ГОСТ 26473.0-85 Сплавы и лигатуры на основе ванадия. Общие требования к методам анализа

Обложка ГОСТ 26473.0-85 Сплавы и лигатуры на основе ванадия. Общие требования к методам анализа
Обозначение
ГОСТ 26473.0-85
Наименование
Сплавы и лигатуры на основе ванадия. Общие требования к методам анализа
Статус
Действует
Дата введения
1986.30.06
Дата отмены
-
Заменен на
-
Код ОКС
77.120.99


ГОСТ 26473.0-85

Группа B59



ГОСУДАРСТВЕННЫЙ СТАНДАРТ СОЮЗА ССР

СПЛАВЫ И ЛИГАТУРЫ НА ОСНОВЕ ВАНАДИЯ

Общие требования к методам анализа

Vanadium base alloys and alloying elements. General requirements for methods of analysis



ОКСТУ 1709

Срок действия с 01.07.86
до 01.07.91*
_______________________________
* Ограничение срока действия снято
постановлением Госстандарта СССР от 14.05.91 N 679
(ИУС N 8, 1991 год). - .

РАЗРАБОТАН Министерством цветной металлургии СССР

ИСПОЛНИТЕЛИ

Ю.А.Карпов, Е.Г.Намврина, В.Г.Мискарьянц, В.В.Недлер, В.М.Михайлов, Л.Г.Агапова, Г.Н.Андрианова, А.В.Антонов, В.Д.Десятков, М.А.Десяткова, Т.И.Кириллова, Л.И.Кирсанова, И.Е.Корепина, В.А.Орлова, Н.А.Разницина, Н.А.Суворова, Н.Л.Томашева, М.В.Шмидт, Л.Н.Филимонов

ВНЕСЕН Министерством цветной металлургии СССР

Член Коллегии А.П.Снурников

УТВЕРЖДЕН И ВВЕДЕН В ДЕЙСТВИЕ Постановлением Государственного комитета СССР по стандартам от 25 марта 1985 г. N 751

ВНЕСЕНО Изменение N 1, утвержденное и введенное в действие Постановлением Государственного комитета СССР по управлению качеством продукции и стандартам от 14.05.91 N 676 с 01.01.92

Изменение N 1 внесено изготовителем базы данных по тексту ИУС N 2, 1990 год

1. Настоящий стандарт устанавливает общие требования к методам анализа сплавов и лигатур на основе ванадия.

2. Отбор и подготовку проб к анализу проводят по нормативно-технической документации.

3. Для взятия навесок используют аналитические лабораторные весы ВЛР-20Г, технические весы ВПТ-1, торсионные весы ВТ-500 по ГОСТ 13718-68 или весы аналогичных типов.

4. Навески анализируемых проб и материала, используемого для приготовления образцов сравнения и стандартных растворов, а также осадки в гравиметрических методах взвешивают на аналитических весах с погрешностью не более 0,0002 г.

Навески индикаторов для приготовления растворов или индикаторных смесей взвешивают на аналитических или торсионных весах с погрешностью не более 0,001 г.

Навески реактивов для приготовления титрованных и вспомогательных растворов взвешивают на технических весах с погрешностью не более 0,01 г, а плавней - с погрешностью не более 0,1 г.

5. Для прокаливания и сплавления навесок анализируемых проб с плавнями применяют муфельные лабораторные электропечи МП-2УМ или печи аналогичного типа.

6. Для нагревания растворов применяют электрическую плитку с закрытой спиралью по ГОСТ 14919-83.

7. Для проведения анализа применяют мерную лабораторную посуду не ниже 2-го класса точности по ГОСТ 20292-74* (бюретки, пипетки) и ГОСТ 1770-74 (цилиндры, мензурки, колбы), а также стеклянную посуду (стаканы, колбы конические, воронки конические, эксикаторы и др.) по ГОСТ 25336-82, фарфоровую посуду и оборудование (тигли, лодочки, вставки для эксикаторов и др.) по ГОСТ 9147-80, посуду из прозрачного кварцевого стекла (тигли, колбы, пробирки и др.) по ГОСТ 19908-80, а также тигли и чашки из платины по ГОСТ 6563-75, посуду из стеклоуглерода марки СУ-2000.

