ГОСТ 13637.1-93
Группа В59
МЕЖГОСУДАРСТВЕННЫЙ СТАНДАРТ
ГАЛЛИЙ
Атомно-эмиссионный метод определения алюминия, висмута, железа,
кремния, магния, марганца, меди, никеля, олова, свинца, хрома и цинка
Gallium. Atomic-emission method for the determination of aluminium,
iron, bismuth, silicon, magnesium, manganese, copper, nickel, tin,
lead, chromium and zinc
ОКСТУ 1709
Дата введения 1995-01-01
Предисловие
1. РАЗРАБОТАН Межгосударственным техническим комитетом 104 "Полупроводниковая и редкометаллическая продукция. Особо чистые металлы", Государственным институтом редких металлов (гиредмет)
ВНЕСЕН Госстандартом России
2. ПРИНЯТ Межгосударственным Советом по стандартизации, метрологии и сертификации (протокол N 4-93 от 19 октября 1993 г.)
За принятие проголосовали:
Наименование государства | Наименование национального органа |
Республика Армения | Армгосстандарт |
Республика Беларусь | Белстандарт |
Республика Казахстан | Госстандарт Республики Казахстан |
Республика Молдова | Молдовастандарт |
Российская Федерация | Госстандарт России |
Туркменистан | Туркменгосстандарт |
Республика Узбекистан | Узгосстандарт |
Украина | Госстандарт Украины |
3. Постановлением Комитета Российской Федерации по стандартизации, метрологии и сертификации от 02.06.94 N 160 межгосударственный стандарт ГОСТ 13637.1-93 введен в действие непосредственно в качестве государственного стандарта Российской Федерации с 01.01.95
4. ВЗАМЕН ГОСТ 13637.1-77
ИНФОРМАЦИОННЫЕ ДАННЫЕ
ССЫЛОЧНЫЕ НОРМАТИВНО-ТЕХНИЧЕСКИЕ ДОКУМЕНТЫ
Обозначение НТД, на который дана ссылка | Номер пункта, раздела |
Разд.2 | |
Разд.2 | |
Разд.2 | |
Разд.2 | |
Разд.2 | |
Разд.2 | |
Разд.2 | |
Разд.2 | |
Разд.2 | |
Разд.2 | |
Разд.2 | |
Разд.2 | |
Разд.2 | |
Разд.2 | |
Разд.2 | |
Разд.2 | |
ГОСТ 24104-88 | Разд.2 |
Разд.2 | |
Разд. 1, 2, 5.5 | |
3.2 |
Настоящий стандарт устанавливает прямой атомно-эмиссионный метод определения массовых долей примесей в галлии:
алюминия | от 1·10 |
висмута | от 1·10 |
железа | от 1·10 |
кремния | от 3·10 |
магния | от 5·10 |
марганца | от 1·10 |
меди | от 5·10 |
никеля | от 1·10 |
олова | от 1·10 |
свинца | от 1·10 |
хрома | от 1·10 |
цинка | от 3·10 |
Метод основан на измерении интенсивности линий элементов примесей в спектре, полученном при испарении галлия вместе с порошковым графитом из канала графитового анода в дуге постоянного тока.
Массовые доли примесей в галлии определяют по градуировочным графикам, построенным в координатах: логарифм отношения интенсивности линии определяемого элемента к интенсивности фона (
) - логарифм массовой доли определяемого элемента ().
1. ОБЩИЕ ТРЕБОВАНИЯ
Общие требования к методу анализа и требования безопасности - по ГОСТ 13637.0.
2. АППАРАТУРА, МАТЕРИАЛЫ И РЕАКТИВЫ
Спектрограф дифракционный типа ДФС-8 или аналогичного типа с решеткой 600 штр/мм и трехлинзовой системой освещения.
Генератор дуговой типа ДГ-2 с дополнительным реостатом или генератор аналогичного типа, приспособленный для поджига дуги постоянного тока высокочастотным разрядом.
Выпрямитель 250-300 В, 30-50 А.
Микрофотометр типа МФ-2 или аналогичного типа.
Спектропроектор типа ПС-18 или аналогичного типа.
Весы лабораторные 1-го класса по ГОСТ 24104*.
_______________
* На территории Российской Федерации действует ГОСТ 24104-2001. - .
Весы торсионные типа ВТ с пределом взвешивания до 500 мг или весы аналогичные.
Ступка и пестик из органического стекла.
Бокс из органического стекла.
Электропечь муфельная с терморегулятором на температуру до 900 °С.
