ГОСТ 12645.10-86*
Группа В59
ГОСУДАРСТВЕННЫЙ СТАНДАРТ СОЮЗА ССР
ИНДИЙ
Метод определения серы
Indium.
Method for determination of sulphur
ОКСТУ 1709
Дата введения 1988-01-01
Постановлением Государственного комитета СССР по стандартам от 23.10.86 N 3188 дата введения установлена 01.01.88
Ограничение срока действия снято по протоколу Межгосударственного Совета по стандартизации, метрологии и сертификации (ИУС 2-93)
Изменение N 1 ГОСТ 12645.10-86 принято Межгосударственным Советом по стандартизации, метрологии и сертификации по переписке 15.04.94 (отчет Технического секретариата N 2)
За принятие проголосовали:
Наименование государства | Наименование национального органа |
Республика Азербайджан | Азгосстандарт |
Республика Белоруссия | Госстандарт Белоруссии |
Республика Казахстан | Госстандарт Республики Казахстан |
Республика Молдова | Молдовастандарт |
Российская Федерация | Госстандарт России |
Туркменистан | Главная государственная инспекция Туркменистана |
Республика Узбекистан | Узгосстандарт |
Украина | Госстандарт Украины |
* ПЕРЕИЗДАНИЕ (март 1998 г.) с Изменением N 1, утвержденным в июне 1996 г. (ИУС 9-96)
1a. Область применения
Настоящий стандарт устанавливает полярографический метод определения серы (при массовой доле серы от 5·10 до 1·10
%) в индии марки Ин 000.
Метод основан на восстановлении соединений серы до сероводорода, отгонке и поглощении его раствором щелочи в присутствии гидроксиламина и трилона Б и полярографировании раствора, содержащего сульфид-ионы.
(Измененная редакция, Изм. N 1).
1. ОБЩИЕ ТРЕБОВАНИЯ
1.1. Общие требования к методам анализа - по ГОСТ 22306-77 с дополнениями.
1.1.1. Массовую долю каждого элемента в индии определяют в двух параллельных навесках.
1.1.2. Контроль точности анализа осуществляют методом варьирования навесок или методом добавок. Контроль точности анализа проводят одновременно с анализом проб при смене реактивов, аппаратуры, а также после длительного перерыва в работе.
1.1.2.1. При контроле точности методом варьирования навесок анализ проводят по настоящей методике из навесок 1 и 2 г индия. Результат анализа считают правильным, если разность результатов анализов, полученных из разных навесок, не превышает допускаемых расхождений, приведенных в таблице.
1.1.2.2. Контроль точности по методу добавок проводят в соответствии с ГОСТ 25086-87.
В качестве добавки используют растворы серной кислоты, содержащие 0,1 и 1 мкг/см серы, приготовленные на бидистиллированной воде в день применения. Процедуру проводят как указано в разд.5.
Для пробы с массовой долей серы 5·10% и более добавка должна быть не меньше массовой доли серы в пробе и не больше удвоенной массовой доли серы в пробе. Массовая доля серы в пробе с добавкой должна быть не менее чем 1·10
% и не более чем 3·10
%.
Величину добавки определяют по разности
, где и
- результаты анализа пробы
и пробы с добавкой
, рассчитанные как среднее арифметическое двух определений, расхождения между которыми не должны превышать допускаемой величины, указанной в стандарте.
Результат анализа считают правильным, если найденная величина добавки
отличается от расчетного значения добавки на величину не более чем на 0,71·
, где и
- допускаемые расхождения результатов анализа серы в пробе
и в пробе с до
бавкой .
1.1.1-1.1.2.2. (Измененная редакция, Изм. N 1).
2. ТРЕБОВАНИЯ БЕЗОПАСНОСТИ
2.1. Требования безопасности - по ГОСТ 12645.8-82 с дополнениями.
2.1.1. Индий (оксид) согласно ГОСТ 12.1.005-88 относится к веществам третьего класса опасности и имеет предельно допустимую концентрацию (ПДК) 4 мг/м. Индий вызывает боли в суставах, костях, разрушение зубов, нервные и желудочно-кишечные расстройства, боль в области сердца и общую слабость.
Контроль за содержанием индия в воздухе рабочей зоны должен проводиться по методикам, разработанным в соответствии с ГОСТ 12.1.016-79 и утвержденным органами здравоохранения. Периодичность контроля устанавливается в соответствии с ГОСТ 12.1.005-88.
(Измененная редакция, Изм. N 1).