________________

* На территории Российской Федерации действуют ГОСТ 29169-91, ГОСТ 29227-91-ГОСТ 29229-91, ГОСТ 29251-91-ГОСТ 29253-91. - .

8. Для приготовления растворов и проведения анализов применяют дистиллированную воду по ГОСТ 6709-72 и реактивы квалификации не ниже ч.д.а., если не указана иная квалификация.

9. Чистота металлов, применяемых для приготовления стандартных растворов, должна быть не менее 99,9%.

10. Допускается применение другой аппаратуры, материалов, посуды и реактивов при условии получения метрологических характеристик, не уступающих указанным в соответствующих стандартах на методы анализа.

11. В стандартах на методы анализа использованы массовая (грамм на дециметр кубический) и молярная (моль на дециметр кубический) концентрации растворов.

В выражении "разбавленная 1:1, 1:2 и т.д." первые цифры означают объемные части концентрированной кислоты или какого-либо раствора, вторые - объемные части воды.

12. При приготовлении растворов и проведении анализа после каждого добавления реактива раствор перемешивают.

13. Допускается последовательное определение нескольких элементов из одной навески после соответствующего разбавления и отбора аликвотных частей.

14. Массовую концентрацию стандартных растворов (при ее определении гравиметрическим методом), а также массовую концентрацию титранта по определяемому элементу и соотношение объемов растворов (в титриметрических методах) устанавливают и рассчитывают как усредненный результат не менее трех параллельных определений. Расчет проводят до четвертой значащей цифры.

15. При фотометрических определениях строят градуировочные графики, на оси абсцисс которых откладывают массу определяемого компонента в микрограммах в общем объеме фотометрируемого раствора, а на оси ординат - усредненные значения оптических плотностей соответствующих им растворов, которые находят, проводя процедуру приготовления растворов для построения градуировочного графика и измерение их оптических плотностей не менее трех раз.

При построении градуировочного графика и проведении анализа используют одни и те же реактивы и растворы. Одновременно с проведением анализа партии проб проверяют градуировочный график, повторяя процедуру его построения.

Способ и условия построения градуировочного графика указаны в соответствующих стандартах на методы анализа.

16. При фотометрических определениях допускается пользоваться градуировочными факторами, если предварительно установлено, что для данных конкретных условий анализа (данного метода, данной аппаратуры и данного интервала массовых долей) градуировочный график прямолинеен во всем рабочем интервале концентраций.

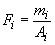
Для каждого определяемого элемента градуировочный фактор () определяют по нескольким (не менее трех) стандартным фотометрируемым растворам. Масса определяемого элемента в объеме стандартного фотометрируемого раствора должна быть либо равна массе определяемого элемента в объеме анализируемого фотометрируемого раствора, либо превышать ее не более чем в 1,2 раза, либо быть меньше ее не более чем в 1,2 раза.

Градуировочный фактор () для каждого стандартного фотометрируемого раствора определяемого компонента вычисляют по формуле

,

где - масса определяемого компонента в -том стандартном фотометрируемом растворе, мкг;

- оптическая плотность -того раствора с массой определяемого компонента .

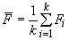
По всем полученным значениям градуировочного фактора находят среднее арифметическое значение

,


где - число стандартных фотометрируемых растворов.

17. Условия получения градуировочных характеристик для рентгенофлуоресцентного, атомно-абсорбционного и спектрального методов указаны в соответствующих стандартах на методы анализа.

18. За результат анализа принимают среднее арифметическое значение результатов двух параллельных определений, каждое из которых выполнено из отдельной навески.

Числовое значение результата анализа должно оканчиваться цифрой того же разряда, что и соответствующее значение допускаемого расхождения.

19. Разность наибольшего и наименьшего из результатов параллельных определений и разность наибольшего и наименьшего из двух результатов анализа должна не превышать значений допускаемых расхождений, указанных в каждом стандарте на метод определения соответствующего элемента для доверительной вероятности 0,95.

