ГОСТ 15027.2-77
Группа В59
МЕЖГОСУДАРСТВЕННЫЙ СТАНДАРТ
БРОНЗЫ БЕЗОЛОВЯННЫЕ
Методы определения алюминия
Non-tin bronze.
Method for the determination of aluminium
ОКСТУ 1709
Дата введения 1979-01-01
ИНФОРМАЦИОННЫЕ ДАННЫЕ
1. РАЗРАБОТАН И ВНЕСЕН Министерством цветной металлургии СССР
2. УТВЕРЖДЕН И ВВЕДЕН В ДЕЙСТВИЕ Постановлением Государственного комитета стандартов Совета Министров СССР от 28.06.77 N 1614
3. ВЗАМЕН ГОСТ 15027.2-69
4. Стандарт полностью соответствует СТ СЭВ 1532-79
5. ССЫЛОЧНЫЕ НОРМАТИВНО-ТЕХНИЧЕСКИЕ ДОКУМЕНТЫ
Обозначение НТД, на который дана ссылка | Номер раздела, пункта |
2.2, 3.2, 3а.2, 4.2, 5.2 | |
3.2, 3б.2, 4.2, 5.2 | |
2.2 | |
Вводная часть | |
Вводная часть | |
2.2, 3.2, 3б.2 | |
4.2, 5.2 | |
2.2, 3.2, 3а.2, 4.2, 5.2 | |
2.2, 3.2, 3а.2, 3б.2, 4.2, 6.2, 7.2 | |
2.2, 3а.2, 4.2, 5.2 | |
4.2, 5.2 | |
4.2, 6.2 | |
3.2, 3а.2, 3б.2, 4.2, 5.2 | |
5.2 | |
3.2, 3а.2, 6.2 | |
4.2 | |
2.2, 3.2, 3а.2, 3б.2, 4.2, 5.2, 6.2, 7.2 | |
2.2, 3.2 | |
2.2, 3.2, 3а.2, 3б.2 | |
3а.2 | |
5.2 | |
3б.2, 4.2, 5.2 | |
2.2, 4.2 | |
4.2 | |
2.2, 3.2, 3а.2, 3б.2 | |
3.2, 6.2, 7.2 | |
ГОСТ 11069-74 | 2.2, 3.2, 3а.2, 4.2, 6.2, 7.2 |
4.3.1, 4.3.2, 5.3, 6.3.1, 6.3.2 | |
Вводная часть | |
2.2, 3.2, 3б.2, 5.2 | |
5.2 | |
5.2 | |
1.1, 2.4.4, 4.4.4, 6.4.4. | |
ТУ 6-09-5077-87 | 6.2, 7.2 |
ТУ 6-09-53-59-87 | 4.2 |
ТУ 6-09-5413-88 | 4.2 |
6. Ограничение срока действия снято по протоколу N 3-93 Межгосударственного Совета по стандартизации, метрологии и сертификации (ИУС 5-6-93)
7. ИЗДАНИЕ с Изменениями N 1, 2, утвержденными в феврале 1983 г., марте 1988 г. (ИУС 6-83, 6-88)
Настоящий стандарт устанавливает титриметрические методы определения алюминия с визуальной или амперометрической индикацией конечной точки титрования, с отделением алюминия от мешающих элементов на ртутном катоде и с отделением алюминия от меди электролизом с платиновыми электродами (при массовой доле алюминия от 3,0% до 13%), фотометрический метод определения алюминия (при массовой доле алюминия от 0,005% до 0,25%), гравиметрический метод определения алюминия (при массовой доле алюминия от 3% до 13%) и атомно-абсорбционный метод определения алюминия (при массовой доле алюминия от 0,01 до 0,25% и от 3% до 13%) в бронзах безоловянных по ГОСТ 18175, ГОСТ 614 и ГОСТ 493.
(Измененная редакция, Изм. N 2).
1. ОБЩИЕ ТРЕБОВАНИЯ
1.1. Общие требования к методам анализа - по ГОСТ 25086 с дополнением по разд.1 ГОСТ 15027.1.
(Измененная редакция, Изм. N 2).
2. ТИТРИМЕТРИЧЕСКИЙ МЕТОД ОПРЕДЕЛЕНИЯ АЛЮМИНИЯ
С ВИЗУАЛЬНОЙ ИНДИКАЦИЕЙ КОНЕЧНОЙ ТОЧКИ ТИТРОВАНИЯ
2.1. Сущность метода
Метод основан на введении в раствор пробы избытка раствора трилона Б, образующего комплексы со всеми компонентами сплава, титровании избытка в присутствии индикатора 1-(2-пиридилазо)-2-нафтола, разложении комплексоната алюминия добавлением фторида аммония или натрия и титровании трилона Б, выделившегося в количестве, эквивалентном содержанию алюминия.
2.2. Аппаратура, реактивы и растворы
Кислота азотная по ГОСТ 4461, разбавленная 1:1.
Кислота соляная по ГОСТ 3118, разбавленная 1:1.
Аммиак по ГОСТ 3760, разбавленный 1:1.
Кислота уксусная по ГОСТ 61.
Аммоний уксуснокислый по ГОСТ 3117, раствор 200 г/дм.
Соль динатриевая этилендиамин-N, N, N', N'-тетрауксусной кислоты 2-водная (трилон Б) по ГОСТ 10652.
1-(2-Пиридилазо)-2 нафтол (ПАН), спиртовой раствор 1 г/дм.
Спирт этиловый ректификованный по ГОСТ 18300.
Натрий фтористый по ГОСТ 4463.
Аммоний фтористый по ГОСТ 4518, раствор 100 г/дм.
Мочевина по ГОСТ 6691, раствор 100 г/дм.
Медь по ГОСТ 859, марки М0 и М00.
Стандартный раствор меди, 0,05 моль/дм; готовят следующим образом: 3,177 г меди растворяют в 30 см
азотной кислоты, разбавленной 1:1. После растворения кипятят раствор до удаления окислов азота, охлаждают, нейтрализуют аммиаком до появления неисчезающего осадка, который растворяют добавлением уксусной кислоты, и разбавляют до 1 дм
.
Алюминий марки А999 по ГОСТ 11069.
Стандартный раствор алюминия; готовят растворением 1 г алюминия в 10 см соляной кислоты, разбавленной 1:1, переносят в мерную колбу вместимостью 1 дм
и до метки доливают водой.
1 см раствора содержит 0,001 г алюминия.
Определение титра раствора меди
Отбирают 20 см стандартного раствора алюминия в коническую колбу вместимостью 500 см
, разбавляют водой до 50-60 см
, нейтрализуют аммиаком до образования неисчезающего осадка, который растворяют добавлением соляной кислоты и сверх этого приливают еще две капли в избыток. Добавляют 20 см
раствора трилона Б, 100-250 см
горячей воды и нагревают до кипения. В горячий раствор приливают 10 см
раствора уксуснокислого аммония, 0,5 см
раствора ПАН и титруют горячий раствор стандартным раствором меди до перехода зеленой окраски раствора в синюю, затем добавляют 1 г фторида натрия (или аммония), кипятят 5 мин и снова титруют раствором меди до перехода зеленой окраски раствора в синюю.