Тигли платиновые N 6 с крышками.
Станок для заточки графитовых электродов.
Электроды графитовые, выточенные из графитовых стержней ОСЧ-7-3 диаметром 6 мм, заточенные на конус с углом при вершине 15 градусов и с площадкой диаметром 1,5 мм на конце, обожженные в дуге постоянного тока при 15 А в течение 15 с.
Электроды графитовые, выточенные из графитовых стержней ОСЧ-7-3 диаметром 6 мм, с каналом глубиной 5 мм и диаметром 4 мм, обожженные в дуге постоянного тока при 15 А в течение 15 с.
Очистке обжигом подвергают каждую пару электродов непосредственно перед анализом (электрод, заточенный на конус - катод, электрод с каналом - анод).
Графит порошковый особой чистоты по ГОСТ 23463.
Алюминия окись безводная для атомно-эмиссионного анализа.
Висмута окись по ГОСТ 10216.
Железа окись.
Кремния двуокись по ГОСТ 9428.
Магния окись по ГОСТ 4526.
Марганца двуокись безводная ос. ч-9-2.
Меди окись по ГОСТ 16539, порошкообразная.
Никеля окись черная по ГОСТ 4331.
Олова окись по ГОСТ 22516.
Свинца окись.
Окись хрома по ГОСТ 2912, металлургическая, марки ОХМ-О.
Цинка окись по ГОСТ 10262.
Галлий, чистый по определяемым примесям, подготовленный, как указано в ГОСТ 13637.0.
Пластинки фотографические спектрографические типа ПФС-02 производства Переславского ПО "Славич" размером 13х18 или 9х12 см, или аналогичные, обеспечивающие нормальные почернения аналитических линий и близлежащего фона в спектре.
Проявитель:
метол (4-метиламинофенолсульфат) по ГОСТ 25664 | 2,2 г |
натрий сернистокислый по ГОСТ 195 | 96 г |
гидрохинон (парадиоксибензол) по ГОСТ 19627 | 8,8 г |
натрий углекислый по ГОСТ 83 | 48 г |
калий бромистый по ГОСТ 4160 | 5 г |
вода | до 1000 см |
Фиксаж: | |
тиосульфат натрия кристаллический по ГОСТ 244 | 300 г |
аммоний хлористый по ГОСТ 3773 | 20 г |
вода | до 1000 см |
Лампа инфракрасная ИКЗ-500 с регулятором напряжения РНО-250-0,5 или аналогичным.
Спирт этиловый ректификованный технический по ГОСТ 18300, неперегнанный и дважды перегнанный в кварцевом приборе.
Государственный стандартный образец (ГСО) порошка графитового СПГ-27 Пр ГСО 2820-83, разбавленный порошковым графитом в пять раз: в ступку из органического стекла помещают 1 г ГСО, добавляют 4 г порошкового графита и тщательно перетирают смесь с этиловым спиртом в течение 50 мин, а затем высушивают под инфракрасной лампой.
3. ПОДГОТОВКА К АНАЛИЗУ
3.1. Приготовление образцов сравнения (ОС)
Каждый образец сравнения готовят непосредственно перед фотографированием его спектра, помещая в канал графитового электрода 20 мг образца сравнения на порошковом графите (ОСГП) и 20 мг галлия, чистого по определяемым примесям. В условиях данного метода в соответствии с соотношением масс смешиваемых веществ массовая доля примеси в ОС (в расчете на массовую долю примеси в галлии) равна массовой доле той же примеси в ОСГП.
3.2. Приготовление образцов сравнения на порошковом графите (ОСГП).
Готовят основной образец сравнения на порошковом графите (ООСГП), содержащий по 1% алюминия, висмута, железа, кремния, магния, марганца, меди, никеля, олова, свинца, хрома и цинка и 88% углерода, в расчете на содержание металла и углерода в смеси металлов и углерода, механически смешивая порошковый графит с окислами соответствующих металлов.
Перед взятием навесок двуокись кремния и окись магния помещают в тигли, прокаливают в муфельной печи при 700-800 °С в течение 30 мин и охлаждают в эксикаторе.
Навески массой 0,0189 г безводной окиси алюминия, 0,0111 г окиси висмута, 0,0143 г окиси железа, 0,0214 г двуокиси кремния, 0,0166 г окиси магния, 0,0158 г окиси марганца IV безводной, 0,0125 г окиси меди, 0,0141 г окиси никеля черной, 0,0127 г двуокиси олова, 0,0108 г окиси свинца, 0,0146 г окиси хрома, 0,0124 г окиси цинка помещают в ступку из органического стекла и добавляют 0,8800 г порошкового графита. Смесь тщательно перетирают с этиловым спиртом в течение 50 мин и высушивают под инфракрасной лампой.