2.1.2. Выполнение анализов с использованием ртути проводят в соответствии с санитарными правилами проектирования, оборудования, эксплуатации и содержания производственных и лабораторных помещений, предназначенных для проведения работ с ртутью, ее соединениями и приборами со ртутным заполнением, утвержденными Минздравом СССР.
2.1.3. При использовании газов в баллонах должны соблюдаться требования безопасности в соответствии с "Правилами по устройству и безопасной эксплуатации сосудов, работающих под давлением", утвержденными Госгортехнадзором СССР.
2.1.4. Пожарная безопасность лабораторных помещений должна обеспечиваться в соответствии с требованиями ГОСТ 12.1.004-91. Помещения химической лаборатории должны быть оснащены средствами огнетушения (огнетушитель с углекислотой, листовой асбест, песок).
3. АППАРАТУРА, МАТЕРИАЛЫ И РЕАКТИВЫ
Полярограф переменного тока типа ППТ-1 или универсальный полярограф ПУ-1.
Установка для восстановления соединений серы и отгонки сероводорода. (Допускается применение обратного холодильника и приемника любых конструкций, обеспечивающих полное поглощение сульфид-ионов).
Электроплитка по ГОСТ 14919-83.
Электролизер с внешним анодным отделением (анодное отделение над ртутью заполняют ежедневно насыщенным раствором хлористого калия).
Аргон по ГОСТ 10157-79.
Чашка кварцевая по ГОСТ 19908-90 вместимостью 50 см.
Кислота соляная по ГОСТ 3118-77.
Кислота азотная по ГОСТ 4461-77, перегнанная.
Кислота серная по ГОСТ 4204-77, разбавленная 1:6, и раствор 0,05 моль/дм, приготовленный из стандарт-титра.
Кислота иодистоводородная по ГОСТ 4200-77.
Калий йодистый по ГОСТ 4232-74.
Калия гидроокись по ГОСТ 24363-80.
Калий хлористый по ГОСТ 4234-77, перекристаллизованный, насыщенный раствор.
Натрия гидроокись по ГОСТ 4328-77, растворы 100 и 250 г/дм.
Медь двухлористая 2-водная по ГОСТ 4167-74.
Натрий сернистый по ГОСТ 2053-77.
Натрий фосфорноватистокислый по ГОСТ 200-76.
Калий фосфорноватистокислый.
Гидроксиламина гидрохлорид по ГОСТ 5456-79, раствор: 69,5 г гидроксиламина гидрохлорида разбавляют бидистиллированной водой до 1 дм.
Соль динатриевая этилендиамин-N, N, N', N'-тетрауксусной кислоты 2-водная (трилон Б) по ГОСТ 10652-73.
Ртуть по ГОСТ 4658-73.
Пирогаллол А, раствор 250 г/дм в растворе 250 г/дм
гидроокиси натрия.
Вода дистиллированная по ГОСТ 6709-72, дополнительно перегнанная в кварцевом аппарате с добавлением марганцовокислого калия.
Калий марганцовокислый по ГОСТ 20490-75.
Щелочная смесь, выдержанная не менее 2 сут; в мерную колбу вместимостью 1 дм приливают 600 см
свежепрокипяченной и охлажденной бидистиллированной воды, прибавляют 112 г гидроокиси калия, перемешивают до растворения, раствор охлаждают и порциями прибавляют к нему 100 г трилона Б при перемешивании, разбавляют до 1 дм
свежепрокипяченной бидистиллированной водой, перемешивают и закрывают притертой пробкой.
Полярографический фон: 120 см щелочной смеси помещают в коническую колбу с притертой пробкой вместимостью 250 см
, приливают 25 см
раствора гидроксиламина гидрохлорида, 100 см
бидистиллированной воды и перемешивают. Фон может быть использован в течение 3 сут.
Восстановительную смесь готовят двумя методами:
Метод 1.
В реакционную колбу приливают 730 см раствора соляной кислоты (1,2:1), прибавляют 444 г йодистого калия, 150 г фосфорноватистокислого натрия (или 173 г фосфорноватистокислого калия), 250 мг двухлористой меди, перемешивают, устанавливают обратный холодильник и кипятят в течение 5-6 ч с продувкой аргоном со скоростью 20-25 пузырьков в 10 с. Аргон предварительно очищают пропусканием через три склянки Дрекселя с раствором пирогаллола 250 /дм
* в растворе гидроокиси калия 250 г/дм
. При охлаждении из восстановительной смеси должен выделяться осадок солей (отсутствие осадка свидетельствует о недостаточной концентрации соляной кислоты). Восстановительную смесь сливают с осадка солей и хранят в склянке с притертой пробкой в затемненном боксе.
