряжении внутри номинального диапазона.
При моделировании любого условия отказа испытание проводят, пока не будет достигнут установившийся тепловой режим.
В каждом случае испытание заканчивают, если в приборе происходит прекращение питания.
Повреждение, указанное в перечислении 5, не применяют между двумя цепями оптосоединителей.
Если прибор имеет электронную схему, которая служит для обеспечения соответствия разд. 19, но не п. 19.3, соответствующее испытание повторяют, имитируя одно из повреждений по перечислениям 1—7.
Повреждение, указанное в перечислении 6, применяют к заключенным в капсулу или аналогичным компонентам, если цепь не может быть оценена другими методами.
Резисторы с положительным температурным коэффициентом (PTC'S), с отрицательным температурным коэффициентом (NTC'S) и резисторы, зависимые от напряжения (VDR'S), не замыкают накоротко, если их используют согласно спецификации, указанной изготовителем.
(Измененная редакция, Изм. № 1).
В. 19.104. Если для любого из повреждений, указанных в п. 19.103, безопасность прибора зависит от
срабатывания миниатюрного плавкого предохранителя, соответствующего требованиям НД, испытание повторяют, заменив миниатюрный плавкий предохранитель на амперметр.
Если измеренный ток не превышает в 2,1 раза номинальный ток плавкого предохранителя, то цепь не считают достаточно защищенной, и испытание проводят с закороченным плавким предохранителем.
Если измеренный ток превышает в 2,75 раза номинальный ток плавкого предохранителя, то цепь считают достаточно защищенной.
Если измеренный ток находится в пределах от 2,1 до 2,75 номинального тока плавкого предохранителя, то плавкий предохранитель закорачивают, а испытание проводят:
для быстродействующих плавких предохранителей — в течение 30 мин,
для плавких предохранителей с запаздыванием — в течение 2 мин.
Примечания:
1. В сомнительных случаях при определении тока следует учитывать максимальное сопротивление плавкого предохранителя.
2. Проверка того, действует ли плавкий предохранитель как защитное устройство, основана на характеристиках плавления, указанных в НД, в которой также приведена информация, необходимая для вычисления максимального сопротивления плавкого предохранителя.
3. Другие предохранители рассматривают как преднамеренно слабые части согласно и. 19.1.
В.22. Конструкция
В.22.4. Дополнение
Части, отделенные защитным импедансом, должны соответствовать требованиям к двойной или усиленной изоляции.
В.22.5. Дополнение
Усиленная изоляция допускается для частей, отделенных трансформатором безопасного сверхнизкого напряжения или защитным импедансом, и для частей, отделенных оптосоединителем.
Дополнительный пункт
В.22.101. Защитный импеданс должен состоять по крайней мере из двух отдельных элементов, импеданс которых значительно не изменяется в течение срока службы прибора. Если один из элементов закорачивают или размыкают, величины, указанные в и. В.8.1, не должны превышаться.
Соответствие проверяют осмотром и измерением.
Примечание. Резисторы, удовлетворяющие и. 14.1 ГОСТ 12.2.006, и конденсаторы, удовлетворяющие и. 14.2 ГОСТ 12.2.006, считают соответствующими требованиям настоящего пункта.
В.29. Пути утечки, воздушные зазоры и расстояния по изоляции
В.29.1. Дополнение
Для проводящих частей на печатных платах, кроме их краев, значения, указанные в таблице для частей различной полярности, могут быть уменьшены при условии, что пиковое значение напряжения не превышает:
150 В/мм с минимальным расстоянием 0,2 мм, если имеется защита от осаждения грязи;
100 В/мм с минимальным расстоянием 0,5 мм, если нет защиты от осаждения грязи.
Для пиковых напряжений более 50 В уменьшение путей утечки допускается только в том случае, если контрольный индекс трекингостойкости (КИТ) печатной платы более 175.
Эти расстояния могут быть еще меньше при условии, что прибор соответствует требованиям разд. В. 19, когда расстояния закорачиваются по очереди.
Примечание. Когда предельные значения, упомянутые выше, ведут к более высоким значениям, чем приведенные в таблице, применяют значения, указанные в таблице.
Для токопроводящих частей разной полярности, отделенных только основной изоляцией, пути утечки и воздушные зазоры, допускается снижать по отношению к указанным в таблице при условии, что выполняются требования разд. В. 19 при поочередном замыкании этих путей утечки и воздушных зазоров.
Пути утечки тока и воздушные зазоры в оптосоединителях не измеряют, если индивидуальные изоляции соответственно герметизированы и если исключено присутствие воздуха между отдельными слоями материала.
Пример электронной цепи с маломощными точками