Титр раствора (), выраженный в граммах алюминия на 1 см
раствора, вычисляют по формуле
,
где - масса алюминия, соответствующая аликвотной части, отобранной для титрования, г;
- объем раствора меди, израсходованный на второе титрование, см
.
2.3. Проведение анализа
Навеску сплава массой 0,5 г (при массовой доле алюминия до 5%) и 0,25 г (при массовой доле алюминия свыше 5%) растворяют при нагревании в конической колбе вместимостью 500 см в 20 см
азотной кислоты, добавляют 50-60 см
воды и кипятят для удаления окислов азота, затем охлаждают, добавляют 10 см
раствора мочевины и нейтрализуют раствор аммиаком до образования неисчезающего осадка, который затем растворяют добавлением соляной кислоты, и сверх этого приливают две капли соляной кислоты в избыток и далее анализ ведут, как указано в п.2.2 при определении титра раствора меди.
2.4. Обработка результатов
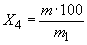
2.4.1. Массовую долю алюминия () в процентах вычисляют по формуле
,
где - объем раствора меди, израсходованный на второе титрование, см
;
- титр раствора меди, выраженный в граммах алюминия на 1 см
раствора;
- масса навески сплава, г.
2.4.2. Абсолютные расхождения результатов параллельных определений ( - показатель сходимости) не должны превышать допускаемых значений, приведенных в табл.1.
Таблица 1*
Массовая доля алюминия, % |
|
|
От 0,005 до 0,01 | 0,002 | 0,005 |
Св. 0,01 " 0,03 | 0,003 | 0,007 |
" 0,03 " 0,05 | 0,005 | 0,012 |
" 0,05 " 0,10 | 0,008 | 0,02 |
" 0,10 " 0,15 | 0,010 | 0,02 |
" 0,15 " 0,25 | 0,015 | 0,04 |
От 3,0 до 5,0 | 0,07 | 0,2 |
Св. 5,0 " 7,0 | 0,10 | 0,2 |
" 7,0 " 9,0 | 0,12 | 0,3 |
" 9,0 " 11,0 | 0,15 | 0,4 |
" 11,0 " 13,0 | 0,20 | 0,5 |
___________________
* Табл.2. (Исключена, Изм. N 1).
(Измененная редакция, Изм. N 2).
2.4.3. Абсолютные расхождения результатов анализа, полученных в двух различных лабораториях, или двух результатов анализа, полученных в одной лаборатории, но при различных условиях ( - показатель воспроизводимости), не должны превышать значений, приведенных в табл.1.
2.4.4. Контроль точности результатов анализа
Контроль точности результатов анализа проводят по Государственным стандартным образцам безоловянных бронз, аттестованным в установленном порядке, или сопоставлением результатов анализа, полученных титриметрическим и гравиметрическим или атомно-абсорбционным методами в соответствии с ГОСТ 25086.
2.4.3, 2.4.4. (Введены дополнительно, Изм. N 2).
3. ТИТРИМЕТРИЧЕСКИЙ МЕТОД ОПРЕДЕЛЕНИЯ АЛЮМИНИЯ
С АМПЕРОМЕТРИЧЕСКОЙ ИНДИКАЦИЕЙ КОНЕЧНОЙ ТОЧКИ ТИТРОВАНИЯ
3.1. Сущность метода
Метод основан на введении в раствор пробы избытка раствора трилона Б, образующего комплекс со всеми компонентами сплава, титровании избытка раствором азотнокислой меди, разложении комплексоната алюминия добавлением фторида аммония или натрия и титровании трилона Б, выделившегося в количестве, эквивалентном содержанию алюминия.
3.2. Аппаратура, реактивы и растворы
рН-метр со всеми принадлежностями типа ЛПУ-01 или рН-340.
Потенциометр типа ЛПМ-60 с ценой деления шкалы 5 мВ.
Микроамперметр типа М-95 (шкала на 25 мкА).
Аккумулятор напряжением 2 В или сухая батарея того же напряжения.
Переменное сопротивление мощностью 1 мОм.
Два платиновых электрода, изготовленных из проволоки диаметром 0,8-1 мм, впаянной в стеклянную трубку. Длина рабочей части электрода 30-35 мм.
Магнитная мешалка.
Бюретка вместимостью 25 см с тонкооттянутым носиком.
Микробюретка вместимостью 1 см с оттянутым носиком.
Кислота азотная по ГОСТ 4461 и разбавленная 1:1.
Кислота соляная по ГОСТ 3118 и разбавленная 1:1 и 1:5.
Смесь для растворения; готовят смешиванием трех объемов концентрированной соляной кислоты с одним объемом концентрированной азотной кислоты.
Кислота соляная по ГОСТ 4204.
Соль динатриевая этилендиамин-N, N, N', N'-тетрауксусной кислоты 2-водная (трилон Б) по ГОСТ 10652, 0,2 моль/дм готовят следующим образом: 74,4 трилона Б растворяют в 1 дм
воды.
Уротропин (гексаметилентетрамин).
Медь марки М0 по ГОСТ 859.
Стандартный раствор меди; готовят растворением 3,177 г меди в 20 см азотной кислоты, разбавленной 1:1, и разбавлением полученного раствора до 1 дм
водой в мерной колбе.
Натрий фтористый по ГОСТ 4463, раствор 25 г/дм.
Перекись водорода по ГОСТ 10929.
Смесь для обновления поверхности электрода; готовят добавлением в соляную кислоту, разбавленную 1:5, несколько капель перекиси водорода.
Алюминий марки А999 по ГОСТ 11069.
Стандартный раствор алюминия; готовят растворением 1 г алюминия в 20 см соляной кислоты, разбавленной 1:1. После растворения раствор переводят в мерную колбу вместимостью 1 дм
и доливают до метки водой.
1 см раствора содержит 1 мг алюминия.
Марганец сернокислый (II) по ГОСТ 435, содержащий 1 мг/см марганца; готовят следующим образом: 2,75 г соли растворяют в 1 дм
воды.
Установка для титриметрического определения алюминия с ампераметрической индикацией конца титрования (см. чертеж).

Установка состоит из следующих элементов: стакан 1 вместимостью 250-300 см для анализируемого раствора; двух платиновых индикаторных электродов 2 длиной 17-20 мм; магнитной мешалки 3 для перемешивания раствора в процессе титрования; источника заданного тока аккумулятора или сухой батареи 8; переменного сопротивления 6 мощностью 1 мОм для установления поляризующего тока 2-10 мкА; микроамперметра 7, последовательно включенного в цепь; потенциометра 5, включенного параллельно в цепь, для измерения напряжения на электродах; бюретки 4.
Цена деления шкалы потенциометра должна быть не менее 5 мВ, что при скачке потенциала в точке эквивалентности обеспечивает отклонение стрелки по шкале прибора не менее чем на 20-25 делений.