Во избежание загрязнений перетирание в ступке и высушивание под инфракрасной лампой ведут в боксе из органического стекла.
ООСГП допускается также готовить, вводя определяемые элементы в виде растворов, как указано в ГОСТ 13637.3.
ОСГП1-ОСГП10 готовят последовательным разбавлением ООСГП, а затем каждого последующего образца порошковым графитом.
Массовая доля каждой из определяемых примесей в ОСГП1-ОСГП10 (в процентах в расчете на массовую долю металла в смеси металлов и углерода) и вводимые в смесь навески порошкового графита и разбавляемого образца, смешиваемые для получения данного образца, приведены в табл.1.
Таблица 1
Обозначение образца | Массовая доля каждой из определяемых примесей, % | Масса навесок, г | |
порошкового графита | разбавляемого образца (обозначение) | ||
ОСГП1 | 1·10 | 1,800 | 0,211 (ООСГП) |
ОСГП2 | 3·10 | 1,400 | 0,603 (ОСГП1) |
ОСГП3 | 1·10 | 1,333 | 0,668 (ОСГП2) |
ОСГП4 | 3·10 | 1,400 | 0,600 (ОСГП3) |
ОСГП5 | 1·10 | 1,333 | 0,667 (ОСГП4) |
ОСГП6 | 3·10 | 1,400 | 0,600 (ОСГП5) |
ОСГП7 | 1·10 | 1,333 | 0,667 (ОСГП6) |
ОСГП8 | 3·10 | 1,400 | 0,600 (ОСГП7) |
ОСГП9 | 1·10 | 1,333 | 0,667 (ОСГП8) |
ОСГП10 | 5·10 | 1,000 | 1,000 (ОСГП9) |
Указанные в табл.1 навески порошкового графита и разбавляемого образца помещают в ступку из органического стекла, тщательно перетирают с этиловым спиртом в течение 30 мин и высушивают под инфракрасной лампой. Для ОСГП6-ОСГП10 употребляют этиловый спирт, дважды перегнанный в кварцевом приборе. Перетирание в ступке и высушивание под инфракрасной лампой ведут в боксе из органического стекла.
При анализе используют ОСГП1-ОСГП10.
ООСГП, ОСГП1-ОСГП10 хранят в плотно закрытых банках из органического стекла.
4. ПРОВЕДЕНИЕ АНАЛИЗА
При съемке спектра пробы в канал графитового электрода диаметром 4 мм и глубиной 5 мм последовательно помещают 20 мг порошкового графита и 20 мг анализируемого галлия кусочками размером не более 3 мм в поперечнике (во избежание внесения загрязнений пробу галлия измельчают, не вынимая закристаллизованную пластину из полиэтиленового пакета).
При съемке спектра каждого образца сравнения в канал такого же графитового электрода последовательно помещают 20 мг образца сравнения на порошковом графите и 20 мг галлия, чистого по определяемым примесям, также кусочками размером не более 3 мм в поперечнике.
Нижний электрод с анализируемой пробой (или с образцом сравнения) служит анодом, верхний, заточенный на конус, - катодом. Между электродами зажигают дугу постоянного тока силой 15 А и фотографируют спектр с экспозицией около 3 мин (до полного выгорания). Расстояние между электродами во время экспозиции поддерживают равным 3 мм.
Спектры в области длин волн 240-340 нм фотографируют спектрографом типа ДФС-8 с решеткой 600 штр/мм, работающим в первом порядке с трехлинзовым конденсором и промежуточной диафрагмой 5 мм. Ширина щели спектрографа 15 мкм. В кассету спектрографа заряжают пластинку типа ПФС-02. Спектр каждой пробы и каждого из образцов сравнения регистрируют на фотопластинке по три раза. Кроме того, на ту же фотопластинку трижды фотографируют спектр основы образцов сравнения, при этом в канал электрода каждый раз последовательно помещают 20 мг порошкового графита и 20 мг галлия, чистого по определяемым примесям.
Экспонированные фотопластинки проявляют, промывают водой, фиксируют, промывают в проточной воде в течение 15 мин и сушат.