________________
* Соответствует оригиналу. - .
Метод 2.
Смешивают 300 см соляной, 500 см
иодистоводородной кислот, 150 г фосфорноватистокислого натрия (или 173 г фосфорноватистокислого калия), 250 мг двухлористой меди, приливают 200 см
бидистиллированной воды и перемешивают. Очистку смеси от серы производят, как указано выше.
Стандартные растворы сульфатной серы
Раствор А: 6,25 см раствора серной кислоты 0,05 моль/дм
помещают в мерную колбу вместимостью 100 см
, доливают до метки свежепрокипяченной бидистиллированной водой и перемешивают.
1 см раствора А содержит 100 мкг серы.
Раствор Б: 10 см раствора А помещают в мерную колбу вместимостью 100 см
, доводят до метки свежепрокипяченной бидистиллированной водой и перемешивают.
1 см раствора Б содержит 10 мкг серы.
Раствор В: 10 см раствора Б помещают в мерную колбу вместимостью 100 см
, доливают до метки свежепрокипяченной бидистиллированной водой и перемешивают.
1 см раствора В содержит 1 мкг серы.
Раствор В: 10 см
раствора В помещают в мерную колбу вместимостью 100 см
, доливают до метки свежепрокипяченной бидистиллированной водой и перемешивают.
1 см раствора В
содержит 0,1 мкг серы.
Растворы Б, В, В готовят в день употребления.
Стандартные растворы сульфидной серы
Раствор Г: 75 мг кристаллического сернистого натрия помещают в мерную колбу вместимостью 100 см, приливают полярографический фон до метки и перемешивают до растворения соли.
1 см раствора Г содержит 100 мкг серы.
Раствор Д: 10 см раствора Г помещают в мерную колбу вместимостью 100 см
, доливают до метки полярографическим фоном и перемешивают.
1 см раствора Д содержит 10 мкг серы.
(Измененная редакция, Изм. N 1).
4. ПОДГОТОВКА К АНАЛИЗУ
4.1. Сборка установки
Собирают установку для восстановления и отгонки серы в соответствии с чертежом. Затем в склянки Дрекселя вместимостью 200 см 1-3 заливают по 150 см
щелочного раствора пирогаллола, в склянку вместимостью 200 см
с дибистиллятом 4 - раствор гидроокиси натрия 250 г/дм
, в склянку 11 - дистиллированную воду, 5 и 10 предохранительные склянки. В приемник длиной 250 мм 9 заливают 5 см
фонового электролита. Штуцер манометра баллона с аргоном соединяют со склянкой 1 резиновым шлангом, предварительно прокипяченным в растворе гидроокиси натрия 100 г/дм
и промытым дистиллированной водой. Склянки 1-5, 10 и 11, реакционную колбу 7 и приемник 9 соединяют хлорвиниловыми шлангами. Обратный холодильник 8 соединяют с водопроводным краном эластичным резиновым шлангом.
4.2. Проверка герметичности установки
В реакционную колбу 7 заливают 150 см предварительно очищенной восстановительной смеси, а в приемник 9 - 5 см
полярографического фона. Через установку пропускают поток аргона со скоростью 15-20 пузырьков в 10 с, предварительно пропустив холодную воду через обратный холодильник. О герметичности установки судят по совпадению скорости прохождения пузырьков аргона в склянке Дрекселя 1 и в приемнике 9. Если шлифы негерметичны, их пришлифовывают тонким порошком абразива.
Затем через шлиф пробки реакционной колбы с помощью пипетки вводят 0,2 см стандартного раствора Б сульфатной серы. Сероводород отгоняют в течение 35-40 мин с момента включения электроплитки.
Приемник серы отсоединяют от установки, содержимое приемника заливают в электролизер и регистрируют полярограмму раствора при катодной поляризации от минус 0,45 до минус 0,9 В (по отношению к насыщенному каломельному электроду).
Высоту пика серы на полярограмме раствора в приемнике сопоставляют с высотой пика стандартного раствора сульфидной серы Д (для получения этого раствора 0,2 см стандартного раствора сульфидной серы Д разбавляют полярографическим фоном до 5 см
).
Установка для восстановления соединений серы и отгонки сероводорода

Разность высот пиков обоих растворов не должна превышать 10% отн. В противном случае проверяют герметичность установки и повторяют определение.