Такой скачок фиксируется с высокой точностью. Титрант (раствор азотнокислой меди) поступает в стакан из бюретки вместимостью 25 см, а в непосредственной близости к точке эквивалентности титрант подают по каплям из микробюретки.
Значение рН титруемого раствора устанавливают по рН-метру. Установление рН по кислотно-основному индикатору или индикаторной бумаге не обеспечивает необходимой точности титрования, особенно в случае титрования окрашенных растворов.
Для титриметрического определения алюминия можно пользоваться установкой ПАТ.
Установка титра стандартного раствора меди
Навеску меди массой 0,2 г помещают в стакан вместимостью 250 см, добавляют 10 см
стандартного раствора алюминия и растворяют медь в 3 см
азотной кислоты, разбавленной 1:1. После растворения навески раствор выпаривают до объема около 1 см
, добавляют 40 см
воды, 1 см
раствора соли марганца и 20 см
раствора трилона Б.
Устанавливают рН раствора 6,0-6,2 (по хлор-серебряному электроду на рН-метре), добавляя уротропин небольшими порциями. Раствор кипятят 5 мин, охлаждают, устанавливают стакан на магнитную мешалку, погружают в раствор платиновые электроды, с помощью переменного сопротивления устанавливают в цепи ток 2-10 мкА, включают потенциометр и устанавливают стрелку на шкале потенциометра таким образом, чтобы она находилась посередине шкалы. Оттитровывают избыток трилона Б стандартным раствором меди в непрерывно перемешиваемом растворе. Титрант поступает в стакан приблизительно со скоростью 1 см/мин. К концу титрования стандартный раствор меди добавляют по каплям. Титрование считают законченным, когда от добавления одной капли титранта (раствора меди) стрелка потенциометра отклонится влево не менее чем на 20 делений шкалы (100 мВ).
После первого титрования в раствор добавляют 20 см раствора фторида натрия, устанавливают рН 6,0-6,2 добавлением нескольких капель азотной кислоты, разбавленной 1:1, или уротропина и кипятят раствор 2 мин. После охлаждения раствор титруют стандартным раствором меди так же, как в случае связывания избытка трилона Б. Последние порции титранта в пределах 1 см
добавляют из микробюретки и определяют конечную точку титрования амперометрически, как описано выше.
Для установления титра стандартного раствора меди описанное выше определение повторяют не менее пяти раз.
Титр стандартного раствора меди (), выраженный в граммах алюминия на миллиметр, вычисляют по формуле
,
где - объем стандартного раствора меди, израсходованный на второе титрование, см
.
3.3. Проведение анализа
Навеску сплава массой 0,2 г растворяют в 3 см смеси кислот для растворения. После растворения добавляют 1,5 см
серной кислоты и выпаривают раствор до начала выделения густого белого дыма серной кислоты. Объем раствора после выпаривания должен составлять не более 1 см
. Стакан охлаждают, добавляют 40 см
воды, 20 см
раствора трилона Б и далее анализ ведут, как указано в п.3.2.
3.4. Обработка результатов
3.4.1. Массовую долю алюминия () в процентах вычисляют по формуле
,
где - титр стандартного раствора меди, выраженный в г/см
алюминия;
- объем стандартного раствора меди, израсходованный на второе титрование, см
;
- масса навески сплава, г.
3.4.2. Абсолютные расхождения результатов параллельных определений ( - показатель сходимости) не должны превышать допускаемых значений, приведенных в табл.1.
(Измененная редакция, Изм. N 2).
3.4.2а. Абсолютные расхождения результатов анализа, полученных в двух различных лабораториях, или двух результатов анализа, полученных в одной лаборатории, но при различных условиях ( - показатель воспроизводимости), не должны превышать значений, приведенных в табл.1.
3.4.2б. Контроль точности результатов анализа проводят по п.2.4.4.
3.4.2а, 3.4.2б. (Введены дополнительно, Изм. N 2).
3.4.3. При разногласиях в оценке качества бронз применяют данный метод.
3а. ТИТРИМЕТРИЧЕСКИЙ МЕТОД ОПРЕДЕЛЕНИЯ АЛЮМИНИЯ
С ОТДЕЛЕНИЕМ АЛЮМИНИЯ ОТ МЕШАЮЩИХ ЭЛЕМЕНТОВ НА РТУТНОМ КАТОДЕ
3а.1. Сущность метода
Метод основан на введении в раствор пробы избытка раствора трилона Б, образующего комплекс с алюминием, титровании избытка раствором хлористого цинка в присутствии ксиленолового оранжевого, разложении комплексоната алюминия, добавлением фторида натрия и титровании трилона Б, выделившегося в количестве, эквивалентном содержанию алюминия. Алюминий предварительно отделяют от основных компонентов сплава на ртутном катоде.
3а.2. Аппаратура, реактивы и растворы
Установка для электролиза с ртутным катодом.
Кислота азотная по ГОСТ 4461.
Кислота соляная по ГОСТ 3118 и разбавленная 1:1.
Кислота серная по ГОСТ 4204 и разбавленная 1:1.
Смесь кислот для растворения; готовят следующим образом: три объема соляной кислоты смешивают с одним объемом азотной кислоты.
Кислота уксусная по ГОСТ 61.
Аммиак водный по ГОСТ 3760, разбавленный 1:1.
Натрий фтористый по ГОСТ 4518, насыщенный раствор.
Аммоний уксуснокислый по ГОСТ 3117.
Натрий хлористый по ГОСТ 4233.
Ксиленоловый оранжевый.
Смесь ксиленолового оранжевого с хлористым натрием в соотношении 1:100.
Буферный раствор рН 5,5-6; готовят следующим образом: 500 г уксуснокислого аммония и 20 см уксусной кислоты растворяют в воде и доливают водой до объема 1000 см
.
Соль динатриевая этилендиамин-N, N, N', N'-тетрауксусной кислоты 2-водная (трилон Б) по ГОСТ 10652, 0,1 моль/дм; готовят следующим образом: 37,21 г трилона Б растворяют в воде при нагревании, переносят в мерную колбу вместимостью 1000 см
и доливают водой до метки.
Алюминий по ГОСТ 11069 с массовой долей алюминия не менее 99,9%.
Стандартный раствор алюминия; готовят следующим образом: 0,1 г алюминия растворяют в 5 см соляной кислоты, разбавленной 1:1, охлаждают, переносят в мерную колбу вместимостью 100 см
и доливают водой до метки.
1 см раствора содержит 0,001 г алюминия.
Цинк хлористый по ГОСТ 4529, раствор 0,1 моль/дм готовят следующим образом: 13,63 г хлористого цинка растворяют в 100 см
воды, подкисленной 5 см
соляной кислоты, переносят в мерную колбу вместимостью 1000 см
и доливают водой до метки.
Определение титра раствора хлористого цинка.