D — самая удаленная точка от источника питания, где максимальная мощность, подаваемая на внешнюю нагрузку, превышает 15 Вт. А и В — точки, ближайшие к источнику питания, где максимальная мощность, подаваемая на внешнюю нагрузку, не превышает 15 Вт. Это маломощные точки.
Точки А и В отдельно замыкают накоротко с С.
Условия отказа 1—6, указанные в п. В. 19.103, применяют индивидуально к Zi, Z2, Z3, Z, и Z? там, где они могут применяться.
Черт. В.1
ПРИЛОЖЕНИЕ С Обязательное
СПЕЦИФИКАЦИЯ НАКРЫВАЮЩЕГО МАТЕРИАЛА
Накрывающий материал имеет следующий состав:
полиэфир с открытыми ячейками;
число ячеек 18 +2 на см;
удельная масса 30 кг/м 3 +10 %;
твердость 120 — 170 И при 40 %-ном надавливании.
Для определения толщины листов используемого накрывающего материала источник тепла с равномерным распределением тепла размером 1x1 м и мощностью (100+2) Вт помещают по центру между двумя слоями накрывающего материала.
Оксидированную медную пластинку размером 65 х 65 у. 0,5 м, к которой крепят термопару с тонкой нитью, помещают в центре верхней поверхности источника тепла.
Размер листов накрывающего материала должен быть не менее 1,2у 1,2 м.
Источник тепла присоединяют к питанию и измеряют превышение температуры.
Толщину накрывающего материала определяют, когда будут достигнуты следующие стабильные значения превышения температуры:
(25+1) °С для верхних одеял по разд. 11;
(60+2) °С для нижних одеял, подушек и матрацев по разд. 11 и пп. 19.2, 19.4, 19.5 и 19.6;
(92+2,5) °С для испытания по п. 19.3 и для РТС-нагревателъных элементов — по п. 21.5.
Если толщину накрывающего материала под источником тепла принимают как 2 cl, то примерная толщина накрывающего материала сверху источника тепла составляет:
0. 2.cl, соответствующая превышению температуры 25 °С; cl, соответствующая превышению температуры 60 °С;
2,5 cl, соответствующая превышению температуры 92 °С.
Примечания:
1. Значение d приблизительно равно 36 мм.
2. Источник тепла может состоять из электропроводного материала (листа) или из двух хлопчатобумажных листов, между которыми равномерно укладывают нагревательный провод так, чтобы расстояние между двумя соседними участками провода не превышало 20 мм.
3. Если требуется незначительное регулирование тепловыделения, это можно достичь путем добавления нескольких листов подходящего текстильного материала.
4. К верхней поверхности накрывающего материала не прилагают никакую дополнительную нагрузку.
(Измененная редакция, Изм. № 1).
ПРИЛОЖЕНИЕ D Обязательное
АППАРАТ ДЛЯ ИСПЫТАНИЯ МЕХАНИЧЕСКОЙ ПРОЧНОСТИ ОДЕЯЛ
Аппарат (см. черт. D.1) имеет вращающийся цилиндр диаметром 160 мм и длиной, достаточной для размещения длины одеяла. К цилиндру прикреплено некоторое количество кулачков (выпуклостей), вырезанных в виде шариков из твердой резины, обладающих стандартизированной твердостью 40/50, диаметром (60±2,5) мм так, что высота каждого кулачка над поверхностью цилиндра составляет 25 мм. Эти кулачки располагают в шесть рядов равномерно на окружности цилиндра, причем расстояние между ними в каждом ряду составляет 320 мм. Ряды размещены так, что кулачки в одном ряду попадают между двумя кулачками в следующем ряду, как показано на (см. черт. D.2).
Под цилиндром прикреплена балка размером 25 х 25 мм так, что она может свободно вращаться в несущих устройствах, установленных в направляющих, которые свободно перемещаются вверх и вниз. Общую массу балки и несущих устройств можно регулировать, прикрепляя к несущим устройствам грузы.
Над цилиндром размещены гладкие валики из древесины твердых пород диаметром 65 мм и длиной 140 мм. Каждый валик прикреплен к паре рычагов, которые вращаются на оси на расстоянии 160 мм от оси валика. Валики расположены так, что каждый кулачок проходит под центром валика. Поворотная балка расположена так, что, когда валики соприкасаются с верхней частью цилиндра, ось рычагов находится под углом 25 ° к горизонтали. Усилие, оказываемое каждым валиком на цилиндр, составляет 5,1 Н.
Звездочки, имеющие диаметр начальной окружности 230 мм, прикреплены к каждому краю несущего вала цилиндра. Цепи привода, которые несут подвижную балку, проходят через эти звездочки и вокруг балки квадратного сечения в самом низком положении.
Зажимная балка (см. черт. D.3), прикреплена к подвижной балке с помощью винтов диаметром 3,5 мм. Проволочные шарнирные соединения прикреплены к нижнему краю зажимной балки, как показано на чертеже.
Одеяло прикрепляют по всей длине к проволочным шарнирам с помощью зажимов и регулируемых пряжек. Затем его укладывают поверх цилиндра под балкой квадратного сечения и крепят к другому концу пряжек. Одеяло и пряжки образуют непрерывную ленту, которую натягивают, добавляя грузы к несущим устройствам так, чтобы общая масса узла из балок и несущих устройств составляла 6 кг на 1м прикрепленного края одеяла или 6,5 кг, в зависимости от того, что больше. Пряжки регулируют так, чтобы балка квадратного сечения и несущие устройства поднялись на 50 мм над исходным положением. Затем натяжение пряжек не изменяют. Пряжки располагают так, чтобы они проходили между кулачками на цилиндре.
Примечания:
1. Для предотвращения складок на одеяле используют достаточное количество пряжек.
2. Любой шнур питания прикрепляют к подвижному брусу таким образом, чтобы он не влиял на результат испытания.
3. Должны быть предусмотрены средства для поднятия валиков, когда подвижная балка проходит над цилиндром, с тем чтобы избежать повреждения аппарата.
4. Подвижная балка имеет отдельный привод. Цилиндр и балка квадратного сечения вращаются от движущегося одеяла.
Аппарат для испытания механической прочности одеял