5. ОБРАБОТКА РЕЗУЛЬТАТОВ
5.1. В каждой спектрограмме фотометрируют почернения аналитической линии определяемого элемента (см. табл.2) и близлежащего фона
(минимальное почернение рядом с аналитической линией определяемого элемента с любой стороны, но с одной и той же стороны во всех спектрах, снятых на одной пластинке) и вычисляют разность почернений
.
Таблица 2
Определяемая примесь | Длины волн аналитических линий, нм | Примечание |
Алюминий | 308,22 | - |
Висмут | 306,77 | |
Железо | 248,33 | |
Железо | 302,06 | Применяется, если массовая доля олова в пробе превышает 3·10 |
Кремний | 251,43 | - |
Магний | 280,27 | |
Марганец | 279,48 | |
Медь | 327,40 | Применяется для массовых долей меди от 5·10 |
Медь | 282,44 | Применяется для массовых долей меди от 3·10 |
Никель | 300,25 | - |
Олово | 284,00 | |
Свинец | 283,31 | - |
Свинец | 261,42 | Применяется для массовых долей свинца от 1·10 |
Хром | 283,56 | - |
Хром | 302,16 | Может применяться любая из указанных линий хрома |
Цинк | 328,23 | Применяется, если массовая доля титана в пробе не превышает 3·10 |
Цинк | 307,59 | - |
По трем параллельным значениям ,
,
, полученным по трем спектрограммам, снятым для каждого образца, находят среднее арифметическое результатов
.
По полученным средним значениям находят по таблицам обязательного приложения значения
.
5.2. Если аналитическая линия определяемого элемента в спектрах основы образцов сравнения отсутствует, то используя значения и
для образцов сравнения, строят градуировочный график в координатах ,
. По этому графику по значению
для пробы определяют массовую долю примеси в анализируемой пробе.
5.3. Допускаемые расхождения результатов трех параллельных определений (отношение наибольшего к наименьшему), а также двух результатов анализа (отношение большего к меньшему) приведены в табл.3.
Таблица 3
Определяемая примесь | Массовая доля, % | Допускаемое расхождение |
Алюминий | 1·10 | 3,0 |
3·10 | 2,5 | |
3·10 | 2,5 | |
Висмут | 1·10 | 3,0 |
3·10 | 2,5 | |
3·10 | 2,5 | |
Железо | 1·10 | 4,0 |
1·10 | 3,5 | |
1·10 | 3,5 | |
Кремний | 3·10 | 4,0 |
1·10 | 3,0 | |
1·10 | 3,0 | |
Магний | 5·10 | 4,5 |
1·10 | 3,0 | |
1·10 | 3,0 | |
Марганец | 1·10 | 3,5 |
1·10 | 3,0 | |
1·10 | 3,0 | |
Медь (по линии 327,40 нм) | 5·10 | 4,0 |
3·10 | 3,0 | |
1·10 | 3,0 | |
Медь (по линии 282,44 нм) | 3·10 | 3,0 |
1·10 | 2,5 | |
1·10 | 2,5 | |
Никель | 1·10 | 3,0 |
1·10 | 2,5 | |
1·10 | 2,5 | |
Олово | 1·10 | 3,0 |
1·10 | 2,5 | |
1·10 | 2,5 | |
Свинец | 1·10 | 3,0 |
1·10 | 2,5 | |
1·10 | 2,5 | |
Хром | 1·10 | 3,0 |
1·10 | 2,5 | |
1·10 | 2,5 | |
Цинк | 3·10 | 3,0 |
1·10 | 3,0 | |
1·10 | 2,5 |
Допускаемые расхождения для промежуточных массовых долей рассчитывают методом линейной интерполяции.
5.4. Если в спектрах основы образцов сравнения имеется слабая линия определяемого элемента, то при построении градуировочного графика в координатах (,
) вносят поправку на массовую долю определяемого элемента в основе образцов сравнения. Внесение поправки допустимо лишь при условии, если массовая доля определяемого элемента в основе образцов сравнения не превышает установленного для метода нижнего предела интервала определяемых массовых долей. Если это условие не выполняется, необходимо подобрать для основы образцов сравнения более чистый по определяемым примесям галлий или порошковый графит и выполнить тщательную поэтапную очистку помещения, рабочих мест, применяемой аппаратуры, реактивов и материалов.
После получения откорректированного градуировочного графика расчет массовых долей примесей проводят, как указано в пп.5.2, 5.3.