20. В стандартах на методы анализа приведены (в виде таблиц) допускаемые расхождения для нескольких значений массовой доли определяемого элемента. Допускаемые расхождения для промежуточных значений массовой доли определяемого элемента рассчитывают методом линейной интерполяции.

21. Анализ повторяют, если разность между наибольшим и наименьшим результатами параллельных определений или между результатами анализов превышает значение допускаемого расхождения.

22. Точность анализа контролируют, используя стандартные образцы состава, в которых аттестованное значение массовой доли каждого из определяемых компонентов отличается от массовой доли того же компонента в анализируемой пробе не более чем в два раза, а массовые доли сопутствующих компонентов, влияющих на результаты анализа, составляют не менее половины предельных массовых долей соответствующих компонентов, указанных в соответствующих стандартах.

Результат анализа считают правильным, если абсолютное значение разности между найденной массовой долей определяемого компонента в стандартном образце и соответствующим аттестованным значением, указанным в свидетельстве на стандартный образец, не превышает допускаемого расхождения, установленного соответствующим стандартом на методы анализа.

Допускается контролировать точность анализа по стандартным образцам состава и по стандартным образцам предприятий, аттестованным в соответствии с ГОСТ 8.315-78.

При отсутствии стандартных образцов состава применяют следующие способы контроля.

22.1. При наличии (для одних и тех же значений массовой доли определяемого компонента) двух методов анализа при контроле точности результатов сопоставляют результаты анализа одной (контрольной) пробы, полученные двумя методами.

Результаты анализа серии проб считают правильными, если для одной из них (контрольной) удовлетворяется неравенство

,

где - абсолютное значение разности результатов анализа контрольной пробы, полученное двумя методами;

и - допускаемые расхождения между результатами двух анализов, соответствующие используемым методам анализа.

22.2. Точность фотометрического, титриметрического, спектрального методов анализа (ГОСТ 26473.1-85, ГОСТ 26473.2-85, ГОСТ 26473.3-85, ГОСТ 26473.4-85, ГОСТ 26473.6-85, ГОСТ 26473.7-85, ГОСТ 26473.8-85, ГОСТ 26473.9-85) контролируют, используя синтетические смеси, имитирующие состав анализируемых образцов.

Готовят синтетические смеси двух составов, отличающихся содержанием определяемого компонента: из металлов - основы сплава (лигатуры) и других его компонентов, массовая доля которых в сплаве (лигатуре) не менее 1%. Для этого в кварцевый тигель или коническую колбу вводят пипеткой необходимый объем стандартного раствора, содержащего 1 мг/см определяемого компонента. Раствор выпаривают при слабом нагревании (не допускать разбрызгивания) до объема 0,3-0,5 см. Затем в раствор вводят основу сплава и другие его компоненты, массы которых равны массам соответствующих металлов в аналитической навеске сплава, при максимальном содержании этих металлов, допускаемом нормативно-технической документацией, которая регламентирует требования к химическому составу сплавов данной марки (при массе более 10 мг вводят навеску металла, при массе менее 10 мг - известный объем стандартного раствора).

При приготовлении синтетической смеси первого состава вводят такой объем стандартного раствора определяемого компонента, в котором масса этого компонента соответствует массе определяемого компонента в аналитической навеске сплава с минимальным его содержанием, допускаемым методом анализа.

При приготовлении синтетической смеси второго состава вводят такой объем стандартного раствора определяемого компонента, в котором масса этого компонента соответствует массе определяемого компонента в аналитической навеске сплава с максимальным его содержанием, допускаемым методом анализа.

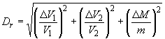
При приготовлении синтетических смесей относительная погрешность введения определяемого компонента должна быть не больше , где - допускаемое расхождение между результатами двух параллельных определений этого компонента в синтетической смеси; - среднее арифметическое результатов двух параллельных определений (результат анализа) определяемого компонента в синтетической смеси.

Относительную погрешность введения определяемого компонента () вычисляют по формуле.