1 — заблокированные валики; 2 — самовыравнивающиеся подшипники; 3 — приводная цепь; 4 — зажимная балка; 5 — испытуемое одеяло; б—балка квадратного сечения; 7—рычаги валиков; <?—звездочка; 9 — подвижная балка
Черт. D.1
Элементы цилиндра и валиков Элементы зажимной балки
/ г

1 — валики; 2 — рычаг валика; 3 — кулачки (выступы) на цилиндре
Черт. D.2

1 — стальной канал диаметром 2,5 и толщиной 1,6 мм;
2 — шарниры, припаянные к каналу твердым припоем;
3 — шарнирные соединения из стальной проволоки
диаметром 2,5 мм
Черт. D.3
ПРИЛОЖЕНИЕ Е Обязательное
ИЗМЕРЕНИЕ ПУТЕЙ УТЕЧКИ ТОКА И ВОЗДУШНЫХ ЗАЗОРОВ
В настоящем приложении (см. примеры 1—10) указаны способы измерения путей утечки и воздушных зазоров, которыми следует руководствоваться при испытании по и. 29.1.
Эти примеры не учитывают различия между зазорами и пазами или видами изоляции.
Предполагаются следующие допущения:
1) паз может иметь параллельные, сходящиеся или расходящиеся стенки;
2) любой паз с расходящимися стенками, имеющий минимальную ширину больше 0,25 мм, глубину больше
1,5 мм и ширину у дна 1 мм или более, считают воздушным зазором (см. пример 8);
3) любой угол, с внутренним углом менее 80 ° считают шунтированным деталью из изоляционного материала шириной 1 мм (0,25 мм —в местах, защищенных от осаждения грязи), помещенной в самое неблагоприятное положение (см. пример 3);
4) если расстояние между верхними кромками паза равно 1 мм (в местах, защищенных от осаждения грязи — 0,24 мм) или больше, то расстояние по воздуху между этими кромками не считают путем утечки (см. пример 2);
5) если воздушный промежуток, указанный в перечислении 2, превышает 0,25 мм, то его не считают путем утечки;
6) пути утечки и воздушные зазоры, подлежащие измерению между частями, перемещающимися друг относительно друга, измеряют тогда, когда эти части находятся в самом неблагоприятном стационарном положении;
7) рассчитанный путь утечки никогда не бывает меньше измеренного воздушного зазора;
8) при расчете суммарного воздушного зазора любой воздушный зазор шириной менее 1 мм не учитывают (в местах, защищенных от осаждения грязи —0,25 мм).
Пример 1
Условие. Рассматриваемый путь включает паз с параллельными или сходящимися боковыми стенками любой глубины, шириной менее 1 мм.
Правило. Путь утечки и воздушный зазор измеряют непосредственно через паз, как указано на чертеже.
Пример 2