Отбирают 20 см стандартного раствора алюминия в коническую колбу вместимостью 500 см
, разбавляют водой до объема 100 см
, доливают 20 см
раствора трилона Б, кипятят 2-3 мин и добавляют по каплям аммиак до получения рН 5,5-6 по универсальной индикаторной бумаге. Раствор охлаждают, добавляют 10 см
буферного раствора, около 0,1 г смеси ксиленолового оранжевого с хлористым натрием и оттитровывают избыток трилона Б раствором хлористого цинка до розово-фиолетовой окраски. Затем добавляют 20 см
раствора фтористого натрия, кипятят, охлаждают и вновь титруют раствором хлористого цинка до получения розово-фиолетовой окраски.
Титр раствора хлористого цинка (), выраженный в граммах алюминия на 1 см
, вычисляют по формуле
,
где - масса алюминия, соответствующая аликвотной части раствора, отобранной для титрования, г;
- объем раствора хлористого цинка, израсходованный на второе титрование, см
.
3а.3. Проведение анализа
Навеску сплава массой 1 г (при массовой доле алюминия до 6%) и 0,5 г (при массовой доле алюминия свыше 6%) помещают в стакан вместимостью 250 см и растворяют в 15 см
смеси кислот для растворения при нагревании.
После растворения ополаскивают стенки стакана водой, добавляют 5 см серной кислоты, разбавленной 1:1 и раствор выпаривают до появления белого дыма серной кислоты. Остаток охлаждают, добавляют 50 см
воды и кипятят до растворения солей. Раствор охлаждают и, если образовался осадок, то его отфильтровывают на фильтр средней плотности и промывают горячей водой, подкисленной несколькими каплями серной кислоты. Фильтрат разбавляют водой до объема 100 см
, переносят в сосуд установки для электролиза с ртутным катодом и ведут электролиз при плотности тока 1,5-2 А/дм
и напряжении 5-6 В при одновременном перемешивании раствора. Электролиз ведут до исчезновения реакции на ион меди. После окончания электролиза раствор переносят в стакан и ополаскивают стенки сосуда несколько раз водой. Раствор фильтруют через фильтр средней плотности в коническую колбу вместимостью 500 см
, промывая фильтр с осадком несколько раз водой. К фильтрату добавляют в избытке раствор трилона Б (приблизительно 40 см
), кипятят и добавляют по каплям раствор аммиака до получения рН 5,5-6 по индикаторной бумаге, далее анализ проводят, как указано в п.3а.2 при определении титра раствора хлористого цинка.
3а.4. Обработка результатов
3а.4.1. Массовую долю алюминия () в процентах вычисляют по формуле
,
где - объем раствора хлористого цинка, израсходованный на второе титрование, см
;
- титр раствора хлористого цинка по алюминию, г/см
;
- масса навески сплава, г.
3а.4.2. Абсолютные расхождения результатов параллельных определений ( - показатель сходимости) не должны превышать допускаемых значений, приведенных в табл.1.
(Измененная редакция, Изм. N 2).
3а.4.3. Абсолютные расхождения результатов анализа, полученных в двух различных лабораториях, или двух результатов анализа, полученных в одной лаборатории, но при различных условиях ( - показатель воспроизводимости), не должны превышать значений, приведенных в табл.1.
3а.4.4. Контроль точности результатов анализа проводят по п.2.4.4.
3а.4.3, 3а.4.4. (Введены дополнительно, Изм. N 2).
3б. ТИТРИМЕТРИЧЕСКИЙ МЕТОД ОПРЕДЕЛЕНИЯ АЛЮМИНИЯ
С ОТДЕЛЕНИЕМ АЛЮМИНИЯ ОТ МЕДИ ЭЛЕКТРОЛИЗОМ
С ПЛАТИНОВЫМИ ЭЛЕКТРОДАМИ
3б.1. Сущность метода
Метод основан на введении в раствор пробы избытка раствора трилона Б, образующего комплекс с алюминием и другими элементами, титровании избытка раствором азотнокислой меди в присутствии 1-(2-пиридилазо)-2-нафтола (ПАН), разложении комплексоната алюминия добавлением фторида натрия и титровании трилона Б, выделившегося в количестве, эквивалентном содержанию алюминия.
Алюминий предварительно отделяют от меди электролизом с платиновыми электродами.
3б.2. Аппаратура, реактивы и растворы
Установка для электролиза с сетчатыми платиновыми электродами по ГОСТ 6563.
Медь по ГОСТ 859, марок М0 и М00.
Смесь кислот для растворения; готовят следующим образом: три объема соляной кислоты смешивают с одним объемом азотной кислоты.
Кислота азотная по ГОСТ 4461 и разбавленная 1:1 и 1:99.
Кислота соляная по ГОСТ 3118.
Кислота серная по ГОСТ 4204, разбавленная 1:1.
Стандартный раствор меди: 0,1 моль/дм раствор; готовят следующим образом: 6,3540 г меди растворяют в 60 см
азотной кислоты, разбавленной 1:1. После растворение раствор кипятят до удаления окислов азота и осторожно выпаривают раствор до объема около 10 см
. Раствор охлаждают и переносят в мерную колбу вместимостью 1000 см
, добавляют водой до метки и перемешивают.
Натрий фтористый по ГОСТ 4518, насыщенный раствор.
Спирт этиловый ректификованный по ГОСТ 18300.
Натрий уксуснокислый по ГОСТ 199, 500 г/дм.
1-(2-Пиридилазо-2-нафтал (ПАН), спиртовой раствор 1 г/дм.
Соль динатриевая этилендиамин-N, N, N', N'-тетрауксусной кислоты 2-водная (трилон Б) по ГОСТ 10652, 0,25 моль/дм, раствор; готовят следующим образом: 93,002 г трилона Б растворяют в 500 см
воды при нагревании, раствор охлаждают, переносят в мерную колбу вместимостью 1000 см
, доливают водой до метки и перемешивают.
3б.3. Проведение анализа
Навеску сплава массой 0,5-1 г помещают в стакан вместимостью 300 см и растворяют в 15 см
смеси кислот для растворения при нагревании.
После растворения ополаскивают стенки стакана водой, добавляют 5 см серной кислоты, разбавленной 1:1, и раствор выпаривают до появления белого дыма серной кислоты. Остаток охлаждают, ополаскивают стенки стакана водой и вновь выпаривают до появления белого дыма серной кислоты. Остаток охлаждают, добавляют 50 см
воды и растворяют соли при нагревании, если образовался осадок, то его отфильтровывают на фильтр средней плотности, промывают горячей водой, подкисленной несколькими каплями серной кислоты.
Раствор разбавляют до объема 150 см, добавляют 3 см
прокипяченной азотной кислоты и раствор подвергают электролизу при плотности тока 1,0-1,5 А/дм
и напряжении 2-2,5 В при перемешивании раствора.
После обесцвечивания раствора отставляют стакан с электролитом без выключения тока и ополаскивают электроды водой в стакан, в котором проведен электролиз. Затем раствор переносят в мерную колбу вместимостью 500 см, охлаждают, доливают водой до метки и перемешивают. В случае выделения осадка раствор фильтруют через плотный фильтр в мерную колбу вместимостью 500 см
, промывая осадок 7-8 раз горячей азотной кислотой, разбавленной 1:99, раствор охлаждают, доливают водой до метки и перемешивают.