5.5. Контроль правильности анализа проводят по ГОСТ 13637.0 или при наличии государственного стандартного образца (ГСО) порошка графитового СПГ-27 Пр ГСО 2820-83 следующим образом. В каналы трех графитовых электродов диаметром 4 мм и глубиной 5 мм вводят по 20 мг металлического галлия, чистого по определяемым примесям, и по 20 мг разбавленного ГСО.
Анализ полученной смеси проводят одновременно с анализом проб по пп.4 и 5. Для каждой примеси вычисляют отношение большего к меньшему из значений двух величин - результата анализа полученной смеси разбавленного ГСО и 0,2 аттестованного значения массовой доли примеси в ГСО. Результаты анализа проб считают правильными с доверительной вероятностью 0,95, если это отношение
, где - регламентированное в п.5.3 допускаемое расхождение двух результатов анализа пробы галлия с массовой долей примеси, равной результату анализа смеси галлия с разбавленным ГСО.
ПРИЛОЖЕНИЕ
Обязательное
Таблицы величии
, соответствующих измеренным значениям
.
Приводимые ниже таблицы служат для перевода измеренных значений
и величины
.
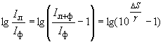
Таблицы содержат результаты расчета по формуле
.
Обозначим суммарную интенсивность линии вместе с фоном через , интенсивность фона под максимумом линии в отсутствии линии через
. Так как
, то отношение интенсивности к интенсивности фона определяют выражением
.
Если условия фотографирования спектра выбраны так, что почернения линии с фоном и фона в отсутствии линии
лежат в нормальной области, то
, где
; - фактор контрастности. Отсюда, пользуясь выражением
, получаем
.
Таблицы охватывают наиболее важные для практики аналитической работы величины
от 0,05 до 1,99.
По построению таблицы разделены на две части:
часть, охватывающая значения
от 0,05 до 0,999, часть охватывающая значения
от 1,00 до 1,99.
Рассмотрим первую часть таблицы
.
В первом столбце слева под заголовком
жирным шрифтом напечатаны значения
0,05; 0,06; 0,07…0,99. Справа от знака
в заголовках столбцов жирным шрифтом напечатаны цифры 0, 1, 2, 3, 4, 5, 6, 7, 8, 9, представляющие третий после запятой знак величины
.
Имея определенное значение
, например
0,537, находят строку 0,53, соответствующую первым двум знакам после запятой, и в столбце с цифрой 7 читают соответствующую величину
0,388. Аналогично, для
0,143; в строке 0,14 в столбце с цифрой 3 читают соответствующую величину
.
Вторая часть таблицы, охватывающая величины
от 1,00 до 1,99, построена аналогичным образом, с той разницей, что в первом столбце слева величина
изображена с одним знаком после запятой, а жирно напечатанные цифры 0, 1, 2, 3...9 в заголовках столбцов изображают второй после запятой знак величины
.
Так, имея значение
1,36, в строке 1,3 в столбце с цифрой 6 читают
1,341.
Для величин
, меньших чем 0,301, характеристика
отрицательна, что отмечено знаком минус над характеристикой (…).
Так как
, то таблицы могут быть применены также и для нахождения величин
, соответствующих значениям
при любом способе измерения.
В случае, если фактор контрастности не измеряется, то вместо величин
в таблицы входят с величинами . Так, если в этом случае измерена величина
0,674, то в строке 0,67 в столбце с цифрой 4 читают ответ 0,571. Следует отметить, что найденная таким образом величина (0,571) представляет собой не
, a
. На точности анализа по методу "трех эталонов" это обстоятельство практически не отражается.