Условие. Рассматриваемый путь включает паз с параллельными боковыми стенками любой глубины, шириной 1 мм и более.
Правило. Воздушным зазором считают длину «прицельной прямой». Путь утечки проходит по контуру паза.
Пример 3

Условие. Рассматриваемый путь включает V-образный паз с внутренним углом менее 80 ° и шириной более 1 мм.
Правило. Воздушным зазором считают длину «прицельной прямой». Путь утечки проходит по контуру паза, однако «шунтируют» дно паза элементом длиной 1 мм (0,25 мм — в местах, защищенных от осаждения грязи).
Пример 4

Условие. Рассматриваемый путь включает ребро. Правило. Воздушным зазором считают наикратчайшее расстояние по воздуху через ребро. Путь утечки проходит по контуру ребра.
Пример 5

Условие. Рассматриваемый путь включает несклеенное соединение с пазами шириной менее 1 мм (0,25 мм в местах, защищенных от осаждения грязи) с каждой стороны.
Правило. Путем утечки и воздушным зазором считают длину «прицельной прямой», как указано на чертеже.
Пример 7

Пример 6

Условие. Рассматриваемый путь включает несклеенное соединение с пазами шириной 1 мм или более на каждой стороне.
Правило. Воздушным зазором считают длину «прицельной прямой». Путь утечки проходит по контурам пазов.
Пример 8

Условие. Рассматриваемый путь включает несклеенное соединение с пазом на другой стороне, который уже 1 мм, и с пазом на другой стороне 1 мм и более.
Правило. Воздушный зазор и путь утечки измеряют, как указано на чертеже.
Условие. Рассматриваемый путь включает паз с расходящимися боковыми стенками глубиной
1,5 мм или более, шириной в самом узком месте более 0,25 мм и шириной у дна 1 мм и более.
Правило. Воздушным зазором считают длину «прицельной прямой». Путь утечки проходит по контуру паза.
Пример 9
Пример 10




Зазор между головкой винта и стенкой впадины Зазор между головкой винта и стенкой впадины
слишком мал и не принимается во внимание. достаточно велик и принимается во внимание.
ПРИЛОЖЕНИЕ G Обязательное
СХЕМА ИЗМЕРЕНИЯ ТОКА УТЕЧКИ
Соответствующая схема измерения тока утечки по и. 13.2 указана на черт. G.I.
Схема состоит из устройства выпрямителя с германиевыми диодами и измерительного прибора с подвижной катушкой М, резисторов и конденсатора С для регулирования характеристик цепи, а также переключателя с перекрывающими контактами S для регулирования диапазона тока измерительного прибора.
Самый чувствительный диапазон укомплектованного прибора не должен превышать 1,0 мА, а более высокие диапазоны получают, шунтируя катушку измерительного прибора неиндуктивными резисторами Rs и одновременно регулируя последовательные резисторы RVтак, чтобы удержать общее сопротивление R, + R V + R т схемы на заданной величине.
Основными калибровочными точками на синусоидальной частоте 50 или 60 Гц являются 0,25, 0,5 и 0,75 мА.
Примечания:
1. Схема может быть защищена против сверхтоков, но избранный метод не должен влиять на характеристики цепи.
2. Сопротивление R т рассчитывают по падению напряжения, измеренному через устройство выпрямителя при величине тока 0,5 мА, а затем сопротивление RV регулируют так, чтобы обеспечить общее сопротивление схемы для каждого диапазона.
3. Используют германиевые диоды, так как они имеют меньшее падение напряжения, чем диоды других типов, и дают более линейную характеристику; предпочтение отдают моделям, склеенным золотом. Характеристики этих диодов должны выбираться так, чтобы они соответствовали требуемому максимальному диапазону укомплектованного прибора; однако этот диапазон не должен превышать 25 мА, так как диоды, пригодные для более высоких токов, имеют большое падение напряжения.
4. Рекомендуется устроить переключатель так, чтобы он автоматически возвращался в положение, обеспечивающее наибольший диапазон тока, с тем чтобы предотвратить случайное повреждение измерительного прибора.
5. Конденсатор можно изготовить путем подбора конденсаторов с предпочтительными величинами и последовательно-параллельным расположением.
Схема измерения токов утечки