Аликвотную часть раствора - 200 см помещают в коническую колбу вместимостью 500 см
, добавляют 25 см
раствора уксуснокислого натрия, раствор нагревают почти до кипения, добавляют 5-10 капель раствора ПАН, раствор трилона Б до изменения розово-фиолетовой окраски в желтую и избыток 3-5 см
.
Раствор кипятят и в случае изменения окраски добавляют раствор трилона Б до появления желтой окраски. Затем избыток трилона Б оттитровывают раствором азотнокислой меди до изменения желтой окраски через зеленую в синюю. Добавляют 20 см раствора фтористого натрия и вновь кипятят 2 мин. Раствор принимает желто-зеленую окраску. Раствор охлаждают до температуры 50-60 °С и титруют раствором азотнокислой меди до изменения окраски из желто-зеленой в синюю.
3б.4. Обработка результатов
3б.4.1. Массовую долю алюминия () в процентах вычисляют по формуле
,
где - объем раствора азотнокислой меди, израсходованный на второе титрование, см
;
0,002698 - титр раствора азотнокислой меди по алюминию, г/см;
- масса навески сплава, соответствующая аликвотной части раствора, г.
3б.4.2. Абсолютные расхождения результатов параллельных определений ( - показатель сходимости) не должны превышать допускаемых значений, приведенных в табл.1.
(Измененная редакция, Изм. N 2).
3б.4.3. Абсолютные расхождения результатов анализа, полученных в двух различных лабораториях, или двух результатов анализа, полученных в одной лаборатории, но при различных условиях ( - показатель воспроизводимости), не должны превышать значений, приведенных в табл.1.
3б.4.4. Контроль точности результатов анализа проводят по п.2.4.4.
3б.4.3, 3б.4.4. (Введены дополнительно, Изм. N 2).
4. ФОТОМЕТРИЧЕСКИЙ МЕТОД ОПРЕДЕЛЕНИЯ АЛЮМИНИЯ
4.1. Сущность метода
Метод основан на образовании окрашенного комплексного соединения с эриохромцианином R или хромазуролом S после отделения меди электролизом на платиновом катоде.
4.2. Аппаратура, реактивы и растворы
Установка для электролиза с платиновыми электродами по ГОСТ 6563.
рН-метр.
Фотоэлектроколориметр или спектрофотометр.
Бром по ГОСТ 4109.
Кислота бромистоводородная по ГОСТ 2062.
Смесь для растворения свежеприготовленная: девять объемов бромистоводородной кислоты смешивают с одним объемом брома.
Кислота тиогликолевая, 0,8% раствор.
Кислота азотная по ГОСТ 4461 и разбавленная 1:1.
Кислота соляная по ГОСТ 3118, разбавленная 1:1, и 1 н. раствор.
Кислота серная по ГОСТ 4204, разбавленная 1:1.
Кислота фтористоводородная по ГОСТ 10484.
Кислота аскорбиновая, свежеприготовленный раствор 10 г/дм.
Кислота уксусная по ГОСТ 61.
Аммоний хлористый по ГОСТ 3773 и раствор 20 г/дм.
Квасцы железоаммонийные по ТУ 6-09-5359, раствор 100 г/дм; готовят следующим образом: 10 г квасцов растворяют при нагревании в 70 см
воды и 2 см
серной кислоты, разбавленной 1: 1, раствор разбавляют до 100 см
водой.
Аммоний уксуснокислый по ГОСТ 3117.
Натрий уксуснокислый по ГОСТ 199 и раствор 2 моль/дм.
Натрия гидроокись по ГОСТ 4328, раствор 1 моль/дм.
Аммиак водный по ГОСТ 3760, разбавленный 1:1 и 1:10.
Натрий серноватистокислый по ТУ 6-09-5413, раствор 50 г/дм.
Аммоний бензойнокислый, раствор 50 г/дм.
Промывная жидкость; готовят следующим образом: 5 см раствора бензойнокислого аммония и 1 см
уксусной кислоты растворяют в 100 см
воды.
Буферный раствор с рН 6; готовят следующим образом: 46 г уксуснокислого аммония и 18 г уксуснокислого натрия растворяют в 1 дм воды. Устанавливают рН раствора на рН-метре, добавляя раствор гидроокиси натрия или уксусную кислоту.
Мочевина по ГОСТ 6691.
Эриохромцианин R, водный раствор 0,7 г/дм; готовят следующим образом: 0,7 г эриохромцианина растворяют в 2 см
концентрированной азотной кислоты при постоянном перемешивании в течение 2 мин. Добавляют 60 см
воды, 0,3 г мочевины и выдерживают 24 ч в темном месте. Раствор фильтруют в мерную колбу вместимостью 1 дм
, доливают до метки водой и перемешивают. Хранят в темной склянке.
Хромазурол S, водный раствор 2 г/дм.
Алюминий первичный марки А999 по ГОСТ 11069.
Стандартные растворы алюминия.
Раствор А; готовят следующим образом: 0,1 г алюминия растворяют при нагревании в 20 см соляной кислоты, разбавленной 1:1. Раствор переводят в мерную колбу вместимостью 1 дм
, доливают до метки водой и перемешивают.
1 см раствора А содержит 0,0001 г алюминия.
Раствор Б; готовят следующим образом: 5 см раствора А переносят в мерную колбу вместимостью 100 см
, добавляют 20 см
соляной кислоты, разбавленной 1:1, доливают до метки водой и перемешивают.
1 см раствора Б содержит 0,000005 г алюминия.
(Измененная
редакция, Изм. N 1).
4.3. Проведение анализа
4.3.1. Для бронзы марки Бр КН1-3
Навеску бронзы массой 1 г помещают в платиновую чашку и приливают 10 см азотной кислоты, разбавленной 1:1, 2-3 см
фтористоводородной кислоты и выпаривают до получения влажных солей. Затем приливают 5 см
серной кислоты, разбавленной 1:1, и выпаривают раствор до выделения белого дыма серной кислоты.
Чашку охлаждают, растворяют соли в 30-40 см горячей воды, переносят раствор в стакан вместимостью 300 см
, доливают водой до 100-150 см
, приливают 8 см
азотной кислоты, разбавленной 1:1, и выделяют медь электролизом по ГОСТ 15027.1. В электролит добавляют 2 г хлористого аммония, 1 см
раствора железоаммонийных квасцов, нагревают до 50-60 °С и приливают раствор аммиака, разбавленный 1:1, до выпадения осадка гидроокиси.
Выпавшему осадку дают отстояться в течение 10-15 мин в теплом месте и затем отфильтровывают на неплотный фильтр. Осадок на фильтре промывают 5-6 раз раствором хлористого аммония. Промытый осадок смывают с фильтра струей горячей воды в стакан, в котором проводилось осаждение. Фильтр промывают сначала 3 см горячей соляной кислоты, разбавленной 1:1, а затем горячей водой. Фильтрат собирают в стакан с осадком и нагревают до полного растворения осадка. Раствор переводят в мерную колбу вместимостью 100 см
, доливают до метки водой и перемешивают.