4.3. Проведение контрольного опыта
Реакционную колбу 7, обратный холодильник 8 и приемник для улавливания сероводорода 9 промывают соляной кислотой и свежепрокипяченной бидистиллированной водой, заливают 150 см восстановительной смеси. Закрепляют в горловину реакционной колбы холодильник. В приемник заливают 5 см
полярографического фона, вставляют в приемник конус газоотводной трубки, соединяют тубус приемника с предохранительной склянкой 10 и пропускают через установку аргон со скоростью 30-35 пузырьков в 10 с. Подключают холодильник к водопроводу и, спустя 5-10 мин, включают электроплитку 6. С момента закипания отгонку продолжают 30 мин.
После окончания отгонки сероводорода приемник отсоединяют от установки, содержимое заливают в электролизер и снимают полярограмму раствора, как указано в п.4.2.
В аналогичных условиях проводят полярографирование растворов, полученных восстановлением сульфатной серы, и вычисляют поправку контрольного опыта по формуле
,
где - масса серы в стандартном сульфатном растворе сравнения, мкг;
- высота пика серы в контрольном опыте, мм;
- высота пика серы в растворе сравнения, мм.
Содержание серы в контрольном опыте должно быть меньше 0,05 мкг. Если контрольный опыт больше - опыт по отгонке серы из той же порции восстановительной смеси повторяют, предварительно промыв патрубок приемника и приемник свежепрокипяченной дистиллированной водой. Значение контрольного опыта проверяют ежедневно перед началом работы и после каждого перехода от отгонки больших количеств серы к отгонке малых количеств серы.
Порция восстановительной смеси 150 см может быть использована для анализа 6-8 проб индия (6-8 г).
5. ПРОВЕДЕНИЕ АНАЛИЗА
После проведения контрольного опыта промывают патрубок приемника 9 прокипяченной дистиллированной водой без отключения тока аргона. Реакционную колбу 7 охлаждают, пропуская воду через змеевик 12, и заливают в приемник 9 5 см полярографического фона. Затем в реакционную колбу помещают 1,000 г мелко нарезанного индия (предварительно обрабатывают азотной кислотой (1:6) 30 с и ацетоном при комнатной температуре в кварцевой чашке), присоединяют обратный холодильник 8, приемник 9 с предохранительной склянкой 10, включают электроплитку 6 и вытесняют кислород аргоном из системы в течение 30 мин. При этом наблюдается выделение водорода, получающегося при растворении индия в восстановительной смеси. Скорость прохождения газов через приемник 20 пузырьков в 10 с. Ток аргона не прекращают до полного растворения индия в восстановительной смеси. После растворения индия раствор нагревают до кипения и продолжают отгонку серы в течение 30 мин.
Приемник серы отсоединяют от установки, содержимое заливают в электролизер и проводят полярографирование растворов как указано в п.4.2.
Промывают патрубок и приемник два раза прокипяченной дистиллированной водой, охлаждают реакционную колбу, в приемник заливают 5 см полярографического фона, вводят 0,5-5,0 см
стандартного раствора В
или 0,5-1,0 см
раствора В серы сульфатной (в зависимости от содержания серы в анализируемой пробе) и проводят отгонку серы в виде сероводорода, как указано выше.
Приемник отсоединяют от установки и проводят полярографирование полученного раствора сравнения как указано в п.4.2.
(Измененная редакция, Изм. N 1).
6. ОБРАБОТКА РЕЗУЛЬТАТОВ
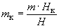
6.1. Массовую долю серы () в процентах вычисляют по формуле
,
где - масса серы в растворе сравнения, мкг;
- высота пика серы раствора пробы, мм;
- высота пика серы, полученного в контрольном опыте, мм;
- высота пика серы раствора сравнения, мм;
- масса навески анализируемой пробы, г.
За результат анализа принимают среднее арифметическое значение результатов двух параллельных определений.
(Измененная редакция, Изм. N 1).
6.2. Абсолютное допускаемое расхождение между результатами двух параллельных определений и результатами двух анализов при доверительной вероятности 0,95 не должно превышать значений, указанных в таблице.
Массовая доля серы, % | Абсолютное допускаемое расхождение, % |
5·10 | 3·10 |
1·10 | 5·10 |
2·10 | 1·10 |
4·10 | 2·10 |
1·10 | 0,3·10 |
Допускаемые расхождения для промежуточных массовых долей серы рассчитывают методом линейной интерполяции.
Электронный текст документа
и сверен по:
М.: ИПК Издательство стандартов, 1998