Черт. 1
ПРИЛОЖЕНИЕМ
О
Теплостойкость и огнестойкость
Все приборы

70 ГОСТ 27570.01-02
ПРИЛОЖЕНИЕ J Обязательное
ИСПЫТАНИЕ ГОРЕНИЕМ
Испытание горением проводят в соответствии с ГОСТ 28779.
В настоящем стандарте использован метод воспламенения горизонтально расположенного образца (метод
FH).
Для оценки результатов испытания используют класс FH3, максимальная скорость распространения пламени равна 40 мм/мин.
Если более одного образца не выдерживает испытание, материал бракуют.
Если один образец не выдержал испытания, то испытывают новую партию из пяти образцов, все образцы должны выдержать испытание.
ИСПЫТАНИЕ РАСКАЛЕННОЙ проволокой
Испытание раскаленной проволокой проводят по ГОСТ 27483 со следующими изменениями.
4. Описание испытательной аппаратуры
Последний абзац перед примечанием заменить новым:
«В тех случаях, когда горящие или раскаленные частицы, падающие с образца, могут попасть наружу под прибор, испытания проводят с использованием белой сосновой доски толщиной около 10 мм, покрытой одним слоем папиросной бумаги, которую располагают на расстоянии (200±5) мм ниже места, где вершина петли проникает в образец. Если прибор испытывают в сборе, то его помещают в нормальное рабочее положение над сосновой доской, покрытой одним слоем папиросной бумаги. Перед началом испытания доску подвергают кондиционированию как образец, по разд. 7 ГОСТ 27483».
5. Параметры испытания
Продолжительность прижатия раскаленной проволоки к образцу составляет (30±1) с.
10. Наблюдения и измерения
Перечисление в) не применяют.
ПРИЛОЖЕНИЕ L Обязательное
ИСПЫТАНИЕ НА ПЛОХОЕ СОЕДИНЕНИЕ С ПОМОЩЬЮ НАГРЕВАТЕЛЕН
Испытание проводят по ГОСТ 27924 со следующими изменениями.
3. Общие положения Раздел дополнить абзацами:
«Опрессованные соединения не подвергают данному испытанию, если: плохое соединение не может вызвать опасность возникновения огня; длительный ток не превышает 0,5 А; провода подобраны в соответствии со следующей таблицей и применяются вместе с правильно выбранными соединителями.
Длительный ток, А | Площадь поперечного сечения, мм | |
луженого многожильного провода | другого многожильного провода | |
Св. 0,5 до 4,0 включ. | — | 0,5 |
» 4,0 » 6,0 » | 0,75 | 1,0 |
» 6,0 » 10,0 » | 1,0 | 1,5 |
» 10,0 » 16,0 » | 1,5 | 2,5 |
» 16,0 » 25,0 » | 2,5 | 4,0 |
Опрессованные соединения считают непожароопасными, если части из изоляционных материалов, поддерживающие соединения, выдержали испытание раскаленной проволокой согласно приложению К настоящего стандарта при температуре, установленной в пп. 30.2.2 и 30.2.3 настоящего стандарта.
Обжимающие трубки на концах свитых проводов, предназначенные для введения в винтовые зажимы не считают впрессованными соединениями с точки зрения настоящего стандарта.
При определении значения длительного тока пусковой ток не учитывают.
4. Аппаратура
Одиннадцатый абзац изложить в новой редакции:
«В тех случаях, когда горящие или раскаленные частицы, падающие с образца при нормальной эксплуатации, могут попасть наружу под прибор, испытания проводят с использованием сосновой доски толщиной около 10 мм, покрытой одним слоем папиросной бумаги. Доску располагают под образцом на расстоянии (200±5) мм ниже места, где испытательный нагревательный элемент прикладывается к образцу. Если в качестве образца используют прибор в сборе, то его размещают над этой сосновой доской, покрытой одним слоем бумаги в нормальном эксплуатационном положении. Перед началом испытаний сосновую доску кондиционируют как и образец по разд. 6 ГОСТ 27924.
5. Параметры испытаний
Третий абзац. Изменение. Заменить значение: 30 мин на (30±1) мин.