Таблица 4
Величины
, соответствующие измеренным значениям ![]()
| 0 | 1 | 2 | 3 | 4 | 5 | 6 | 7 | 8 | 9 |
0,05 | ||||||||||
0,06 | ||||||||||
0,07 | ||||||||||
0,08 | ||||||||||
0,09 | ||||||||||
0,10 | ||||||||||
0,11 | ||||||||||
0,12 | ||||||||||
0,13 | ||||||||||
0,14 | ||||||||||
0,15 | ||||||||||
0,16 | ||||||||||
0,17 | ||||||||||
0,18 | ||||||||||
0,19 | ||||||||||
0,20 | ||||||||||
0,21 | ||||||||||
0,22 | ||||||||||
0,23 | ||||||||||
0,24 | ||||||||||
0,25 | ||||||||||
0,26 | ||||||||||
0,27 | ||||||||||
0,28 | ||||||||||
0,29 | ||||||||||
0,30 | 0,000 | 0,002 | 0,004 | 0,006 | 0,008 | 0,010 | 0,012 | 0,014 | 0,016 | |
0,31 | 0,018 | 0,020 | 0,022 | 0,024 | 0,026 | 0,028 | 0,029 | 0,031 | 0,033 | 0,035 |
0,32 | 0,037 | 0,039 | 0,041 | 0,043 | 0,045 | 0,047 | 0,049 | 0,050 | 0,052 | 0,054 |
0,33 | 0,056 | 0,058 | 0,060 | 0,062 | 0,064 | 0,065 | 0,067 | 0,069 | 0,071 | 0,073 |
0,34 | 0,075 | 0,077 | 0,078 | 0,080 | 0,082 | 0,084 | 0,086 | 0,088 | 0,089 | 0,091 |
0,35 | 0,093 | 0,095 | 0,097 | 0,098 | 0,100 | 0,102 | 0,104 | 0,106 | 0,107 | 0,109 |
0,36 | 0,111 | 0,113 | 0,114 | 0,116 | 0,118 | 0,120 | 0,121 | 0,123 | 0,125 | 0,127 |
0,37 | 0,128 | 0,130 | 0,132 | 0,134 | 0,135 | 0,137 | 0,139 | 0,141 | 0,142 | 0,144 |
0,38 | 0,146 | 0,147 | 0,149 | 0,151 | 0,153 | 0,154 | 0,156 | 0,158 | 0,159 | 0,161 |
0,39 | 0,163 | 0,164 | 0,166 | 0,168 | 0,170 | 0,171 | 0,173 | 0,175 | 0,176 | 0,178 |
0,40 | 0,180 | 0,181 | 0,183 | 0,184 | 0,186 | 0,188 | 0,189 | 0,191 | 0,193 | 0,194 |
0,41 | 0,196 | 0,198 | 0,199 | 0,201 | 0,203 | 0,204 | 0,206 | 0,207 | 0,209 | 0,211 |
0,42 | 0,212 | 0,214 | 0,215 | 0,217 | 0,219 | 0,220 | 0,222 | 0,224 | 0,225 | 0,227 |
0,43 | 0,228 | 0,230 | 0,231 | 0,233 | 0,235 | 0,236 | 0,238 | 0,239 | 0,241 | 0,243 |
0,44 | 0,244 | 0,246 | 0,247 | 0,249 | 0,250 | 0,252 | 0,253 | 0,255 | 0,257 | 0,258 |
0,45 | 0,260 | 0,261 | 0,263 | 0,264 | 0,266 | 0,267 | 0,269 | 0,270 | 0,272 | 0,274 |
0,46 | 0,275 | 0,277 | 0,278 | 0,280 | 0,281 | 0,283 | 0,284 | 0,286 | 0,287 | 0,289 |
0,47 | 0,290 | 0,292 | 0,293 | 0,295 | 0,296 | 0,298 | 0,299 | 0,301 | 0,302 | 0,304 |
0,48 | 0,305 | 0,307 | 0,308 | 0,310 | 0,311 | 0,313 | 0,314 | 0,316 | 0,317 | 0,319 |
0,49 | 0,320 | 0,322 | 0,323 | 0,325 | 0,326 | 0,328 | 0,329 | 0,331 | 0,332 | 0,333 |
0,50 | 0,335 | 0,336 | 0,338 | 0,339 | 0,341 | 0,342 | 0,344 | 0,345 | 0,347 | 0,348 |
0,51 | 0,349 | 0,351 | 0,352 | 0,354 | 0,355 | 0,357 | 0,358 | 0,360 | 0,361 | 0,362 |
0,52 | 0,364 | 0,365 | 0,367 | 0,368 | 0,370 | 0,371 | 0,372 | 0,374 | 0,375 | 0,377 |