В зависимости от содержания алюминия в стакан вместимостью 100 см отбирают аликвотную часть раствора (табл.3).
Таблица 3
Массовая доля алюминия, % | Аликвотная часть раствора, см | Масса навески, соответствующая аликвотной части, г |
От 0,005 до 0,01 | 20 | 0,2 |
Св. 0,01 " 0,025 | 10 | 0,1 |
" 0,025 " 0,05 | 5 | 0,05 |
4.3.1.1. Фотометрирование с применением эриохромцианина R
К аликвотной части раствора (см. табл.3) добавляют воду до 20 см, 2 см
раствора аскорбиновой кислоты, 5 см
раствора серноватистокислого натрия, 20 см
раствора эриохромцианина R и устанавливают аммиаком рН 6 на рН-метре. Приливают 30 см
буферного раствора, переносят раствор в мерную колбу вместимостью 100 см
и разбавляют водой до метки. Через 20 мин измеряют оптическую плотность раствора на фотоэлектроколориметре с зеленым светофильтром в кювете длиной 2 см
или спектрофотометре при
=535 нм в кювете длиной 1 см. Раствором сравнения служит раствор контрольного опыта.
Содержание алюминия находят по градуировочному графику.
При визуальном установлении рН раствора к аливотной части раствора, помещенной в мерную колбу вместимостью 100 см (см. табл.3), добавляют воды до 25 см
, 1 каплю раствора железоаммонийных квасцов, 10 см
раствора тиогликолевой кислоты и по каплям раствор гидроокиси натрия до появления фиолетовой окраски. Затем добавляют по каплям 1 моль/дм
раствор соляной кислоты до исчезновения окраски и избыток 2 см
, 20 см
раствора эриохромцианина, через 5 мин 30 см
буферного раствора, доливают до метки водой и далее поступают, как указ
ано выше.
4.3.1.2. Фотометрирование с применением хромазурола S
Аликвотную часть раствора (см. табл.3) помещают в мерную колбу вместимостью 100 см, прибавляют 2 см
раствора аскорбиновой кислоты, 5 см
раствора серноватистокислого натрия и через 20 мин нейтрализуют раствором гидроокиси натрия до рН 5-6 по универсальной индикаторной бумаге. Приливают 5 см
0,1 н. раствора соляной кислоты, воду до 50 см
, 2 см
раствора хромазурола S, 5 см
раствора уксуснокислого натрия и доливают водой до метки. Через 10 мин измеряют оптическую плотность в кювете длиной 1 см на фотоэлектроколориметре с зеленым светофильтром или на спектрофотометре при
=545 нм, используя раствор контрольного опыта в качестве раствора сравнения.
Содержание алюминия находят по градуировочному график
у.
4.3.2. Для бериллиевых бронз
Навеску бронзы массой 0,5 г помещают в стакан вместимостью 300 см и растворяют в 10 см
азотной кислоты, разбавленной 1:1, при нагревании.
После растворения навески и удаления окислов азота кипячением обмывают стенки стакана водой, разбавляют раствор водой до 100-150 см, приливают 5 см
серной кислоты, разбавленной 1:1, и выделяют медь электролизом по ГОСТ 15027.1.
После отделения меди в электролит прибавляют 5 г хлористого аммония, 1 см раствора железоаммонийных квасцов и нагревают до 50-60 °С. Нагревание прекращают, доливают аммиак, разбавленный 1:1, до начала выпаривания гидроокисей железа и алюминия, которые растворяют, приливают 1-2 см
уксусной кислоты. В раствор по каплям при интенсивном перемешивании добавляют 20 см
бензойнокислого аммония и кипятят 1-2 мин. Теплый раствор со скоагулированным осадком отфильтровывают на два фильтра средней плотности. Стакан и фильтр промывают пять раз небольшими порциями промывной жидкости.
Промытый осадок смывают с фильтра струей горячей воды в стакан, в котором проводилось осаждение. Фильтр промывают сначала 3 см горячей соляной кислоты, разбавленной 1:1, а затем водой, собирая фильтрат в стакан с осадком. После растворения осадка раствор переводят в мерную колбу вместимостью 100 см
, доливают до метки водой и перемешивают.
В зависимости от содержания алюминия отбирают аликвотную часть (см. табл.4) и далее анализ ведут, как указано в п.4.3.1.1 или п.4.3.1.2 соответственно.
Таблица 4
Массовая доля алюминия, % | Аликвотная часть раствора, см | Масса навески, соответствующая аликвотной части, г |
От 0,01 до 0,025 | 20 | 0,1 |
Св. 0,025 " 0,05 | 10 | 0,05 |
" 0,05 " 0,1 | 5 | 0,025 |
" 0,1 " 0,25 | 2 | 0,01 |
4.3.2а. Для бронз с массовой долей олова свыше 0,05%
Навеску сплава массой 0,5 г помещают в стакан вместимостью 300 см и растворяют в 15 см
смеси для растворения при нагревании. После растворения раствор выпаривают досуха. Повторяют дважды добавление по 15 см
смеси для растворения и выпаривание досуха.
К сухому остатку добавляют 10 см концентрированной азотной кислоты, раствор выпаривают до влажного остатка и эту операцию повторяют дважды. К влажному охлажденному остатку добавляют 10 см
азотной кислоты, разбавленной 1:1, воды до объема 150 см
и выделяют медь электролизом по ГОСТ 15027.1. Далее анализ проводят, как указано в п.4.3.1.
(Введен дополнительно, Изм. N 1).
4.3.3. Построение градуировочного графика
В стаканы или мерные колбы вместимостью по 100 см отбирают соответственно 0; 1,0; 2,0; 3,0; 4,0 и 5,0 см
раствора Б, разбавляют водой до 20 см
, добавляют 1 см
раствора аскорбиновой кислоты и далее анализ ведут, как указано в пп.4.3.1.1 и 4.3.1.2 соответственно.
По найденным значениям оптических плотностей растворов и соответствующим им содержаниям алюминия строят градуировочный график.
4.4. Обработка результатов
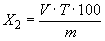
4.4.1. Массовую долю алюминия () в процентах вычисляют по формуле
,
где - масса алюминия, найденная по градуировочному графику, г;
- масса навески сплава, соответствующая аликвотной части раствора, г.
4.4.2. Абсолютные расхождения результатов параллельных определений ( - показатель сходимости) не должны превышать допускаемых значений, приведенных в табл.1.
(Измененная редакция, Изм. N 2).
4.4.3. Абсолютные расхождения результатов анализа, полученных в двух различных лабораториях, или двух результатов анализа, полученных в одной лаборатории, но при различных условиях ( - показатель воспроизводимости), не должны превышать значений, приведенных в табл.1.