8. Проведение испытаний
Пункт 8.6 изложить в новой редакции:
«8.6. Испытание проводят на одном образце. Если образец не выдержит испытания, то испытание повторяют на двух новых образцах, которые должны выдержать испытание».
11. Данные для проведения испытаний
Перечисление з) не применяют.
ИСПЫТАНИЕ ИГОЛЬЧАТЫМ ПЛАМЕНЕМ
Испытание игольчатым пламенем проводят по ГОСТ 27484 со следующим изменением.
4. Аппаратура
Шестой абзац изложить в новой редакции:
«Если горящие или раскаленные частицы, отделяющиеся от образца, могут попасть наружу под прибор, то при проведении испытаний используют белую сосновую доску толщиной около 10 мм, покрытую одним слоем папиросной бумаги. Доску располагают под образцом на расстоянии (200±5) мм ниже места, где испытательный нагревательный элемент прикладывают к образцу.
Если испытательный образец представляет собой прибор в сборе, то сам прибор в нормальном эксплуатационном положении размещают над сосновой доской, покрытой одним слоем папиросной бумаги. Перед началом испытаний доску подвергают кондиционированию, как образец, по ГОСТ 27484».
5. Параметры испытания
Изменение пункта:
Время воздействия пламенем составляет (30±1) с.
8. Порядок проведения испытания
Пункты 8.4, 8.5 изложить в новой редакции:
«8.4. Пламя горелки прикладывают к той части образца, которая может быть подвержена воздействию огня, возникшего в результате неисправности или в результате нормальных условий эксплуатации.
Входе проведения испытания допускается сгибать трубку горелки. Точка приложения и продолжительность воздействия пламени горелки должны быть специально оговорены.
В начале испытания пламенем горелки воздействуют таким образом, чтобы с поверхностью образца контактировал самый кончик пламени.
В процессе воздействия пламени смещение горелки недопустимо. По истечении установленного времени пламя горелки сразу же отводят от образца. Примеры расположения горелки при испытании представлены на черт. 2 и 3 ГОСТ 27484.
8.5. Испытание проводят на одном образце. Если образец не выдержит испытания, то испытание повторяют на двух новых образцах, которые должны выдержать испытание».
10. Оценка результатов
Дополнить абзацем:
«Если при испытании используют слой папиросной бумаги, то не должно быть возгорания этой бумаги или прогорания сосновой доски. Незначительное изменение цвета доски во внимание не принимают».
ПРИЛОЖЕНИЕ N Обязательное
ИСПЫТАНИЕ НА ОБРАЗОВАНИЕ ТОКОВЕДУЩИХ МОСТИКОВ
Испытание проводят по ГОСТ 27473 со следующим изменением.
3. Испытуемый образец
Изменение пункта. Первый абзац. Исключить слова: «Толщина образца должна быть не менее 3 мм; ее записывают в протоколе испытаний».
5. Испытательная аппаратура Примечание к п. 5.1 не применяют.
Примечание к п. 5.3 исключить. Испытание проводят с использованием раствора А по п. 5.4.
6. Методика
6.1. Пункт дополнить абзацем:
«Значение напряжения устанавливают 175 или 250 В, в зависимости от условий испытаний».
Пункт 6.2 не применяют.
Испытание проводят 5 раз поп. 6.3. Для 5-го раза, кроме того, применяют примечания 2, Зразд. 3 ГОСТ 27473.
ЖЕСТКОСТЬ УСЛОВИИ ЭКСПЛУАТАЦИИ ИЗОЛЯЦИОННЫХ МАТЕРИАЛОВ ОТНОСИТЕЛЬНО
ОПАСНОСТИ ТРЕКИНГА
Степень жесткости условий эксплуатации изоляционных материалов относительно опасности трекинга зависит от скорости накопления любого проводящего осадка и от времени, в течение которого изоляция подвергается воздействию электрического напряжения.
Установлены следующие степени жесткости:
1) Нормальные условия эксплуатации — условия, когда практически нет осаждения проводящего материала, а продолжительность воздействия электрического напряжения велика, или когда возможно незначительное осаждение проводящего материала, а продолжительность воздействия невелика.