0,53 | 0,378 | 0,380 | 0,381 | 0,382 | 0,384 | 0,385 | 0,387 | 0,388 | 0,389 | 0,391 |
0,54 | 0,392 | 0,391 | 0,395 | 0,396 | 0,398 | 0,399 | 0,401 | 0,402 | 0,403 | 0,405 |
0,55 | 0,406 | 0,408 | 0,409 | 0,410 | 0,412 | 0,413 | 0,415 | 0,416 | 0,417 | 0,419 |
0,56 | 0,420 | 0,421 | 0,423 | 0,424 | 0,426 | 0,427 | 0,428 | 0,430 | 0,431 | 0,432 |
0,57 | 0,434 | 0,435 | 0,437 | 0,438 | 0,439 | 0,441 | 0,442 | 0,443 | 0,445 | 0,446 |
0,58 | 0,447 | 0,449 | 0,450 | 0,452 | 0,453 | 0,454 | 0,456 | 0,457 | 0,458 | 0,460 |
0,59 | 0,461 | 0,462 | 0,464 | 0,465 | 0,466 | 0,468 | 0,469 | 0,470 | 0,472 | 0,473 |
0,60 | 0,474 | 0,476 | 0,477 | 0,478 | 0,480 | 0,481 | 0,482 | 0,484 | 0,485 | 0,486 |
0,61 | 0,488 | 0,489 | 0,490 | 0,492 | 0,493 | 0,494 | 0,496 | 0,497 | 0,498 | 0,500 |
0,62 | 0,501 | 0,502 | 0,504 | 0,505 | 0,506 | 0,507 | 0,509 | 0,510 | 0,511 | 0,513 |
0,63 | 0,514 | 0,515 | 0,517 | 0,518 | 0,519 | 0,521 | 0,522 | 0,523 | 0,524 | 0,526 |
0,64 | 0,527 | 0,528 | 0,530 | 0,531 | 0,532 | 0,533 | 0,535 | 0,536 | 0,537 | 0,539 |
0,65 | 0,540 | 0,541 | 0,543 | 0,544 | 0,545 | 0,546 | 0,548 | 0,549 | 0,550 | 0,551 |
0,66 | 0,553 | 0,554 | 0,555 | 0,557 | 0,558 | 0,559 | 0,560 | 0,562 | 0,563 | 0,564 |
0,67 | 0,566 | 0,567 | 0,568 | 0,569 | 0,571 | 0,572 | 0,573 | 0,574 | 0,576 | 0,577 |
0,68 | 0,578 | 0,579 | 0,581 | 0,582 | 0,583 | 0,585 | 0,586 | 0,587 | 0,588 | 0,590 |
0,69 | 0,591 | 0,592 | 0,593 | 0,595 | 0,596 | 0,597 | 0,598 | 0,600 | 0,601 | 0,602 |
0,70 | 0,603 | 0,605 | 0,606 | 0,607 | 0,608 | 0,610 | 0,611 | 0,612 | 0,613 | 0,615 |
0,71 | 0,616 | 0,617 | 0,618 | 0,620 | 0,621 | 0,622 | 0,623 | 0,624 | 0,626 | 0,627 |
0,72 | 0,628 | 0,629 | 0,631 | 0,632 | 0,633 | 0,634 | 0,636 | 0,637 | 0,638 | 0,639 |
0,73 | 0,641 | 0,642 | 0,643 | 0,644 | 0,645 | 0,647 | 0,648 | 0,649 | 0,650 | 0,652 |
0,74 | 0,653 | 0,654 | 0,655 | 0,656 | 0,658 | 0,659 | 0,660 | 0,661 | 0,663 | 0,664 |
0,75 | 0,665 | 0,666 | 0,667 | 0,669 | 0,670 | 0,671 | 0,672 | 0,673 | 0,675 | 0,676 |
0,76 | 0,677 | 0,678 | 0,680 | 0,681 | 0,682 | 0,683 | 0,684 | 0,686 | 0,687 | 0,688 |
0,77 | 0,689 | 0,690 | 0,692 | 0,693 | 0,694 | 0,695 | 0,696 | 0,698 | 0,699 | 0,700 |
0,78 | 0,701 | 0,702 | 0,704 | 0,705 | 0,706 | 0,707 | 0,708 | 0,710 | 0,711 | 0,712 |
0,79 | 0,713 | 0,714 | 0,716 | 0,717 | 0,718 | 0,719 | 0,720 | 0,721 | 0,723 | 0,724 |
0,80 | 0,725 | 0,726 | 0,727 | 0,729 | 0,730 | 0,731 | 0,732 | 0,733 | 0,735 | 0,736 |
0,81 | 0,737 | 0,738 | 0,739 | 0,740 | 0,742 | 0,743 | 0,744 | 0,745 | 0,746 | 0,748 |