4.4.4. Контроль точности результатов анализа
Контроль точности результатов анализа проводят по Государственным стандартным образцам безоловянных бронз, аттестованным в установленном порядке, сопоставлением результатов анализа, полученных фотометрическим и атомно-абсорбционным методами или методом добавок в соответствии с ГОСТ 25086.
4.4.3, 4.4.4. (Введены дополнительно, Изм. N 2).
5. ГРАВИМЕТРИЧЕСКИЙ МЕТОД ОПРЕДЕЛЕНИЯ АЛЮМИНИЯ
5.1. Сущность метода
Метод основан на осаждении алюминия 8-оксихинолином и взвешивании высушенного осадка оксихинолята алюминия после предварительного отделения мешающих компонентов.
5.2. Аппаратура, реактивы и растворы
Установка электролизная с сетчатыми платиновыми катодами по ГОСТ 6563.
Установка электролизная с ртутным катодом.
Тигли фильтрующие по ГОСТ 23932 типа ТФ-3-20, ТФ-3-32.
Ртуть марки Р1 по ГОСТ 4658.
Кислота азотная по ГОСТ 4461, разбавленная 1:1.
Кислота серная по ГОСТ 4204 и разбавленная 1:4, 1:200 и 1:50.
Кислота уксусная по ГОСТ 61, раствор 2 моль/дм.
Аммиак водный по ГОСТ 3760 и разбавленный 1:50.
Аммоний хлористый по ГОСТ 3773 и раствор 20 г/дм.
Метиловый красный, спиртовой раствор 2 г/дм.
Спирт этиловый ректификованный по ГОСТ 18300.
Калий железосинеродистый по ГОСТ 4206, свежеприготовленный раствор 20 г/дм.
Аммоний надсернокислый по ГОСТ 20478.
Натрий уксуснокислый по ГОСТ 199.
Аммоний уксуснокислый по ГОСТ 3117.
8-оксихинолин, раствор 30 г/дм готовят следующим образом: 30 г реактива растирают в ступке с небольшим количеством 2 моль/дм
раствора уксусной кислоты, а затем растворяют в 1 дм
2 моль/дм
раствора уксусной кислоты, фильтруют и переносят в колбу вместимостью 1 д
м.
5.3. Проведение анализа
Навеску сплава массой 1 г помещают в стакан вместимостью 250 см, накрывают часовым стеклом и растворяют при нагревании в 15 см
азотной кислоты, разбавленной 1:1.
После растворения пробы ополаскивают стенки стакана небольшим количеством воды, кипятят до удаления окислов азота, разбавляют раствор до 100-150 см, приливают 7 см
серной кислоты, разбавленной 1:4, и выделяют медь электролизом по ГОСТ 15027.1.
После отделения меди в электролит прибавляют 3 г хлористого аммония, 3-5 капель раствора метилового красного, нагревают до кипения и осторожно, по каплям, прибавляют аммиак до тех пор, пока окраска раствора над осадком не станет желтой. После этого приливают еще 10 капель аммиака и кипятят 1-2 мин. Осадок отфильтровывают и промывают на фильтре горячим раствором хлористого аммония.
Промытый осадок растворяют на фильтре в 20 см горячей серной кислоты, разбавленной 1:4, которую приливают частями. Раствор собирают в стакан, в котором проводилось осаждение гидратов, нейтрализуют раствором аммиака по метиловому красному и приливают 1 см
концентрированной серной кислоты.
Раствор, объем которого не должен превышать 50 см, переливают в сосуд с ртутным катодом, используя в качестве анода платиновую спираль, и подвергают электролизу при силе тока 4 А и напряжении 5-6 В. Электролиз продолжают до тех пор, пока из раствора не будет полностью удалено железо (капельная реакция с железосинеродистым калием на фарфоровой пластинке или фильтре).
Не прерывая тока, раствор сливают в стакан, фильтруя через воронку с фильтром. Ртутный катод промывают 2-3 раза по 10 см серной кислотой, разбавленной 1:200, и затем три раза водой порциями по 10 см
. Промывные воды присоединяют к основной части раствора. Промывая, во всех случаях над ртутью оставляют слой жидкости в 2-3 мм для обеспечения контакта с анодом. Последнюю промывную воду удаляют полностью.
Раствор нейтрализуют аммиаком по индикатору метиловому красному, приливают 0,5-1,2 см концентрированной серной кислоты, прибавляют 2-3 г надсернокислого аммония и нагревают до 70-80 °С. Осадок двуокиси марганца отфильтровывают и промывают 3-5 раз серной кислотой, разбавленной 1:50. К раствору прибавляют 5-10 г уксуснокислого натрия или аммония и осаждают алюминий раствором оксихинолина, приливая последний в количестве 0,5-0,7 см
на каждый миллиграмм алюминия. Раствор нагревают до 60-70 °С и отстаивают при данной температуре в течение 3-4 ч.
Осадок оксихинолята алюминия отфильтровывают на взвешенный фильтрующий тигель при отсасывании, промывают горячей водой до полного обесцвечивания промывных вод. Тигель с осадком высушивают в сушильном шкафу при 130-140 °С до постоянной массы и взвеш
ивают.
5.4. Обработка результатов
5.4.1. Массовую долю алюминия () в процентах вычисляют по формуле
,
где - масса осадка оксихинолята алюминия, г;
0,0587 - коэффициент пересчета оксихинолята алюминия на алюминий;
- масса навески сплава, г.
5.4.2. Абсолютные расхождения результатов параллельных определений ( - показатель сходимости) не должны превышать допускаемых значений, приведенных в табл.1.
(Измененная редакция, Изм. N 2).
5.4.3. Абсолютные расхождения результатов анализа, полученных в двух различных лабораториях, или двух результатов анализа, полученных в одной лаборатории, но при различных условиях ( - показатель воспроизводимости), не должны превышать значений, приведенных в табл.1.
5.4.4. Контроль точности результатов анализа
5.4.4.1. Контроль точности результатов анализа проводят по п.2.4.4.
5.4.3, 5.4.4. (Введены дополнительно, Изм. N 2).
6. АТОМНО-АБСОРБЦИОННЫЙ МЕТОД ОПРЕДЕЛЕНИЯ АЛЮМИНИЯ
ПРИ МАССОВОЙ ДОЛЕ АЛЮМИНИЯ от 0,01% до 0,25%
6.1. Сущность метода
Метод основан на измерении поглощения света атомами алюминия, образующимися при введении анализируемого раствора в пламя ацетилен - закись азота.
6.2. Аппаратура, реактивы и растворы
Атомно-абсорбционный спектрометр с источником излучения для алюминия.
Установка для электролиза с двумя платиновыми электродами.
Кислота азотная по ГОСТ 4461 и разбавленная 1:1.
Кислота соляная по ГОСТ 3118 и раствор 2 моль/дм.
Кислота бромистоводородная по ГОСТ 2062.
Бром по ГОСТ 4109.
Смесь для растворения свежеприготовленная: девять объемов бромистоводородной кислоты смешивают с одним объемом брома.
Калий хлористый по ТУ 6-09-5077 или натрий хлористый по ГОСТ 4233, раствор 10 г/дм.
