ГОСТ 12554.1-83
Группа В59
ГОСУДАРСТВЕННЫЙ СТАНДАРТ СОЮЗА ССР
СПЛАВЫ ПЛАТИНО-РУТЕНИЕВЫЕ
Метод определения рутения
Platinum-ruthenium alloys. Method for the determination of ruthenium
ОКП 17 5000
ОКСТУ 1709*
___________________
* Измененная редакция, Изм. N 1.
Срок действия с 01.07.84
до 01.07.89*
_______________________________
* Ограничение срока действия снято
по протоколу N 3-93 Межгосударственного Совета
по стандартизации, метрологии и сертификации
(ИУС N 5/6, 1993 год). - .
РАЗРАБОТАНЫ Министерством цветной металлургии СССР
ИСПОЛНИТЕЛИ
А.А.Куранов, Г.С.Хаяк, Н.С.Степанова, Н.Д.Сергиенко, Т.И.Беляева
ВНЕСЕНЫ Министерством цветной металлургии СССР
Член Коллегии А.П.Снурников
УТВЕРЖДЕНЫ И ВВЕДЕНЫ В ДЕЙСТВИЕ Постановлением Государственного комитета СССР по стандартам от 25 марта 1983 г. N 1372
ВЗАМЕН ГОСТ 12554-67 в части разд.2
ВНЕСЕНО Изменение N 1, утвержденное и введенное в действие Постановлением Государственного комитета СССР по стандартам от 21.09.88 N 3212 с 01.07.89
Изменение N 1 внесено изготовителем базы данных по тексту ИУС N 1, 1989 год
Настоящий стандарт устанавливает фотоколориметрический метод определения рутения в платино-рутениевых сплавах (при массовой доле рутения до 12,0%).
Метод основан на измерении светопоглощения окрашенного комплексного соединения рутения с тиомочевиной в солянокислой среде в присутствии платины.
1. ОБЩИЕ ТРЕБОВАНИЯ
1.1. Общие требования к методу анализа - по ГОСТ 22864-83.
(Измененная редакция, Изм. N 1).
1.2. Числовое значение результата анализа должно оканчиваться цифрой того же разряда, что и допускаемые расхождения.
(Введен дополнительно, Изм. N 1).
2. АППАРАТУРА, РЕАКТИВЫ И РАСТВОРЫ
Фотоэлектроколориметр ФЭК-56М.
Установка для электролитического растворения (чертеж).

1 - стеклянный стакан; 2 - раствор электролита (6 М раствор соляной кислоты); 3 - электроды; 4 - зажимы (электрододержатели)
Электрододержатели из сплава платины с 25% иридия.
Трансформатор.
Весы лабораторные общего назначения и образцовые по ГОСТ 24104-80*.
_______________
* На территории Российской Федерации действует ГОСТ 24104-2001. - .
Кислота соляная по ГОСТ 3118-77, растворы концентрации 6 и 0,4 моль/дм.
Тиомочевина по ГОСТ 6344-73, раствор концентрации 1 моль/дм.
Спирт этиловый технический по ГОСТ 17299-78.
Колбы мерные лабораторные по ГОСТ 1770-74, вместимостью 100, 250 см.
Стаканы стеклянные по ГОСТ 25336-82, вместимостью 100, 200 см.
(Измененная редакция, Изм. N 1).
3. ПОДГОТОВКА К АНАЛИЗУ
Образцы анализируемого и стандартного сплава должны быть в виде пластин длиной 80 мм, шириной 30-40 мм и толщиной 0,3 мм. Поверхность пластин для удаления поверхностных загрязнений протирают спиртом.
В качестве стандартного используют многократно проанализированный гравиметрическим методом сплав, близкий по содержанию компонентов к анализируемому.
Две пластины анализируемого или стандартного сплава взвешивают, закрепляют в зажимы установки для электролитического растворения (см. чертеж) и погружают в стакан с 200 см раствора концентрации 6 моль/дм
соляной кислоты. Растворение ведут переменным током при напряжении 12-15 В, плотности тока 0,65 А/см
в течение 20-25 мин.
После растворения ток выключают, пластины отвинчивают, промывают водой, просушивают и взвешивают.
Растворы анализируемого и стандартного сплава переносят в мерные колбы вместимостью 250 см, доводят до метки водой и тщательно перемешивают.
Массу сплава () в 1 см
основного раствора вычисляют по формуле
,
где - масса пластин до растворения, г;
- масса пластин после растворения, г.
Из основных растворов анализируемого и стандартного сплава готовят по 100 см разбавленных растворов с содержанием сплава 1·10
г/см
. Необходимую для этого аликвотную часть основного раствора (
) вычисляют по формуле
,
где - масса сплава в 1 см
основного раствора, г.
Рассчитанную аликвотную часть основного раствора помещают в мерную колбу вместимостью 100 см, доводят до метки раствором концентрации 0,4 моль/дм
соляной кислоты и тщательно перемешивают.
(Измененная редакция, Изм. N 1).
4. ПРОВЕДЕНИЕ АНАЛИЗА
В стаканы вместимостью 100 см берут аликвотные части по 20 см
разбавленных растворов анализируемого и стандартного сплава (что соответствует массе сплава 0,02 г).
В эти растворы добавляют по 40 см раствора концентрации 0,4 моль/дм
соляной кислоты, по 10 см
раствора концентрации 1 моль/дм
тиомочевины и нагревают на водяной бане при 50-60 °С в течение 15 мин.
Охлажденные растворы переносят в мерные колбы вместимостью 100 см, доводят до метки раствором концентрации 0,4 моль/дм
соляной кислоты, тщательно перемешивают и измеряют оптическую плотность на фотоэлектроколориметре при длине волны
600 нм в кюветах с толщиной поглощающего слоя 5-10 мм по сравнению с нулевым раствором, которым служит раствор концентрации 0,4 моль/дм
соляной кислоты.
(Измененная редакция, Изм. N 1).
5. ОБРАБОТКА РЕЗУЛЬТАТОВ
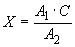
5.1. Массовую долю рутения () в процентах вычисляют по формуле
,
где - оптическая плотность раствора анализируемого сплава;
- оптическая плотность раствора стандартного сплава;
- массовая доля рутения в растворе стандартного сплава, %.
5.2. Разность между наибольшим и наименьшим результатами параллельных определений при доверительной вероятности 0,95 не должна превышать абсолютного значения допускаемого расхождения
0,20%.
Разность двух результатов анализа одной и той же пробы, полученных в разных лабораториях, не должна превышать абсолютного значения допускаемого расхождения 0,32%.
(Измененная редакция, Изм. N 1).
5.3. Контроль точности результатов определения массовой доли рутения проводится воспроизведением его массовой доли в искусственной смеси химического состава, близкого составу анализируемого сплава, проведенной через весь ход анализа.
Результаты анализа проб считаются точными, если абсолютная разность наибольшего и наименьшего значений массовой доли рутения в искусственной смеси не превышает 0,16%.
(Введен дополнительно, Изм. N 1).
Электронный текст документа
и сверен по:
Сплавы платино-рутениевые. Методы анализа:
Сб. ГОСТов. ГОСТ 12554.1-83, ГОСТ 12554.2-83. -
М.: Издательство стандартов, 1983
Редакция документа с учетом
изменений и дополнений
подготовлена