0,82 | 0,749 | 0,750 | 0,751 | 0,752 | 0,753 | 0,755 | 0,756 | 0,757 | 0,758 | 0,759 |
0,83 | 0,760 | 0,762 | 0,763 | 0,764 | 0,765 | 0,766 | 0,768 | 0,769 | 0,770 | 0,771 |
0,84 | 0,772 | 0,773 | 0,775 | 0,776 | 0,777 | 0,778 | 0,779 | 0,780 | 0,782 | 0,783 |
0,85 | 0,784 | 0,785 | 0,786 | 0,787 | 0,789 | 0,790 | 0,791 | 0,792 | 0,793 | 0,794 |
0,86 | 0,795 | 0,797 | 0,798 | 0,799 | 0,800 | 0,801 | 0,802 | 0,804 | 0,805 | 0,806 |
0,87 | 0,807 | 0,808 | 0,809 | 0,811 | 0,812 | 0,813 | 0,814 | 0,815 | 0,816 | 0,817 |
0,88 | 0,819 | 0,820 | 0,821 | 0,822 | 0,823 | 0,824 | 0,826 | 0,827 | 0,828 | 0,829 |
0,89 | 0,830 | 0,831 | 0,832 | 0,834 | 0,835 | 0,836 | 0,837 | 0,838 | 0,839 | 0,840 |
0,90 | 0,842 | 0,843 | 0,844 | 0,845 | 0,846 | 0,847 | 0,848 | 0,850 | 0,851 | 0,852 |
0,91 | 0,853 | 0,854 | 0,855 | 0,856 | 0,858 | 0,859 | 0,860 | 0,861 | 0,862 | 0,863 |
0,92 | 0,864 | 0,866 | 0,867 | 0,868 | 0,869 | 0,870 | 0,871 | 0,872 | 0,873 | 0,875 |
0,93 | 0,876 | 0,877 | 0,878 | 0,879 | 0,880 | 0,881 | 0,883 | 0,884 | 0,885 | 0,886 |
0,94 | 0,887 | 0,888 | 0,889 | 0,890 | 0,892 | 0,893 | 0,894 | 0,895 | 0,896 | 0,897 |
0,95 | 0,898 | 0,899 | 0,901 | 0,902 | 0,903 | 0,904 | 0,905 | 0,906 | 0,907 | 0,908 |
0,96 | 0,910 | 0,911 | 0,912 | 0,913 | 0,914 | 0,915 | 0,916 | 0,917 | 0,919 | 0,920 |
0,97 | 0,921 | 0,922 | 0,923 | 0,924 | 0,925 | 0,926 | 0,927 | 0,929 | 0,930 | 0,931 |
0,98 | 0,932 | 0,933 | 0,934 | 0,935 | 0,936 | 0,938 | 0,939 | 0,940 | 0,941 | 0,942 |
0,99 | 0,943 | 0,944 | 0,945 | 0,946 | 0,949 | 0,949 | 0,950 | 0,951 | 0,952 | 0,953 |
1,0 | 0,954 | 0,965 | 0,976 | 0,987 | 0,998 | 1,009 | 1,020 | 1,031 | 1,042 | 1,053 |
1,1 | 1,064 | 1,075 | 1,086 | 1,097 | 1,107 | 1,118 | 1,129 | 1,140 | 1,150 | 1,161 |
1,2 | 1,172 | 1,182 | 1,193 | 1,204 | 1,214 | 1,225 | 1,235 | 1,246 | 1,257 | 1,267 |
1,3 | 1,278 | 1,288 | 1,299 | 1,309 | 1,320 | 1,330 | 1,341 | 1,351 | 1,362 | 1,372 |
1,4 | 1,382 | 1,393 | 1,403 | 1,414 | 1,424 | 1,434 | 1,445 | 1,455 | 1,465 | 1,476 |
1,5 | 1,486 | 1,496 | 1,507 | 1,517 | 1,527 | 1,538 | 1,548 | 1,558 | 1,568 | 1,579 |
1,6 | 1,589 | 1,599 | 1,609 | 1,620 | 1,630 | 1,640 | 1,650 | 1,661 | 1,671 | 1,681 |
1,7 | 1,691 | 1,701 | 1,712 | 1,722 | 1,732 | 1,742 | 1,752 | 1,763 | 1,773 | 1,783 |
1,8 | 1,793 | 1,803 | 1,813 | 1,824 | 1,834 | 1,844 | 1,854 | 1,864 | 1,874 | 1,884 |
1,9 | 1,894 | 1,905 | 1,915 | 1,925 | 1,935 | 1,945 | 1,955 | 1,965 | 1,975 | 1,986 |
Электронный текст документа
и сверен по:
Галлий. Методы анализа.
ГОСТ 13637.0-93-ГОСТ 13637.9-93: Сб. ГОСТов. -
М.: ИПК Издательство стандартов, 1996