Водорода перекись по ГОСТ 10929.
Алюминий по ГОСТ 11069 с массовой долей алюминия не менее 99,9%.
Стандартные растворы алюминия.
Раствор А; готовят следующим образом: 0,5 г алюминия растворяют при нагревании в 20 см соляной кислоты с добавлением 2-3 см
перекиси водорода. Удаляют избыток перекиси водорода кипячением, раствор охлаждают, переносят в мерную колбу вместимостью 500 см
и доливают водой до метки.
1 см раствора А содержит 0,001 г алюминия.
Раствор Б; готовят следующим образом: 10 см раствора А переносят в мерную колбу вместимостью 100 см
, добавляют 10 см
2 моль/дм
раствора соляной кислоты и доливают водой до метки.
1 см раствора Б содержит 0,0001 г алюм
иния.
6.3. Проведение анализа
6.3.1. Для бронз с массовой долей олова до 0,05%
Навеску сплава массой 1 г помещают в стакан вместимостью 250 см и растворяют при нагревании в 10 см
азотной кислоты, разбавленной 1:1. Окислы азота удаляют кипячением, раствор охлаждают, разбавляют водой до объема 150 см
и проводят электролиз для выделения меди по ГОСТ 15027.1. Электролит выпаривают до объема 10 см
, охлаждают, переносят в мерную колбу вместимостью 50 см
, добавляют 5 см
раствора хлористого калия или натрия и доливают водой до метки.
Измеряют атомную абсорбцию алюминия в пламени ацетилен - закись азота при длине волны 309,3 нм параллельно с градуировочными растворами.
6.3.2. Для бронз с массовой долей олова свыше 0,05%
Навеску сплава массой 1 г помещают в стакан вместимостью 250 см и осторожно добавляют 15 см
смеси для растворения. После растворения осторожно выпаривают раствор досуха. Выпаривание с 15 см
смеси для растворения повторяют дважды, выпаривая в каждом случае досуха.
К сухому остатку добавляют 10 см азотной кислоты и выпаривают до сиропообразного состояния. Повторяют выпаривания с 10 см
азотной кислоты, разбавляют водой до объема 150 см
и проводят электролиз по ГОСТ 15027.1. Электролит выпаривают до объема 10 см
, охлаждают, переносят в мерную колбу вместимостью 50 см
, добавляют 5 см
раствора хлористого калия или натрия и доливают водой до метки.
Измеряют атомную абсорбцию алюминия, как указано в п.6.3
.1.
6.3.3. Построение градуировочного графика
В десять из одиннадцати мерных колб вместимостью по 100 см помещают 1,0; 2,5; 5,0; 10,0; 15,0 см
стандартного раствора Б алюминия; 2,0; 3,0; 4,0; 5,0 и 6,0 см
стандартного раствора А алюминия. Во все колбы добавляют по 10 см
раствора 2 моль/дм
соляной кислоты, 10 см
раствора хлористого калия или натрия, доливают водой до метки и измеряют атомную абсорбцию алюминия, как указано в п.6.3.1. По полученным данным строят градуировочный график.
6.4. Обработка результатов
6.4.1. Массовую долю алюминия () в процентах вычисляют по формуле
,
где - концентрация алюминия, найденная по градуировочному графику, г/см
;
- объем конечного раствора пробы, см
;
- масса навески, г.
6.4.2. Абсолютные расхождения результатов параллельных определений ( - показатель сходимости) не должны превышать допускаемых значений, приведенных в табл.1.
(Измененная редакция, Изм. N 2).
6.4.3. Абсолютные расхождения результатов анализа, полученных в двух различных лабораториях, или двух результатов анализа, полученных в одной лаборатории, но при различных условиях ( - показатель воспроизводимости), не должны превышать значений, приведенных в табл.1.
6.4.4. Контроль точности результатов анализа
Контроль точности результатов анализа проводят по Государственным стандартным образцам безоловянных бронз, аттестованным в установленном порядке, или сопоставлением результатов анализа, полученных атомно-абсорбционным, фотометрическим или гравиметрическим методом анализа в соответствии с ГОСТ 25086.
6.4.3, 6.4.4. (Введены дополнительно, Изм. N 2).
7. АТОМНО-АБСОРБЦИОННЫЙ МЕТОД ОПРЕДЕЛЕНИЯ АЛЮМИНИЯ
ПРИ МАССОВОЙ ДОЛЕ АЛЮМИНИЯ от 3% до 13%
7.1. Сущность метода
Метод основан на измерении поглощения света атомами алюминия, образующимися при введении анализируемого раствора в пламя ацетилен - закись азота.
7.2. Аппаратура, реактивы и растворы
Атомно-абсорбционный спектрометр с источником излучения для алюминия.
Кислота азотная по ГОСТ 4461.
Кислота соляная по ГОСТ 3118 и раствор 2 моль/дм.
Водорода перекись по ГОСТ 10929.
Калий хлористый по ТУ 6-09-5077 или натрий хлористый по ГОСТ 4233, раствор 10 г/дм.
Алюминий по ГОСТ 11069 с массовой долей алюминия не менее 99,9%.
Стандартный раствор алюминия; готовят следующим образом: 0,5 г алюминия растворяют при нагревании в 20 см соляной кислоты с добавлением 2-3 см
раствора перекиси водорода. Удаляют избыток перекиси водорода кипячением, раствор охлаждают, переносят в мерную колбу вместимостью 500 см
и доливают водой до метки.
1 см раствора содержит 0,001 г алюминия.
7.3. Проведение анализа
7.3.1. Навеску сплава массой 0,25 г помещают в стакан вместимостью 150 см и растворяют при нагревании в 10 см
азотной кислоты с добавлением нескольких капель соляной кислоты.
Окислы азота удаляют кипячением, раствор охлаждают, переносят в мерную колбу вместимостью 250 см, добавляют 25 см
раствора хлористого калия или натрия и доливают водой до метки.
Измеряют атомную абсорбцию алюминия в пламени ацетилен - закись азота при длине волны 309,3 нм параллельно с градуировочными растворами.
7.3.2. Построение градуировочного графика
В семь из восьми мерных колб вместимостью по 100 см помещают 2,0; 4,0; 6,0; 8,0; 10,0; 12,0 и 14,0 см
стандартного раствора алюминия.
Во все колбы добавляют по 10 см раствора 2 моль/дм
соляной кислоты, 10 см
раствора хлористого калия или натрия, доливают водой до метки и измеряют атомную абсорбцию алюминия, как указано в п.7.3.1. По полученным данным строят градуировочный график.
7.4. Обработка результатов
Обработку результатов проводят, как указано в п.6.4.
Разд.6, 7. (Введены дополнительно, Изм. N 1).
7.5. Метод применяют при разногласиях в оценке качества безоловянных бронз.
(Введен дополнительно, Изм. N 2).
Текст документа сверен по:
Бронзы безоловянные.
Методы анализа: Сб. ГОСТов. -
М.: ИПК Издательство стандартов, 2002