,


где - максимальная погрешность градуировки мерной колбы (0,95);

- объем мерной колбы, см;

- максимальная погрешность отбора этого объема (с 0,95);

- объем аликвотной части раствора компонента, взятый для изготовления синтетической смеси, см;

- максимальная погрешность оценки фактического значения массы определяемого компонента (0,95) в синтетической смеси с учетом погрешности взвешивания вещества, в виде которого компонент вводится в синтетическую смесь, погрешности установления содержания определяемого компонента в этом веществе и погрешности оценки из-за возможного присутствия определяемого компонента в других веществах, используемых для приготовления синтетической смеси;

- расчетная масса определяемого компонента в веществе, взятом для приготовления раствора этого компонента.

Готовят по две синтетические смеси указанного выше состава и анализируют их соответствующим методом.

Результаты анализа серии проб считают правильными, если найденное значение массовой доли определяемого компонента в смеси каждого состава отличается от расчетного значения массовой доли не более чем на значения допускаемого расхождения.

Расчетное значение массовой доли вычисляют как процентное отношение массы определяемого компонента в объеме стандартного раствора, введенном при приготовлении синтетической смеси, к массе аналитической навески пробы с

плава.

23. Допускается контролировать точность результатов анализа для фотометрических, гравиметрических, титриметрических, атомно-абсорбционного и спектрального методов методом варьирования навесок. При этом из серии анализируемых проб берут две навески одной (контрольной) пробы, имеющие массу, в два раза меньшую указанной в соответствующем стандарте на методы анализа, и проводят все операции анализа, соблюдая оптимальные условия проведения анализа, предусмотренные стандартом на методы анализа.

Результаты анализа серии проб считают правильными, если абсолютное значение разности обоих результатов контрольной пробы (вычисленных, как среднее арифметическое двух параллельных определений из навесок массой, предусмотренной соответствующим методом анализа и в два раза меньшей) не превышает значения , где - допускаемое расхождение результатов двух анализов для определяемой массовой доли.

24. Допускается контролировать правильность результатов анализа для фотометрических, гравиметрических, титриметрических, атомно-абсорбционного и спектрального методов введением добавок. При этом из серии анализируемых проб выбирают (контрольную) пробу с найденной массовой долей определяемого компонента.

По найденному значению массовой доли () в процентах вычисляют массу () в граммах определяемого компонента по формуле:

,


где - масса анализируемой навески, г.

В кварцевый тигель или коническую колбу (в зависимости от дальнейшего проведения анализа) вводят пипеткой такой объем стандартного раствора определяемого компонента, масса определяемого компонента в котором удовлетворяет требованию (, г - добавка).

Раствор осторожно выпаривают (не допускать разбрызгивания!) до 0,3-0,5 см, добавляют навеску анализируемой пробы и проводят анализ, соблюдая оптимальные условия его проведения, предусмотренные соответствующим методом.

Результаты анализа серии проб считают правильными, если абсолютное значение разности () найденного значения массовой доли определяемого компонента (, %) в пробе с добавкой и расчетного значения этой массовой доли (, %) не превышает значения

(при 2),

где и - допускаемые расхождения результатов параллельных определений для массовой доли компонента в пробе и в пробе с добавкой соответственно.

Расчетное значение массовой доли () вычисляют по формуле

,


где - масса определяемого компонента в контрольной пробе, г;

- масса добавки, г;

- масса анализируемой навески, г.

25. Проверку точности анализа серии проб данной марки сплавов или лигатур проводят в соответствии с требованиями, приведенными в методике, по мере поступления на анализ соответствующих проб с использованием тех же реактивов, растворов, аппаратуры, материалов, которые использованы при анализе пробы (серии проб).

18-25. (Измененная редакция, Изм. N 1).

26. Требования безопасности при проведении химического анализа сплавов и лигатур на основе ванадия - по нормативно-технической документации.

Порядок и виды обучения работающих безопасности труда - по ГОСТ 12.0.004-79*.

______________

* На территории Российской Федерации действует ГОСТ 12.0.004-90. - .

Электронный текст документа
и сверен по:

Сплавы и лигатуры на основе ванадия.
Методы анализа: Сб. ГОСТов.
ГОСТ 26473.0-85-ГОСТ 26473.13-85. -
М.: Издательство стандартов, 1985

Редакция документа с учетом

изменений и дополнений

подготовлена