Изоляционные материалы в большинстве бытовых приборов обычно не подвергаются осаждению проводящего материала.
В двигателях, испускающих собственную угольную пыль, или в выключающих устройствах, которые подвергаются осаждению проводящего материала, используемые изоляционные материалы, при условии, что после испытаний на износостойкость они выдерживают испытание на электрическую прочность изоляции, рассматриваются как материалы, подверженные незначительному осаждению проводящего материала.
В нормальных условиях эксплуатации могут быть применены материалы, имеющие контрольный индекс трекингостойкости ниже 175.
2) Жесткие условия эксплуатации — условия, когда возможно незначительное осаждение проводящего материала, а продолжительность воздействия электрического напряжения велика, или когда возможно значительное осаждение проводящего материала, а продолжительность электрического воздействия невелика.
Изоляционные материалы, используемые в нагревательных приборах, в которых воздух из жилого помещения обдувает эти материалы (например в тепловентиляторах), считаются подверженными незначительному осаждению проводящего материала и воздействию электрического напряжения в течение длительного промежутка времени.
Примечание. Время воздействия электрического напряжения между токоведущими частями разной полярности и между токоведущими и заземленными частями считается длительным в следующих случаях:
прибор предназначен для продолжительной работы;
на входе сетевых выключателей приборов, не предназначенных для непрерывной работы;
в приборах, оснащенных однополюсным выключателем или аналогичным устройством и подключаемых к сети с помощью реверсивной или подобной ей вилки.
Если отсутствует однополюсный выключатель, то предполагается, что у приборов, не предназначенных для продолжительной работы, отключение от сети питания проводится во всех полюсах с помощью выключателя в фиксированной проводке или с помощью вилки, и что не возникает возможность продолжительного подвержения электрическому напряжению.
ПРИЛОЖЕНИЯ Н—Р. (Введены дополнительно, Изм. № 1).
ИНФОРМАЦИОННЫЕ ДАННЫЕ
1. ПОДГОТОВЛЕН И ВНЕСЕН ТК 19 «Бытовые электроприборы»
2. УТВЕРЖДЕН И ВВЕДЕН В ДЕЙСТВИЕ Постановлением Госстандарта России от 13.08.92 № 960
Настоящий стандарт подготовлен методом прямого применения международного стандарта МЭК 967—88 «Одеяла электрические, подушки и аналогичные гибкие нагревательные приборы бытового назначения. Требования техники безопасности» и полностью ему соответствует
3. ВВВДЕН ВПЕРВЫЕ
4. ССЫЛОЧНЫЕ НОРМАТИВНО-ТЕХНИЧЕСКИЕ ДОКУМЕНТЫ
Обозначение НТД, на который дана ссылка | Номер пункта, приложения |
Приложение В | |
ГОСТ МЭК 730-1—95/ГОСТ Р МЭК 730-1-94 | 24.1 |
24.1 | |
24.3, 24.4 | |
22.24, 25.5, 25.7, 25.14 | |
11.6 | |
24.1 | |
14.1 | |
26.1 | |
24.1 | |
21.17 | |
24.1 | |
24.3, 24.4 | |
Приложение J | |
Приложение К | |
Приложение L | |
Приложение М | |
Приложение N |
5. ИЗДАНИЕ (декабрь 2000 г.) с Изменением № 1, утвержденным в апреле 1995 г. (ИУС 1—96)
Редактор М.И. Максимова Технический редактор В.Н. Прусакова Корректор М.С. Кабашова Компьютерная верстка С.В. Рябовой
Изд. лиц. № 02354 от 14.07.2000. Сдано в набор 22.11.2000. Подписано в печать 17.01.2001. Усл.печл. 9,30. Уч.-изд.л. 8,90.
Тираж 148 экз. С 105. Зак. 54.
ИПК Издательство стандартов, 107076, Москва, Колодезный пер., 14.
Набрано в Издательстве на ПЭВМ
Филиал ИПК Издательство стандартов — тип. “Московский печатник”, 103062, Москва, Лялин пер., 6.
Плр № 080102